1. 서 론
2. 수치해석 방법
3. 펌프젯 형상, 계산 영역 및 수치 격자
3.1 대상 펌프젯 형상 및 날개 끝(tip) 형상 변화
3.2 계산 영역 및 수치 격자
4. 수치해석 결과
5. 결 론
1. 서 론
펌프젯 추진기(pumpjet propulsor)에서 덕트(duct)와 로터(rotor) 사이 날개 끝 간극(tip clearance)에서 발생하는 와류(vortex)는 캐비테이션(cavitation)을 발생시키는 주요 원인으로 작용한다. 추진기 캐비테이션은 주요한 유동 소음의 일종으로 소음성능이 중요한 함정이나 잠수함에 장착되는 펌프젯을 포함한 모든 추진기는 설계 단계에서 이를 감소시킬 기술을 적용해야 한다. 펌프젯 추진기에서 주로 발생하는 와류는 유동이 덕트와 로터 날개 끝 간극을 통과할 때 압력면(pressure side)과 흡입면(suction side)의 압력차와 간극의 크기 영향에 의해 발생하며, 날개 끝 와류는 Fig. 1과 같이 날개 끝 박리 와류(TSV, Tip Separation Vortex) 와 날개 끝 뉴설 와류(TLV, Tip Leakage Vortex)로 구성된다.
한편, 펌프젯 시스템을 설계할 때, 전류 스테이터(pre-swirl stator)와 감속 덕트(decelerating duct)를 적용하면 캐비테이션과 소음성능에 우수하다고 알려져 있지만, 덕트와 로터 사이 간극이 존재하는 한, 와류를 완전히 없애기엔 한계가 있다. 이러한 이유로, 비슷한 구조를 가진 펌프나 수차를 포함하여 펌프젯 추진기의 로터와 덕트 간극의 복잡한 유동에 관한 연구들이 실험과 수치 시뮬레이션을 통해 다수 수행되고 있다[1, 2, 3, 4, 5, 6, 7, 8, 9]. 선행 연구들을 살펴보면 날개 끝 형상을 변화시켜 간극으로 유입되는 유동의 흐름을 바꾸어 와류를 감소시킬 수 있다고 알려져 있다[10, 12, 13, 14, 15]. Lu et al.[1]은 CFD 시뮬레이션을 사용해 펌프젯 추진기의 날개 끝 간극 사이 유동의 특성과 간극 크기가 캐비테이션 발생에 미치는 영향에 대해 연구하였다. 날개 끝 간극의 크기는 캐비테이션 발생에 직접적인 영향을 미치며, 간극이 증가할수록 캐비테이션 발생량이 많아지는 것을 확인하였다. 특히, 간극 크기와 TLV에 기인된 캐비테이션과 유동소음에 대한 실험연구가 Gopalan et al.[11]에 의해 수행된바 있다. Shavalikul and Camci[12]는 압력면의 날개 끝 모서리를 확장하여 날개 끝 누출 질량 유량(tip leakage flow mass)과 공기역학적 손실(aerodynamic loss)을 줄일 수 있다고 밝혔다. Lei et al.[13]은 기존의 날개 형상과 T형의 날개 끝 형상이 펌프의 성능에 미치는 영향을 실험과 수치해석을 통해 연구하였으며, 기존 날개와 비교해서 T형의 날개 끝 형상이 효율이 1.86% 증가하고, 누출 유량은 15.95% 감소하는 결과를 보였다. Liu and Tan[14]에 의해서도 TLV를 억제하기 위해 NACA0009 수중익에 T형 날개 끝 형상을 적용하고 실험과 수치해석을 통해 그 성능을 확인하였다. T형 형상은 날개 끝단의 두께를 증가시키는 영향을 주어 간극 내 압력구배를 감소시켜 TLV가 18.75% 감소하는 것을 보였다. Ji et al.[15]은 펌프젯 추진기의 덕트와 로터 사이 간극의 유동을 약화시키기 위해 날개 끝 형상을 재설계하고 SST k-ω모델을 사용하여 수치해석을 수행하였다. 로터의 날개 끝 형상을 적절히 수정하면 추진기 단독성능에는 거의 영향을 미치지 않고, TLV의 형성이 지연되고 강도가 약해지는 결과를 보였다.
본 논문에서는 선박해양플랜트연구소(KRISO)에서 설계한 펌프젯 추진기 로터의 날개 끝 형상 변화와 간극에서 발생하는 누설 와류 TLV 감소에 대한 수치해석 연구 결과를 소개한다. 대상 펌프젯 추진기의 단독성능(open water performance)에 대한 수치해석은 본 연구에 앞서 Kim et al.[16]의 연구에서 수행된 바 있으며, 수치해석 결과는 KRISO 대형캐비테이션터널(LCT)의 성능시험 결과를 이용하여 검증하였다. 본 논문에서는 동일한 수치해석 방법과 조건에서 로터의 날개 끝 형상 변화에 따른 유동 해석을 수행하였다. 고정된 간극 조건에서 세 가지 로터 날개 끝 형상을 제안하였으며, 잠수함 운용 전진비(advanced ratio) 근방인 0.6과 0.8의 두 전진비 조건에서 펌프젯 추진기 날개 끝 간극 주위 유동 변화와 함께 추력과 토오크 및 효율의 변화를 분석하였다.
2. 수치해석 방법
본 논문에서는 수치해석은 범용 소프트웨어인 STAR- CCM+[17]을 사용하였다. 유동의 지배방정식으로 연속방정식과 RANS(Reynolds Averaged Navier-Stokes)을 사용하였으며, 일반적인 적분 형태는 아래와 같다.
여기서 𝜌는 물의 밀도(density), 는 유속(fluid velocity), 은 검사 체적(control volume) 경계면 법선 방향 단위 벡터, 는 압력(pressure), 는 응력텐서(stress tensor), 는 단위 텐서 그리고 는 중력과 같이 유동장 내 체적력(body force)이 존재할 때 포함되는 항으로, 본 논문에서는 고려하지 않는다. 펌프젯 추진기 주위 유동은 비압축성 난류 유동(incompressible turbulent flow)으로 가정하였다. 지배방정식 해는 유한체적법(finite volume method)으로 구하며, 속도와 압력을 연성하기 위해 SIMPLE(Semi-Implicit Method for Pressure-Linked Equation)[18] 방법을 사용하였다. 지배방정식의 시간 적분은 2차 정도의 음해법(implicit method)을 이용하여 이산화하였으며, 확산항(diffusion term)은 2차 정도의 중앙차분법(central differencing method) 그리고 대류항(convection term)은 2차 정도의 상류차분법(upwind differencing method)으로 각각 이산화하였다. 상기 RANS 방정식의 우변 응력텐서 항 에 포함된 Reynolds응력항 해석을 위해 Menter[19]가 제안한 SST k-ω 난류모델을 적용하였다. SST k-ω 모델은 역 압력구배가 존재하는 문제에서 이점이 높은 장점이 있으며, 점성저층(viscous sub-layer) 영역에서는 k-ω 모델을 적용하고, 나머지 영역에서는 k-ε 모델을 적용하는 방법이다. 펌프젯 추진기 로터의 회전은 로터를 포함하는 격자 영역을 직접 회전시키는, 일명, sliding mesh 법으로 구현하였다.
3. 펌프젯 형상, 계산 영역 및 수치 격자
3.1 대상 펌프젯 형상 및 날개 끝(tip) 형상 변화
본 논문에서 해석의 대상이 되는 펌프젯은 Kim et al.[16]이 연구한 형상으로 주요 제원은 Table 1에 나타나 있다. 펌프젯 시스템 중 로터와 스테이터의 직경은 각각 0.21 m, 0.2482 m이고, 날개수는 각각 7개, 11개이다. 단독성능시험[20]에서 펌프젯 추진기 로터의 회전수는 27.8 rps이며, 본 논문에서 대상으로 하는 전진비 0.6과 0.8에서 Reynolds수는 각각 6.28×10-5과 6.58×10-5이다. 수치해석에서 사용된 계산 시간 간격은 로터가 2° 회전하는 시간인 약 1.998×10-4 s를 사용하였다.
Kim et al.[16]의 연구에서 확인할 수 있듯이 덕트와 로터 사이 간극에서 앞서 설명한 펌프젯 추진기의 대표적인 날개 끝 와류가 발생한다. 이러한 와류를 감소시키기 위해 Fig. 2와 같이 날개 끝의 형상을 변화시켜 와류를 감소시키고자 하였다. 로터의 날개 끝 형상 변화는, 예를 들어, 압력면과 흡입면으로 날개 끝을 확장할 때 전연(leading edge)에서 후연(trailing edge)까지 코드길이(chord length)의 각 위치에서 날개 끝 단면의 두께 분포를 1.5배로 확장하는 방법을 사용하였다. 압력면 또는 흡입면으로만 날개 끝을 확장하는 경우는 상기 양쪽면으로 확장한 형상의 한 쪽 영역만을 고려하는 경우이다. Fig. 2(a)는 대상 펌프젯 추진기 로터의 본래 날개 끝 형상이고, Fig. 2(b)는 날개 끝을 압력면과 흡입면으로 확장시킨 형상으로 BSE tip(Both Side Extended tip)이라고 정의하였다. Fig. 2(c)는 압력면의 날개 끝만 확장시킨 형상으로 PSE tip(Pressure Side Extended tip), Fig. 2(d)는 흡입면의 날개 끝만 확장시킨 형상으로 SSE tip(Suction Side Extended tip)이라고 정의하였다. 덕트와 날개 끝 사이 간극은 본래 크기인 0.005 m를 유지하였다. 펌프젯 추진기 단독성능 해석에 사용된 펌프젯 시스템 및 주위 구조물의 형상과 Fig. 2의 개념으로 생성된 펌프젯 로터 날개 하나에 대한 날 개 끝 주위를 확대한 3차원 형상 모습을 Fig. 3에서 볼 수 있다.
Table 1.
Principal particulars of KRISO pumpjet propulsor
| Item | Value | |
| Rotor | Diameter | 0.21 m |
| Mean pitch | 1.0254 | |
| Chord length at 0.7R | 0.0623 mm | |
| Expanded area ratio | 0.8794 | |
| Number of blades | 7 | |
| Stator | Diameter | 0.2482 m |
| Number of blades | 11 | |
3.2 계산 영역 및 수치 격자
본 수치해석에 사용된 계산 영역은 KRISO의 대형캐비테이션터널(Large Cavitation Tunnel, LCT)의 시험부(test section) 크기(12.5 m×2.4 m×1.8 m)와 같게 설정하였으며, Fig. 4에서 볼 수 있다. 펌프젯의 상류 경계면은 유속 유입(velocity inlet) 조건, 하류 경계면은 압력 유출(pressure outlet) 조건 그리고 시험부 및 펌프젯 추진기의 벽면(solid wall)에는 유동의 점착 조건(no-slip condition)을 적용하였다. 수치해석에 사용된 총 격자수는 14.0 M(만)개로 로터가 포함된 회전 영역은 5.0 M개, 그 외 고정 영역은 9.0 M개의 격자수를 사용하였다. 여기서, 경계층 영역의 두께는 0.005 m로 설정하고 15개의 프리즘 격자층(prism grid layer)을 사용하였다. 격자 생성 단계에서 첫 번째 격자점의 무차원 벽면거리, y+ = 1을 계획하였으며, 유동 해석 결과에서는 약 0.5< y+ < 5의 범위를 가졌다. 덕트, 스테이터 그리고 로터를 포함하는 펌프젯 시스템 영역은 다면체(polyhedron) 격자 요소로 격자계가 생성되었으며, 그 밖의 영역은 육면체(hexahedron) 격자 요소인 trimmer라 불리는 격자 생성법이 적용되었다. 생성된 격자 분포는 Fig. 5에서 볼 수 있다.
4. 수치해석 결과
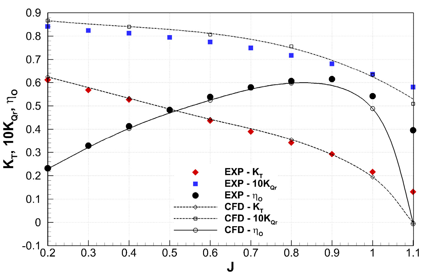
Fig. 6은 Kim et al.[16]의 연구에서 제공된 펌프젯 시스템의 추력 계수(thrust coefficient), 토오크계수(torque coefficient) 그리고 추진기 단독 효율(open water efficiency) 곡선을 보여주고 있다. 수치해석 결과는 1.0 이상의 높은 전진비 조건을 제외하고 KRISO LCT 성능시험 결과와 만족스러운 일치를 보여주고 있으며, 사용된 수치해석법이 펌프젯 추진기 성능해석에 적절한 것으로 판단하였다.
Ahn et al.[21]에 의해 수행된 모형시험 연구에서 펌프젯 추진기를 부착한 SUBOFF 잠수함에 대한 자항시험(self- propulsion test)의 선속에 따른 단독성능의 운영 전진비는 약 0.75 ~ 0.85 값인 것을 볼 수 있다. 따라서, 본 논문에서는 기준 로터 날개 끝 형상을 포함하여 네 가지 형상의 성능 비교를 상기 전진비의 중간 값인 0.8과 낮은 전진비 0.6에 대해서 수치해석을 수행하고, 각 전진비에서의 국부유동과 단독성능 특성을 비교하고 논의하였다.
전진비 0.6과 0.8조건에서 네 가지 로터의 날개 끝 형상에 대해서 단독성능 해석을 수행한 결과로부터 펌프젯 간극 사이 유동과 날개 끝 누출 와류, TLV 발생을 확인할 수 있는 유속과 유선(streamlines) 분포를 Fig. 7과 8에서 각각 비교하고 있다. Ji et al.[15]이 언급한 것과 같이 날개 끝 형상을 적절히 변화시키면 단독성능을 유지하고 TLV의 형성은 지연시킬 수 있다. TLV는 날개 끝 대표적인 와류 중 하나로, 압력면에서 흡입면으로 지나는 간극의 질량 유량(mass flow rate)이 많을수록 크게 발생한다. 일반적으로 로터로 유입되는 유동과 간극의 유동은 반대 방향으로 작용하기 때문에 간극의 질량 유량이 많아지면 유속이 빨라지고, 유입 유동과의 상호작용으로 인해 와류를 발생시킨다. Original tip의 경우, 압력면에서 흡입면으로 간극을 지나는 유속이 상대적으로 빠른 것으로 볼 수 있다. 반면에, BSE tip과 PSE tip의 경우, 압력면의 연장된 날개 끝에서 박리가 일어나 간극으로 유입되는 유동을 지연시켜 유속이 감소한 것을 볼 수 있다. 흡입면으로 날개 끝을 연장한 SSE tip의 경우, original tip과 같이 빠른 유속이 유입되며, 오히려 흡입면의 면적이 증가하여 간극에서의 유속이 더 증가한 것을 볼 수 있다. 결론적으로, 압력면 방향으로 날개 끝을 연장시키면 간극으로 유입되는 유량을 감소시키는 효과가 있고, 흡입면으로 연장하면 오히려 경계층의 영향을 받는 영역이 넓어져 속도가 증가하는 영향을 주는 것을 알 수 있다. 따라서, 양쪽으로 날개 끝을 증가시킨 BSE tip 보다 압력면으로만 날개 끝을 연장 시킨 PSE tip이 와류 감소 측면에서 더 효과가 좋은 것으로 판단된다.
Fig. 9는 네 가지 날개 끝 형상의 간극 시작 입구에서 출구까지 내부 압력계수 분포를 보여주고 있다. x축은 가장 큰 BSE tip의 두께로 무차원화된 길이다. 네 가지 형상 모두 압력면의 간극 입구 날개 끝단에서 압력이 높았다가 급격히 낮아지는 형태를 보이다 흡입면으로 갈수록 수렴하는 형태를 보여준다. 간극에서 압력면과 흡입면의 압력차가 작을수록 유량이 작음을 의미하고, 압력차가 클수록 유량이 많기 때문에 빠른 유속으로 TLV의 강도가 커지는 것을 의미한다. 네 가지 날개 끝 간극의 시작점과 출구 끝점의 압력 값과 길이를 이용한 단위 길이 당 압력강하(pressure drop)는 Table 2에 정리하였다. 앞서, Fig. 7과 8에서 언급한 것과 같이 SSE tip에서 압력강하 값이 가장 크고, PSE tip이 가장 낮은 것으로 나타났다.
Table 2.
Comparison of pressure drop in the gap
| J | Original tip | BSE tip | PSE tip | SSE tip |
| 0.6 | 3205.5 N/m3 | 2949.6 N/m3 | 2240.6 N/m3 | 4819.7 N/m3 |
| 0.8 | 3293.6 N/m3 | 3069.8 N/m3 | 2430.1 N/m3 | 4815.1 N/m3 |
Fig. 10은 간극에서 무차원화 된 유속 분포를 보여주고 있다. Original tip의 경우, 압력면 간극의 시작점에서 흡입면으로 갈수록 속도가 점점 낮아지다가 다소 증가하는 경향을 보인다. SSE tip은 날개 끝 간극 입구 영역을 지나면서 유속이 감소하다가 중앙부를 지나면서 속도가 점차 증가하는 것을 볼 수 있다. 이는 앞서 설명하였듯이 경계층의 영향을 받는 영역이 넓어졌기 때문으로 판단된다. 압력면으로 날개 끝이 연장된 BSE와 PSE tip은 간극을 지나면서 급격히 속도가 감소하는 것을 볼 수 있다. 앞서 SSE tip과 동일한 현상으로, 간극 중앙부를 지나면서 흡입면으로 길어진 BSE tip의 유속이 다소 빨라지는 것을 볼 수 있다.
Fig. 11과 12는 각각 전진비 0.6과 0.8일 때 네 가지 로터 날개 끝 형상에서 발생하는 날개 끝 와류를 Q-criterion 등위면(iso-surface)으로 비교해서 보여주고 있다. 이때, 등위면을 그리기 위해 사용한 값은 1.5×107이다. Original tip의 경우, 날개의 전연에서 생성된 TLV가 날개 중앙을 지나 하류로 길게 발생하였지만, 로터의 날개 끝 양쪽을 연장한 BSE tip과 압력면 쪽으로 연장한 PSE tip의 경우, 눈에 띄게 와류가 감소한 것을 볼 수 있다. 반면에, 흡입면 쪽으로 날개 끝을 연장한 SSE tip의 경우, original tip 보다 와류가 다소 더 발달한 것을 볼 수 있다. 이는 앞서 Fig. 7과 8에서 설명하였듯이 간극 사이 유량이 TLV 발생에 큰 영향을 미치는 것을 알 수 있다.
Fig. 13과 14는 로터 날개 주위 전연에서 후연까지 주요 위치에서 간극을 포함하여 압력장을 비교해서 보여주고 있다. Original tip과 SSE tip의 로터 흡입면 쪽에 상대적으로 낮은 압력 코어(core)가 보이고, BSE tip과 PSE tip의 로터 주위 압력이 코어의 강도가 약해진 것을 볼 수 있다.
Table 3과 Table 4는 각각 전진비 0.6과 0.8일때 네 가지 날개 끝 형상의 펌프젯 추진기의 단독성능을 비교하고 있다. 단독성능해석 결과는 펌프젯 추진기 전체 구성요소에 대한 추력계수, 토오크 계수 그리고 단독효율 계수이며, 괄호 안의 값은 original tip의 펌프젯 추진기 대비 타 펌프젯 추진기의 계수들과의 차이를 보여준다. PSE tip을 제외하고, BSE tip과 SSE tip은 original tip 대비 추력과 토오크가 미소하게 증가하였다. 추력 증가량보다 토오크 증가량이 커서 이들의 단독효율은 약간 감소하였다. PSE tip의 경우, 추력과 토오크가 모두 감소하였고, 추력 감소량이 토오크 감소량 보다 커서 단독 효율이 감소하는 경향을 보였다. 하지만 날개 끝의 아주 작은 영역의 형상만 변화시켰기 때문에 효율이 0.1% 미만의 차이를 보였으며, 본 논문에서 제안하는 로터 날개 끝 형상 변화가 추진성능에 미치는 영향은 크지 않다고 할 수 있다. 결론적으로, 목적으로 한 TLV 와류를 상당히 감소시킨 PSE tip의 펌프젯 추진기가 캐비테이션 및 소음성능 측면에서 더 우수할 것으로 판단된다. 향후, 캐비테이션 터널의 성능시험을 통해 보다 정량적인 캐비테이션과 추진성능 변화에 대한 검증이 필요하며, 적용을 위한 최적화 연구가 필요하다.
5. 결 론
본 논문에서는 KRISO 펌프젯 추진기의 날개 끝 형상 변화에 따른 로터와 덕트 사이 간극의 와류 감소에 대한 수치해석 연구 결과를 소개하였다. 대상 펌프젯 추진기에 대해 KRISO LCT 성능시험에서 계측한 단독성능 결과와 검증한 선행 연구 Kim et al.[16]의 수치해석법에 사용한 격자를 포함한 동일한 수치해석 조건과 SST k-ω 난류모형을 사용한 RANS법으로 펌프젯 추진기 유동을 해석하였다. 압력면과 흡입면 방향으로 날개 끝을 연장하는 방법을 사용해 세 가지 로터의 날개 끝 형상, BSE tip, PSE tip, SSE tip을 설계하고 변경 전 형상, original tip 대비 날개 끝 간극 누출 와류 TLV의 감소 경향을 조사하였다. 유입 유속과 펌프젯 추진기 회전수의 비인 전진비 조건은 잠수함에 부착되었을 때 운용 전진비 근방인 0.6과 0.8에서 수행되었다. 결론적으로, 압력면 방향으로 로터의 날개 끝을 연장한 PSE tip의 간극 TLV의 감소가 상대적으로 많이 감소하였다. 다음으로 BSE tip과 original tip이며 SSE tip은 오히려 약간 증가하는 경향을 보였다. 간극 사이 압력과 속도를 분석하였을 때 PSE tip이 간극 내 압력 강하 값과 유속을 낮추는 효과가 있었다. PSE tip의 경우 전진비 0.8조건에서 펌프젯 추진기 추력은 약 0.19% , 토오크는 약 0.1%, 그리고 효율은 약 0.09% 감소하였다. 간극 내 와류 감소에는 영향이 미소한 BSE tip의 경우 추력은 약 0.33% 그리고 토오크는 약 0.34% 증가하였으며, 효율은 original tip과 거의 변화가 없었다.
향후, 본 논문의 결과를 적용하기 위해 캐비테이션터널 성능시험을 통해 보다 정량적인 캐비테이션과 추진성능 변화에 대한 검증과 최적화 연구가 필요하다.
















