1. 서 론
2. 수치해석
2.1 형상 모델링
2.2 지배 방정식
2.3 계산 조건
3. 해석결과
3.1 격자 독립성 검사
3.2 유동가시화
3.3 압력, 포화온도, 밀도 변화
3.4 온도 변화
3.5 포화온도와 고체 벽 영역의 영향
3.6 열저항
4. 결 론
1. 서 론
최근 전자기기의 성능향상과 배터리 효율 증진의 목적으로 열교환기의 연구가 집중되고 있다. 특히, 내부 작동유체의 상변화의 원리로 작동되는 히트파이프(Heat pipe)는 소형화의 장점과 높은 열교환(Heat exchange) 성능으로 소형 기계장치에 많이 적용되고 있다[1]. 그 중, 최근에 개발된 진동형 히트파이프(Pulsating heat pipe)는 기존의 히트파이프의 윅(Wick) 구조에서 작동유체의 잠열(Latent heat)에 의한 열교환이 아닌, 작동유체의 현열(Sensible heat)에 의한 열교환으로 작동되는 장치이다[2]. 여기서, 작동유체는 좁은 지름과 열교환에 유리한 곡관(Return bend)으로 이루어진 형상의 내부에서 상변화를 통한 압력과 중력의 영향으로 순환하며 열교환을 수행한다. 구체적으로 설명하면, 증발부의 열원에 의하여 작동유체가 증기 플러그(Plug)로 발생되며, 내부 액체 슬러그(Slug)를 이동시켜 작동되는 원리이다.
진동형 히트파이프에 관한 연구를 살펴보면, 진동형 히트파이프에서 증발부와 곡관의 개수 및 파이프의 직경에 관한 실험이 수행되었다[3]. 연구결과, 진동형 히트파이프의 작동은 곡관의 개수와 증발부의 온도, 파이프의 직경에 따라 영향을 받으며, 증발부의 온도가 증가할수록, 직경의 크기가 클수록 작동에 필요한 곡관의 개수가 감소하였다.
작동유체를 나노유체(Nanofluid)로 사용한 진동형 히트파이프에 관한 연구가 수행되었다[4]. 여기서, 나노유체는 은(Silver)과 물로 제작되었으며, 나노유체의 농도 및 충전율(Filling ratio)에 따른 성능을 비교하였다. 여기서, 과도한 작동유체의 충전율은 증기 상태의 거동을 방해하고, 저조한 충전율은 Dry out(작동유체를 모두 증발시키는) 현상을 발생시키기 때문에 40~60%의 충전율에서 가장 높은 성능이 발생하였다. 한편, 극저온 환경에서 액체 수소를 작동유체로 사용한 진동형 히트파이프에 관한 연구가 수행되었다[5]. 높은 열원과 관의 길이가 긴 진동형 히트파이프에서 열전달 성능은 증가하였다. 이 연구에서, 진동형 히트파이프는 장거리에서 열을 전달하기 효과적임을 나타내었다.
진동형 히트파이프의 수치해석 연구를 살펴보면, 관의 지름과 개수에 관한 수치해석이 수행되었다[6]. 이 연구에서 증발부에서 측정된 온도 값을 기준으로 ANSYS Fluent VOF 모델의 경우 17.9%, Mixture 모델의 경우 1.63%, OpenFOAM VOF 모델의 경우 1.25%의 오차가 나타났다. OpenFOAM을 사용한 VOF 모델에서 기존 ANSYS Fluent Mixture 모델 대비 우수한 결과를 얻을 수 있었으며, 작동이 가능한 관의 직경 범위 안에서 직경이 크고 관의 개수가 적을수록, 열전달 성능이 증가하였다. 한편, 진동형 히트파이프에서 단순 셀(Part-unit cell)에 대한 압축성 유체의 상변화에 관한 수치해석 연구가 수행되었다[7]. 수치해석은 OpenFOAM 소프트웨어로 수행되었으며, 작동유체는 FC-72로 설정되었다. 해당 연구는 증발에 따라 생성되는 압축성 유체의 증기를 확인하기 위하여, 응축부를 생략하였으며, 증발부와 단열부 길이의 비와 증발부의 온도와 작동유체의 충전율에 관한 연구를 수행하였다. 연구결과, 증발부와 단열부의 길이의 비가 4배 증가하였을 때, 최대 증기압은 감소하였다. 그리고, 증발부의 온도가 5°C에서 20°C로 증가하였을 때, 증발 소요 시간은 감소하였으나, 최대 증기압은 증가하였다.
단열부의 길이 및 대류 열전달 계수가 진동형 히트파이프에 미치는 영향에 관한 수치해석이 수행되었다[8]. 수치해석은 ANSYS Fluent를 통해 수행되었으며, 작동유체를 물(증기)로 사용한 압축성 유체 해석의 연구를 수행하였다. 해석 결과, 진동형 히트파이프에서 단열부의 길이가 길어질수록 초기 작동시간이 단축되었다. 반면에, 열전달 성능의 감소와 Dry out 현상을 확인하였다. 또한, 작동유체가 증발할 때, 대류 열전달 계수가 커질수록 열저항이 증가하였다. 한편, 비압축성 유체의 온도에 따른 상변화 해석으로 진동형 히트파이프의 연구가 수행되었다[9]. 수치해석은 OpenFOAM으로 수행되었으며, 입력 파워가 증가할수록 열저항이 감소하였고, 비대칭 구조에서 대칭 구조의 진동형 히트파이프와 비교했을 때, 초기 작동시간이 감소하였다.
온도에 따른 상변화 모델에서 응축 매개변수에 따른 작동유체의 유동 가시화에 관한 수치적 연구가 수행되었다[10]. 해석은 STAR-CCM+을 통해 수행하였으며, 비압축성 유체 해석과 포화온도 조건에 Antonie 방정식을 대입하였다. 해석 결과, 상변화 과정에서 발생하는 환형 유동(Annual flow)에 끝에서 Dry out 현상이 발생하였다. 한편, 상변화 모델에 따른 진동형 히트파이프의 유동 과정 및 패턴 분석에 관한 수치해석이 수행되었다[11]. 해석은 OpenFOAM 소프트웨어를 통한 에탄올에 관한 비압축성 유체의 해석이 수행되었으며, 작동유체의 상변화에 관한 Lee[12], Tanasawa[13], Kafeel and Turan[14], Xu et al[15] 모델의 해석 결과를 비교하였다. 해석을 통한 작동유체의 유동 가시화는 Lee 모델과 Xu et al 모델에서 실험결과와 매우 유사하였다.
수치해석을 통한 진동형 히트파이프의 연구는 복잡한 상변화 과정에서의 에너지 해석과 관측하기 힘든 유동 가시화를 명확하게 확인할 수 있으므로 필수적이다. 지금까지, 대부분의 진동형 히트파이프의 상변화에 관한 수치해석 연구는 작동유체를 비압축성 유체로 가정하여 수행되었다[9,10,11]. 그러나, 진동형 히트파이프는 상변화에서 생기는 압력의 영향과 작은 부피의 밀폐계(Closed system)에서 순간적인 작동유체의 밀도 변화가 발생하는 조건으로, 압축성 유체에 관한 연구가 필수적이다. 앞서 언급한 수치해석 연구[6,7,8]에서 압축성 유체에 관한 해석이 수행되었으나, 상변화 방정식에서 상에 대한 상대속도가 고려되지 않은 관계로, 유동가시화와 상변화량 계산이 명확하지 않다는 한계점이 존재하였다.
이 연구에서는 압축성 유체의 상변화에 관한 지배방정식을 명확하게 정리하고, 진동형 히트파이프 내의 열 및 유동해석을 수행하였다. OpenFOAM 소프트웨어를 사용하였으며, 극저온 환경에서 자기 가압에 관한 상변화 연구[16,17]에서 개발된 압축성 유체의 상변화 솔버를 수정한 후 적용하였다. 실제 현상과 유사한 조건을 적용하기 위하여, 고체 벽 영역의 복합열전달 해석과 압력에 따라 변화하는 포화온도에 관한 사항을 추가하였다. 연구 결과의 유효성을 판단하기 위하여, 실험결과[18]와 열전달 성능을 비교하였다. 또한, 고체 벽 영역을 포함하지 않는 모델과 일정한 포화온도 조건으로 해석된 모델에 대하여 수치해석 결과를 비교 및 분석하였다.
2. 수치해석
2.1 형상 모델링
이 연구에서 압축성 유체의 상변화 해석을 위한 형상은 단일 루프의 진동형 히트파이프[18]로 설계하였다. 해당 형상은 고체를 포함하는 2차원 형상으로 설계하였으며, 해석을 위한 형상과 격자를 Fig. 1에 나타내었다. 여기서, 진동형 히트파이프의 형상은 Fig. 1(a)와 같으며, 상단에 응축부(Condenser section), 하단에 증발부(Evaporator section), 응축부와 증발부 사이에 단열부(Adiabatic section)로 구성된다. 형상의 전체 길이(L)는 0.15 m, 전체 넓이(W)는 0.032 m, 증발부의 길이(Le)는 0.06 m, 응축부의 길이(Lc)는 0.03 m, 단열부의 길이(La)는 0.06 m이다. 또한, 곡관 사이의 길이(Lb)는 0.118 m, 곡관의 곡률 반경(r)은 0.013 m이고, 관의 내경(di)과, 외경(do)은 각각 0.004 m, 0.006 m이다. 또한, 형상에 대한 해석을 위한 격자는 Fig. 1(b)와 같으며, Salome(9.9.0)[19] 소프트웨어를 통하여 생성되었다.
일반적으로 전산 열유동해석을 위한 격자는 벽면 경계층에서 전단응력의 영향으로, 벽면에 격자 생성을 더 촘촘히 생성하여야 한다. 반면에, 상변화 계산인 다상유동 해석의 VOF(Volme of fluid) 기법의 경우, 상의 경계는 전체 격자 영역에서 생성될 수 있으므로, 고체 벽 영역을 포함한 전체 형상의 격자는 등 간격의 사각(Hexa) 격자로 생성하였다[10].
2.2 지배 방정식
VOF 기법에서 압축성 유체의 상변화를 포함한 연속 방정식은 Eq. (1)과 같다.
여기서, 𝜌는 밀도, 𝛼는 체적분율, 는 시간, 는 속도, 는 질량 전달량, 아래 첨자 은 액체상을 의미한다. 상변화 계산에서 액체상과 증기상의 합은 1이기 때문에 액체상의 식으로만 나타내었다.
질량 전달량은 응축 과정에서 생성되는 질량 전달량()과 증발 과정에서 생성되는 질량 전달량()의 차로 이루어진다. 해당 연속 방정식은 좌변의 시간항, 대류항, 우변의 상변화에 관한 항으로 구성된다. 여기서, 대류항은 2가지 상에 대한 상대속도로 치환되어 계산된다. 참고로, 상대속도는 상의 표면 압축항으로 VOF 기법에서 사용되는 2상에 관한 임의의 표면 압축(Interface compression)을 의미한다[20]. 표면에 대한 압축항을 통해, 2가지 상의 경계가 존재할 때, 상대속도의 계산으로 명확한 다상유동 해석이 가능해진다. 또한, 상대속도는 OpenFOAM(v2212)[21]에서 cAlpha 값 설정을 통해 설정할 수 있다. 이 연구에서는 cAlpha 값을 1로 설정하여, 2가지 상에 대한 표면 압축항을 고려하였다.
진동형 히트파이프 해석을 위한 운동량 보존 방정식은 Eq. (2)와 같다.
여기서, 는 압력, 는 유효 점성계수, 는 중력 가속도, 𝜎는 표면장력, 𝜅는 표면 곡률, 는 상변화 과정에서 생기는 소스항을 의미한다. 참고로, 난류 모델에서 유효 점성계수는 를 만족한다. 또한, 밀도와 점성계수는 액체상과 증기상(아래첨자 )의 체적분율에 따라 , 로 계산된다.
운동량 방정식은 좌변의 시간항과 대류항, 우변의 압력항, 점성력항, 중력항, 표면장력항, 상변화에 관한 항으로 각각 구성된다. 이 연구에서 난류 모델은 RAS 유형의 K-Epsilon 모델을 사용하였으며, 난류를 포함한 점성항에서 난류 점성계수를 의미하는 는 Eq. (3)을 만족한다.
여기서, 는 난류 무차원 상수, 는 평균 유동의 운동에너지, 𝜖는 점성 소산율을 의미한다.
압축성 유체의 상변화에 관련된 에너지 보존 방정식은 Eq. (4)와 같다.
여기서, 는 정압비열, 는 온도, 는 열전도도, 는 증발 잠열을 나타낸다. 또한, 사용되는 물성치인 정압비열과 열전도율은 상변화 과정에서 상의 체적분율을 따라, , 로 계산된다. 에너지 방정식은 좌변의 시간항과 대류항, 우변의 열전도항과 상변화에 관한 잠열항으로 이루어진다.
진동형 히트파이프의 고체 벽 영역에 관한 복합열전달 해석을 수행하기 위한, 2차원 열전도 방정식은 Eq. (5)와 같다.
여기서, 는 고체의 열전도율, 는 고체의 밀도, 는 고체의 정압비열을 의미한다. 열전도 방정식은 시간항과 열전도항으로 구성된다.
포화온도를 기준으로 작동유체의 온도 변화에 따른 상변화량을 구할 때, Lee 모델[12]을 사용하였다. 응축량에 대한 상변화 방정식은 Eq. (6)이고, 증발량에 대한 상변화 방정식은 Eq. (7)과 같다.
여기서, 와 는 액체상과 기체상의 질량 전달 매개변수를 각각 의미하고, 는 포화온도를 나타낸다. Eq. (6)은 응축 과정에서 생성되는 질량 전달량으로, 작동유체의 온도가 포화온도 이하일 경우 값이 생성되고, Eq. (7)은 증발 과정에서 생성되는 질량 전달량으로, 작동유체의 온도가 포화온도 이상일 경우 값이 생성된다. 또한, 질량 전달 매개변수(단위: 1/s)는 0.1로 일정하게 설정하였다[22]. 포화온도는 참고문헌[23]의 증기표 값을 참고하여, 진동형 히트파이프 내 압력에 따라 변화하는 조건으로 설정하였다. 이에 따른 압력에 따라 변하는 포화온도에 관한 그래프는 Fig. 2과 같다. 참고로, 압력이 101,330 Pa일 때, 포화온도는 373.15 K의 값을 갖는다.
2.3 계산 조건
진동형 히트파이프를 해석하기 위한, 작동유체와 고체에 대한 물성치[23,24]를 Table 1에 나타내었다. 사용된 작동유체는 물과 증기이며, 고체 벽 영역은 석영관(Quartz)이다. 증기의 밀도는 이상기체 방정식인 Eq. (8)을 이용하여 구하였다.
여기서, 은 이상기체 상수를 의미한다. 상변화 해석에서 증기 상태를 압축성 유체로 설정하였으므로, 증기 상태의 밀도가 온도와 압력에 따라 변화하게 된다.
Table 1.
Properties of fluids and solid
진동형 히트파이프 해석에 사용된 초기 및 경계조건 값은 Table 2에 나타내었다. 초기조건으로 물과 증기에 대한 충전율, 압력, 속도, 온도를 설정하였다. 전체 체적에 대한 액체상의 체적분율인 충전율을 초기 50%로 설정하였다. 작동유체의 초기 압력과 속도는 각각 대기압과 벽면의 점착(No slip) 조건으로 설정하였다. 작동유체의 초기 온도는 초기 상변화 과정에 대한 계산시간 단축을 위하여, 액체와 증기 온도를 포화온도(373.15 K) 기준 ±1 K을 적용하여, 각각 372.15 K, 374.15 K으로 설정하였다. 모세관 현상을 위한 물과 석영관의 벽면 접촉각은 24 °로 설정하였으며[25], 증발부의 경계조건은 97.11 W의 입력 파워(Input power)로 설정하였다. 단열부는 온도구배를 0으로 설정하였고, 응축부는 상온의 온도인 298.15 K으로 설정하였다.
Table 2.
Initial and boundary conditions
|
Filling ratio Contact angle | Pressure [Pa] | Velocity [m/s] | Temperature [K] | |
| Water | 50% | 101,330 | 0 | 372.15 |
| Vapor | 374.15 | |||
| Evaporator | 24° | - | - | 97.11 [W] |
| Adiabatic | - | - | = 0 | |
| Condenser | - | - | 298.15 |
이 연구는 비정상 상태의 고체 벽 영역을 포함한 압축성 유체의 상변화 해석을 위해, 참고문헌[16,17]을 참고하여, OpenFOAM(v2212)의 솔버를 수정하였다. 압축성 유체의 다상유동 해석을 위한 솔버인 compressibleInterFoam, 비압축성 유체의 상변화 해석을 위한 솔버인 interCondensatingEvaporatingFoam, 고체 벽 영역을 포함한 복합열전달 해석을 위한 솔버인 chtMultiRegionFoam을 결합하여 해석 솔버를 생성하였다. 해석 솔버는 PIMPLE 알고리즘을 이용하여, 상변화 방정식의 해를 구한 후 속도, 온도, 압력을 반복적으로 계산하는 방법을 적용하였다. 한편, 수치계산시 최대 Courant 수의 설정은 속도 값과 격자 크기를 고려하여, 시간 간격을 수렴조건에 맞게 조절함으로써 계산시간을 줄일 수 있다. 그러나, 상변화 과정에서 일정하지 않은 시간 간격은 오히려 계산상의 발산을 유발할 수 있으므로, 이 연구에서는 시간 간격을 5.0✕10-6 s로 고정하여 계산을 수행하였다.
3. 해석결과
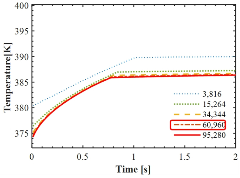
3.1 격자 독립성 검사
진동형 히트파이프 형상의 생성된 격자에 대하여, 격자 독립성 검사를 수행하였다. Fig. 1과 같이 고체 벽 영역을 포함하였으며, 격자수를 3,816, 15,264, 34,344, 60,960, 95,280개로 각각 생성한 후 계산을 수행하였다. 격자 독립성 검사의 결과는 Fig. 3과 같으며, 시간에 따른 증발부의 면적 평균 온도를 비교하였다. 계산 결과를 살펴보면, 시간에 따라 증발부의 온도가 증가하다가 정상상태에 도달하였다. 그래프의 전반적인 형태를 고려한다면, 격자수가 34,344개 이상부터 시간에 따른 온도 변화의 차이가 거의 나타나지 않았다. 이 연구에서는 해석 시간과 결과의 정확도를 고려하여, 60,960개의 격자 수를 수치해석에 적용하여 계산을 수행하였다.
3.2 유동가시화
진동형 히트파이프 내 작동유체의 유동 가시화를 위하여, 시간에 따른 체적분율의 분포를 Fig. 4에 나타내었다. 여기서, 체적분율 0.0과 1.0은 각각 물과 증기를 의미한다. 초기의 Fig. 4(a)-(b)를 살펴보면, 진동형 히트파이프의 증발부 열원에 의해 액체상이 증기상으로 상변화가 이루어지면서, 증기상에 의하여 액체상이 상승하게 된다. 이후, Fig. 4(c)-(d)를 보면 액체상이 좌우로 진동하면서 상승하였고, 생성된 기포가 플러그 형태로 결합되며, 액체상이 응축부의 곡관까지 상승하였다. 이러한 결과는 진동형 히트파이프 내 작동유체가 기포 유동(Bubble flow)에서 슬러그 유동(Slug flow)을 거쳐 환형 유동(Annular flow)으로 진행하는 실험 결과[26]와 유사하였다. 이후, Fig. 4(e)에서는 상승된 액체 슬러그가 상단의 곡관에서 좌우로 진동하며, Fig. 4(f)에서 시계 방향으로 순환하였다. 시간이 지남에 따라, Fig. 4(g)-(h)의 경우 반시계 방향으로 순환하였다. 참고로, 작동유체가 순환할 때, 진동형 히트파이프의 전체영역에 대한 평균 속도는 0.5724 m/s로 나타났다. 액체상과 증기상의 체적분율을 고려한 물성치로 Reynolds 수를 구하면, 약 7,410으로 난류 유동 범위에 있었다.
3.3 압력, 포화온도, 밀도 변화
상변화 과정에서 진동형 히트파이프 내의 시간에 따른 압력, 포화온도, 증기 밀도 변화를 Fig. 5에 나타내었다. 전반적으로 압축성 유체의 상변화 과정에서 내부 압력변화의 영향으로 포화온도와 증기 밀도의 변화도 비슷한 경향으로 나타났다. 내부 압력변화는 Fig. 5(a)와 같으며, 초기 약 2 s까지 응축부 온도의 영향으로 약 97,611 Pa까지 감소하였다. 이후, 작동유체가 증발함에 따라 24.5 s에서 약 464,366 Pa까지 증가하다가, 작동유체의 순환으로 인하여 내부 압력이 감소하였다.
포화온도와 밀도의 변화는 각각 Fig. 5(b), Fig. 5(c)와 같으며, 포화온도의 경우, 초기 내부 작동유체의 압력 감소로 372.1 K까지 감소하였다. 이후, 상변화에 따른 내부 압력 증가로 포화온도는 증가하였고, 24.5s에서 423 K까지 상승하였다. 포화온도의 상승은 상변화량의 감소로 이어지며, 액체상을 이동시키는데 필요한 구동력도 감소하게 된다. 이것은 진동형 히트파이프내 작동유체의 순환 속도에 영향을 미친다. 한편, 증기 밀도의 경우도 내부 압력변화의 영향으로 초기 약 0.568 kg/m3까지 감소하다가, 작동 이후 약 2.4 kg/m3까지 증가하였다. 이 값은 초기 증기 밀도의 약 4배 이상으로, 진동형 히트파이프 내 작동유체의 압축성 효과는 중요하게 작용하는 것으로 나타났다.
3.4 온도 변화
진동형 히트파이프에서 시간에 따른 작동유체의 온도분포는 Fig. 6과 같다. 증발부에서 Fig. 6(a)-(b)와 같이 열원의 영향으로 내부 온도가 상승하게 되고, 열이 단열부로 이동하였다. 이후, Fig. 6(c)-(f)와 같이 좌측과 우측에서 작동유체가 진동하며 열이 응축부로 이동하였다. Fig. 6(g)에서 고온의 증기가 응축부의 곡관을 지나 반시계 방향으로 순환하였으며, Fig. 6(h)에서 이동된 증기는 응축부에서 저온의 영향으로 응축되어, 다시 증발부에 도달하였다. 이러한 과정을 반복하면서 진동형 히트파이프 내 작동유체는 외부 열원과 열교환을 수행하였다.
진동형 히트파이프의 온도 변화를 살펴보기 위하여, 시간에 따른 영역별 면적 평균 온도의 변화량을 Fig. 7에 나타내었다. 증발부 표면 온도의 경우, 열원의 영향으로 24.5 s에서 약 438 K까지 상승하였고, 이후 작동유체의 열교환으로 인하여 410 K까지 감소하였다. 단열부 표면 온도는 순환까지 약 380 K에 수렴하였고, 이후 385 K까지 상승하였다. 응축부 표면 온도는 고정된 값의 경계조건으로 설정하였기 때문에, 298.15 K으로 일정한 값을 유지하였다.
3.5 포화온도와 고체 벽 영역의 영향
진동형 히트파이프에서 압력에 따른 포화온도의 영향과 고체 벽 영역의 영향을 알아보기 위하여, 3가지 조건으로 전산 열유동해석을 수행하였다. 구체적인 조건은 Fig. 8에 나타냈으며, 압력에 따른 포화온도와 진동형 히트파이프의 벽면을 고려한 모델을 Case 1로 설정하였다. 그리고, Case 1의 조건을 기준으로, 일정한 포화온도와 벽면을 고려한 모델을 Case 2로, 압력에 따른 포화온도를 고려하고 고체 벽 영역을 포함하지 않은 모델을 Case 3으로 각각 설정하였다. 참고로, Case 3의 경우 진동형 히트파이프의 벽면을 고려하지 않기 때문에 작동유체에 증발부의 열원이 직접 전달된다. 이와 같은 3가지 조건에 대한 해석 결과를 비교하기 위하여, 작동유체의 진동형 히트파이프 내 첫 번째 순환에서의 체적분율을 Fig. 9에 나타내었다. 또한, 응축부에서의 증기가 증발부 곡관까지 첫 번째로 이동하는데 소요되는 시간을 각각 표시하였다.
서로 다른 포화온도 조건을 갖는 Case 1과 Case 2를 비교했을 때, 첫 번째 순환까지의 소요 시간은 Case 1에서 24.6 s, Case 2에서 5.51 s로 나타났다. Case 1의 결과는 Fig. 5(b)에서 보여준 포화온도가 Case 2 포화온도인 373.15 K보다 높은 관계로, 상변화량의 차이로 인하여 증기의 도달 시간이 많이 소요되었다.
고체 벽 영역의 영향을 알아보기 위하여, 고체 벽 영역이 있는 Case 1과 고체 벽 영역이 없는 Case 3의 해석 결과를 비교하면, 증기가 도달하는 소요 시간은 Case 1에서 24.6 s, Case 3에서 4.47 s로 나타났다. Case 3의 결과는 열원이 바로 작동유체에 직접적으로 영향을 미치기 때문으로, 소요 시간이 가장 짧게 나타났다. 결과적으로, 일정한 포화온도와 고체영역을 고려하지 않는 조건들이 작동유체의 순환에 소요되는 시간을 단축시켰다.
3.6 열저항
각각의 모델에 대한 진동형 히트파이프의 열교환 성능을 비교하기 위하여, Eq. (9)와 같은 열저항(Thermal resistance) 식을 사용하였다.
여기서, 은 열저항, 는 증발부의 평균 온도, 는 응축부의 평균 온도, 는 입력 파워를 각각 의미한다. 열저항은 응축부의 평균 온도와 입력 파워가 고정된 값이기 때문에, 증발부의 평균 온도가 응축부의 평균 온도에 근접할수록 열저항 값이 작게 되고, 열교환 성능이 증가함을 의미한다.
이 연구에서 수행한 3가지 경우에 대한 열저항 값을 참고문헌에서 제공한 실험 결과[18]와 Fig. 10에서 비교하였다. 기본적으로 해석 결과는 실험 결과에 비하여 높은 열저항 값으로 나타났다. 이것은 해석과 실험에서의 근본적인 에너지 손실 차이와 2차원 형상으로 가정된 수치해석 결과의 차이로 볼 수 있다. 여기서, 실험의 경우 증발부의 열원이 열선인 관계로 수치해석과 다르게 단열재와 주변으로의 전도와 대류 열전달에 의한 에너지 손실이 있으며, 해당 연구의 추정치에 따르면, 에너지 손실은 공급된 전기에너지의 약 3-6%로 나타났다[18]. 수치해석에 관한 결과를 살펴보면, Case 1의 열저항이 Case 2의 열저항보다 더 높은 것으로 확인되었다. 이것은 압력에 따른 포화온도 조건이 작동유체의 순환을 지연시키면서, 증발부의 온도가 높아졌기 때문이다. 한편, Case 3의 열저항은 Case 1보다 높게 나타났다. 이것은 고체 벽 영역이 없는 관계로, 증발부 열원이 작동유체에 직접 전달되어, 온도가 상대적으로 높아졌기 때문이다. 결과적으로, 고체 벽 영역을 포함하고, 일정한 포화온도로 계산된 Case 2의 열저항이 실험결과에 가장 근접하게 나타났다.
4. 결 론
이 연구에서는 진동형 히트파이프에 대한 압축성 작동유체의 상변화를 고려한 전산 열유동해석을 수행하였다. 전산 해석은 오픈 소스인 OpenFOAM 프로그램을 사용하였으며, 압축성 유체의 상변화와 고체 벽 영역의 열전달이 수행되도록 코드를 수정하였다. 수치해석 결과의 정확도를 높이기 위하여 격자 독립성 검사를 수행하였으며, 유동 가시화를 통하여 기존의 연구 결과와 유사한 기포 유동, 슬러그 유동, 환형 유동을 진동형 히트파이프 내에서 보여주었다.
압축성 유체의 상변화 과정에서 시간에 따른 압력, 포화온도, 밀도에 대한 변화를 구하였으며, 그 연관성을 확인하였다. 또한, 압력에 따른 포화온도의 변화와 고체 벽 영역의 유무에 따른 진동형 히트파이프에 대한 열저항을 구한 후 기존의 실험결과와 비교하였다. 3가지 경우의 수치해석 결과가 실험 결과보다 열저항이 높게 나타났다. 이것은 수치해석과 실험의 근본적인 에너지 손실 차이와 2차원 형상으로 가정한 수치해석 결과의 영향으로 판단된다.
압력에 따른 포화온도 변화를 고려한 수치계산의 경우 일정한 포화온도로 계산한 결과보다 열저항이 크게 나타났다. 또한, 고체 벽 영역을 무시한 경우 열원이 직접 작동유체와 열교환이 이루어진 관계로, 고체 벽 영역을 포함한 결과보다 열저항이 높게 나타났다. 결론적으로, 진동형 히트파이프 내의 압축성 증기와 고체 벽 영역은 열교환 성능에 영향을 미치는 것으로 나타났다. 이러한 수치해석 결과는 진동형 히트파이프의 최적화 설계에 도움이 될 것으로 기대된다. 향후 연구에서는 진동형 히트파이프에 대한 연구 결과를 범용적으로 사용하기 위하여, 2상 유동과 관련된 무차원 매개변수에 대한 연구를 수행할 계획이다.












