1. 서 론
2. 모델링 및 수치해석 정의
2.1 형상 모델링 및 경계 조건
2.2 지배 방정식
2.3 설계 변수 및 목적 함수 정의
3. 수치해석 결과
3.1 격자 의존도 해석
3.2 3D 해석 결과
4. 결 론
1. 서 론
회전 로터의 원심력을 통해 시스템에 압력 및 유동을 공급하는 원심팬(centrifugal fan)은 로터 블레이드의 곡면 형상에 따라 후향익(backward-curved blade), 직선익(radial blade) 및 전향익(forward-curved blade)의 3가지 종류로 분류할 수 있다. 이 중 고풍량, 저소음의 특성을 나타내는 전향익 원심팬은 제작의 용의성 및 낮은 도입 비용의 이점을 가져 가정용 공기 조화 시스템 및 전자기기 냉각에 많이 도입되고 있다[1]. 다만 도입 목적이 상기한 특성에 기인한 탓에, 다른 원심팬과 비교하여 상대적으로 낮은 효율을 나타내어[2], 저소음 및 고풍량의 특성을 유지시킴과 동시에 효율을 개선한 설계가 요구된다.
위 배경에 따라 전향익 원심팬의 효율 증대를 위한 연구를 살펴보자면, Adachi et al.[3,4,5]는 볼류트 형상 및 블레이드 형상에 따른 전향익 원심팬의 공력학적 특성을 실험 및 CFD(Computational fluid dynamics)를 통해 탐구하였다. Kim and Seo[6]는 3차원 CFD 및 반응 표면법(RSM, Response surface method)을 도입하여 전향익 원심팬의 형상 최적화를 진행한 바 있다. 반응 표면법을 통한 원심팬의 형상 설계에는, 임펠러 두께, 컷오프 형상 및 볼류트의 스크롤 형상을 고려하였다. Jung et al.[7]는 전향익 원심팬의 효율 증대를 위해 볼류트 형상에 대한 최적화 연구를 수행하였으며, DOE(Design of experiment)를 통해 볼류트 형상 최적안을 도출하였다. 반면, Khalkhali et al.[8]는 유전 알고리즘을 도입하여 전향익 원심팬의 다목적 최적화 연구를 수행하였으며, GMDH(Group method of data handling) 신경망을 활용하여 파레토 최적화를 진행하였다.
원심팬 내부 회전하는 로터에 의한 소음을 감소하기 위한 연구 또한 활발히 이루어져 왔다. Kang et al.[9]은 전향익 원심팬에 대한 정상 상태 유동 해석을 통하여 내부 유동 및 소음 특성을 도출하였으며, 소음 특성 연구는 Proudman[10]이 정리한 난류 유동과 소음 간의 관계식을 통하여 수행하였다. Heo et al.[11]은 CFD 기반 공력 해석과 더불어 Lighthill의 음향상사[12]에 기반하여 소음 예측을 수행하고, 형상 최적 설계 연구를 수행하였다.
본 논문에서 최적화 기법으로 도입한 mesh morphing 기법은, 최적화 과정 내에서 수정된 형상에 대한 메쉬 형성 작업을 진행하지 않고, 메쉬를 수정함으로서 형상 변형을 전산 해석에 반영하는 기법으로 최적화 과정에서의 비용을 줄일 수 있다는 장점을 가진다. 따라서 Mesh morphing 기법을 도입한 최적화 연구 또한 이루어져 왔는데, Kallath et al.[13]은 mesh morphing 기법과 반응 표면법을 통하여 에어포일 형상의 다목적 최적화를 수행한 바 있다. 또한 Kim et al.[14]는 터보 원심팬 형상의 기초 설계와 더불어, mesh morphing 기법을 블레이드 형상 설계에 도입함으로서 최적 설계 연구를 수행하였다.
본 논문에서는 전향익 원심팬의 공력 성능 및 소음을 동시에 고려한 블레이드 형상의 설계를 수행하고자 하였다. 블레이드 형상의 설계는 2차원 형상에서 mesh morphing 기법을 도입함으로써, 다른 연구들과 차별성을 두었다. 본 설계 방법을 통해서 최적화 과정의 전산해석에 필요한 비용을 줄이고, 기존의 설계변수를 통한 형상정의와는 차별성을 가지는, 보다 유연한 형상을 설계할 수 있었다. 본 연구에서 도출된 블레이드 형상은 3차원 해석을 통해 검증되었으며, 형상에 따른 성능 특성에 대하여 논의하였다.
2. 모델링 및 수치해석 정의
2.1 형상 모델링 및 경계 조건
전향익 원심팬의 블레이드 설계 연구에 사용된 전산 해석 모델은 Fig. 1과 같다. 본 연구에서는 Wen 등[15]이 원심팬 케이싱 설계 연구에 사용한 원심팬 형상을 모델링하여 전산 해석을 수행하였다. 45개의 등간격 블레이드로 구성된 임펠러의 회전 운동은 MRF(moving reference frame) 기법을 통해 구현되었으며, 작동 유량 범위 내 원심팬 성능을 도출하기 위하여 입출구 조건으로 각각 mass flow inlet 및 pressure outlet 조건을 부여하였다. 원심팬 블레이드의 형상은 선행 논문에 따라, 내경 =176.6mm 및 외경 =200mm로 설계되었으며, 임펠러의 두께는 =100mm로 해석 모델에 반영되었다. 블레이드의 형상은 2D 및 3D 조건으로 모델링 되어 전산해석에 사용되었으며, mesh morphing 기법이 적용된 2D 형상 모델에서는 해석 시간을 단축하기 위하여 주기 경계 조건(periodic boundary condition)을 통해서 단일 블레이드 형상으로 모델링하였다.
2.2 지배 방정식
원심팬의 성능 도출을 위하여 RANS 방정식을 통한 정상상태 해석을 수행하였으며, 블레이드 형상에 따른 원심팬의 성능을 비교하였다. 정상상태 조건에서 원심팬 블레이드의 회전 운동을 모사하기 위해 MRF 기법을 도입하였으며, 난류 유동 모사에는 검증 해석을 통해 선정된 RNG 모델이 사용되었다. 연속 방정식 및 운동량 방정식은 각각 식 (1)과 식 (2)와 같이 표현된다.
위 식에서 𝜔는 각속도, 는 블레이드의 회전 운동에 따른 상대 속도이다. 위 지배 방정식들의 계산에는 상용 소프트웨어인 ANSYS FLUENT가 사용되었고, 계산 수행에는 SIMPLE 알고리즘과 함께 2차 풍상차분 기법(second order upwind scheme)을 적용하였다.
2.3 설계 변수 및 목적 함수 정의
2D 형상 모델에서의 설계 변수는 Fig. 2와 같이 총 4개의 설계 지점 좌표로 정의하였다. 4개의 설계 변수는 원호의 형상으로 설계된 기존 블레이드 형상에서 등간격을 가지는 점 4개로 선정하였으며, 각 설계 변수는 메쉬 모핑 시 블레이드 형상에 수직한 방향으로 이동되었다. 블레이드의 형상 설계시 목적 함수로는 블레이드의 공력 효율 및 난류 소음을 고려하였다. 원심팬의 공력 효율은 식 (3)에서와 같이 𝜂로 계산하였고, , , 및 𝜔는 각각 토출구 간의 압력차, 체적 유량, 임펠러에 작용하는 토크 및 임펠러의 회전수이다. 한편, Papoutsis-Kiachagias 등[16]은 난류 점성계수 의 제곱값을 통해 유동 소음을 정의 한 바 있으며, 본 연구에서는 이를 참고하여 식 (4)와 같이 임펠러 내부에서 발생하는 소음을 로 정의하였다.
아래 식 (3)과 식 (4)에서 정의된 공력 효율 및 소음은 아래 식 (5), (6), (7)과 같이 세 가지 목적 함수로 표현하여 설계시 반영되었다. 식 (5), (6), (7)는 각각 순서대로 효율 목적함수, 소음 목적함수 및 효율과 소음을 모두 고려한 다목적함수로 이는 모두 하첨자 , 와 로 나타내었다. 또한 식에서의 하첨자 은 기존 Baseline 형상에서의 성능 값을 의미한다. 본 연구에서는 식 (5)와 식 (6)를 통해 각각 효율 증대 및 소음 감소를 나타내는 블레이드 형상을 도출하였고, 식 (7)은 공력 효율 및 소음을 모두 고려한 목적함수로 나타내었다. 위 세가지 목적 함수를 통해 도출한 블레이드의 형상은 케이싱 형상을 반영한 3D 원심팬 해석에서 반영되어 비교분석 되었다.
3. 수치해석 결과
3.1 격자 의존도 해석
전산 해석을 수행하기에 앞서 3D 원심팬 모델에 대한 격자 의존도 해석을 수행하여 수렴에 적절한 격자 수준을 도출하였다. 원심팬 내부의 격자는 모두 hexahedral mesh로 형성하였고, 해석은 850m3/hr의 입구 유량 조건 및 1,530 RPM의 임펠러 회전수의 조건에서 수행하였다. 격자 수준에 따른 결과값은 토출구 간의 압력차로 비교하였으며, 압력차는 식 (8)와 같이 무차원화하였다. 아래 식 (8)에서 는 임펠러 외경에서의 속력이다.
3D 원심팬 모델에서 격자 의존도 해석의 결과 1,300만개 이상의 격자 수준에서 결과값 간의 차이가 1%이내로 수렴하는 경향을 보였다(Fig. 3). 따라서 3D 해석에 사용된 원심팬 모델의 격자는 1,300만개의 격자 수준을 기준으로 형성하였다. 형성된 격자는 벽함수 Enhanced wall treatment를 적용하여 전산 해석 수행시 벽면 값이 ≤10의 범위를 만족하도록 하였다(Fig. 4).
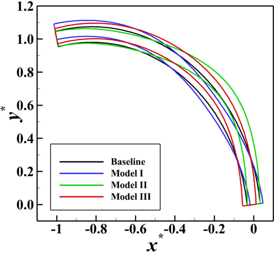
Mesh morphing을 통해 각 목적 함수에 따라 도출한 블레이드의 형상은 Fig. 5와 같이 나타났다. Fig. 5에서 와 는 각각 Baseline 블레이드의 축방향 길이에 대하여 표준화 시킨 좌표위치이다. Model I과 Model II, Model III은 각각 효율, 소음 그리고 다중 목적 함수로 도출된 최적 블레이드 형상이다. Mesh morphing을 통한 형상 변형의 결과 효율이 개선된 Model I은 블레이드의 외경 부근에서의 곡률이 증가하였으며, 반대로 Model II는 내경 부근의 곡률이 증가하며 변형되었다. 각 목적 함수에 따라 도출된 블레이드 형상에서의 목적함수 결과값은 Table 1 에서와 같이 나타났다. 효율 최적 형상인 Model I의 경우에는 효율이 Baseline 대비 2.5% 증가하여 개선된 반면, 소음이 4.5% 증가하며 효율과 소음이 상반되는 경향을 나타내었다. 이는 Model II에서도 동일하게 나타나, 소음이 2.2% 감소하는 동시에 효율이 0.8% 줄어들었다. 반면 효율과 소음이 동시에 고려된 Model III은 효율과 소음 모든 측면에서 개선된 결과를 나타내어, 다중 목적 함수가 Baseline 대비 1.6% 감소되는 결과를 나타냈다.
Table 1.
Results of mesh morphing method on the blade shape
| Model I | -2.5% | +4.5% | +1.3% |
| Model II | +0.8% | -2.2% | -0.7% |
| Model III | -1.2% | -2.0% | -1.6% |
Fig. 6과 Fig. 7에서는 각각 각 형상에 따른 유동장 내부의 반경 방향 속도 성분의 크기 및 정압 크기를 나타냈다. 효율이 개선된 Model I의 경우 변형된 블레이드 형상으로 인하여 블레이드 부근 속도의 크기가 증가하였고(Fig. 6(b)) 또한 블레이드의 압력면에서의 압력이 줄어들었다(Fig. 7(b)). 따라서, Model I의 블레이드 형상에서는 토출구 방향 속도 성분이 증가하면서 유동 형성에 적은 축동력이 소모되는 것을 확인할 수 있다. 다만, 압력 감소와 동시에 난류 점성계수가 증가하며 Baseline과 비교하였을 때 소음이 증가하였다(Fig. 8). 반면, Model II는 반대되는 경향을 나타내어 블레이드의 압력면에 작용하는 압력이 증가하고(Fig. 7(c)), 효율이 감소하였다. Model II와 Model III는 블레이드의 형상에 따른 난류 점성 계수를 나타낸 Fig. 8에서 볼 수 있듯이, Baseline 대비 난류 점성계수가 감소하며 소음의 크기가 줄어든 것을 확인 할 수 있다.
3.2 3D 해석 결과
2D 해석에서의 블레이드 형상 설계는 주기 조건을 활용하여 단일 블레이드 형상에 대해서만 수행하였다. 본 연구에서는 2D 해석과 더불어, 볼류트 케이싱이 고려된 3차원 형상에서의 블레이드 형상이 성능에 미치는 영향을 확인하기 위하여 3차원 해석을 수행하였다. 해석은 각 블레이드 형상에 대해 체적 유량 =450~1050m3/hr의 범위 내에서 총 7개의 유량값에 따라 수행하였다.
전산 해석의 결과 유량에 따른 결과값은 Fig. 9와 같이 나타났다. 공력 효율은 모든 블레이드 형상에서 전반적으로 Baseline 모델보다 효율이 개선되었음을 확인할 수 있다. 특히 소음 개선 모델인 Model II에서도 효율이 개선되며 유량이 증가하는 결과를 보였는데, 최고 효율 지점 BEP가 Baseline 대비 적은 유량(=550m3/hr)에서 나타났으며, 저유량 구간에서는 4개의 모델 중 가장 큰 효율을 나타냈다. 효율 개선 모델인 Model I은, BEP보다 큰 유량의 고유량 영역에서 효율이 개선되는 결과를 보였다. 반면, 난류 점성 계수로 정의한 난류 유동 소음 F는 Model I에서 Baseline 대비 증가하는 경향을 보였는데, 특히 유량이 증가할수록 소음이 커지는 것을 확인할 수 있었다.
설계 지점(850m3/hr)에서의 공력 효율 및 소음의 변화는 Table 2에서와 같이 나타났다. 효율 개선 모델 Model I은 효율이 상승하였지만, 소음이 7.0% 증가하는 상반된 결과를 보였다. 반면 Model II와 Model III는 효율과 소음이 모두 개선된 결과를 보이며, Model II에서 소음이 최대 6.5% 감소하고 Model III에서는 효율이 0.5%p 증가하였다. 3차원 해석에 따른 난류 점성계수는 Fig. 10과 같이 나타났으며, 블레이드 형상에 따른 난류 점성 계수의 변화는, 임펠러 부분에서 두드러지게 나타났다. Model I에서는 2D 해석 결과와 같이 블레이드 흡입면에서의 난류점성 계수가 증가하면서 소음이 커지는 결과를 보였다.
4. 결 론
본 연구에서는 팬의 성능 개선을 목적으로 mesh morphing 기법을 도입하고 블레이드 형상을 변형하였다. 변형된 형상은 원심팬의 실제 모형을 고려한 해석을 통해 비교되었다. 블레이드의 설계시 고려된 팬의 성능에는 공력 효율 및 난류 점성계수로 정의된 소음이다.
본 연구에서는 2D 해석을 통해서 블레이드 형상 설계 연구를 수행하고, 이를 3차원 원심팬 모델에 도입 후 그 결과를 비교하였다. Simplex 알고리즘을 통해 블레이드의 형상을 변형한 결과, 효율 및 소음은 반대되는 경향을 보이며 개선되었다. 블레이드의 외경측 곡률이 증가하면서 회전에 소모되는 동력이 감소하고 효율이 개선되었다. 반면, 내경측 곡률의 증가는 임펠러 내부에서 비교적 균일한 유속을 만들며 난류 점성계수가 감소하였다. 다양한 유량 조건에서 3차원 해석을 수행한 결과 변형된 블레이드 형상은 전반적으로 효율이 개선되었으며, 특히 효율 개선 모델인 Model I은 유량이 큰폭 상승하는 결과를 나타냈다. 소음의 경우 임펠러 내부에서 가장 큰 변화가 나타났으며, 설계 목적 함수로 소음이 고려된 Model II 및 Model III은 모두 6.0% 이상의 소음이 개선되었다.
본 연구에서는 성능 및 소음을 고려하는 복합 최적화 해석 비용의 최소화를 위해, 2차원 블레이드의 형상 최적화를 바탕으로 3차원 상세해석으로 구분하여 설계하는 것이 타당함을 밝혔고, 통상적인 설계변수에 의한 형상최적화를 뛰어 넘는 mesh morphing 기법이 팬설계에 유용함을 보여주었다. 본 연구에서 제안된 블레이드 설계 기법을 확장시켜 팬을 구성하는 볼류트 및 컷오프 형상까지 포함하는 다단계 최적화(multi-step optimization)에 대한 추가 연구가 필요하다.












