1. 서 론
2. 수치해석 방법
2.1 해석 모델
2.2 지배방정식
2.3 계산 및 경계 조건
3. 결과 및 분석
3.1 격자 민감도 분석 및 수치 해석 모델 검증
3.2 예열공기 온도 변화에 따른 효과
3.3 버너 전환에 따른 효과
4. 결 론
1. 서 론
재가열로는 철강 산업 등에서 소재를 압연이나 단조에 적합한 온도로 가열하기 위해 사용되는 핵심적인 설비이다. 하지만 목표 온도 이상을 유지하기 위해 막대한 양의 화석 연료를 소모하는 대표적인 에너지 다소비 설비이기도 하다[1,2]. 에너지 효율을 높이고 소재를 균일하게 가열하기 위해서는 로 내부의 온도 분포와 연소 가스의 유동 특성을 정밀하게 파악하는 것이 필수적이다. 그러나 로 내부는 고온 환경으로 인해 특정 지점에서의 온도 등 제한된 지점의 계측만이 이루어져 내부 현상을 상세히 관찰하는 데에는 많은 제약이 따른다[3,10]. 이러한 이유로 최근에는 전산유체역학(CFD)이 가열로 내부의 복잡한 열유동 현상을 분석하고 설계를 최적화하기 위한 효과적인 연구 방법으로 널리 활용되고 있다.
가열로 내부 열유동을 분석하기 위한 다양한 수치 연구들이 수행되어왔다[4,5,6,7]. Nava 등 [8]은 열부하가 존재할 때와 존재하지 않을 때 배치형 가열로의 배기가스 몰분율과 온도장에 대한 연구를 수행하였다. 하지만 비정상상태와 내부 유동장에 대한 연구는 수행되지 않았다. Arroyo 등[9]은 다양한 연료에 따른 산업용 로 내부 열유동을 분석하였으나, 산화제 온도에 따른 연구는 수행되지 않았다. Nima 등[10]은 내부 소재 적재 방식에 따른 가열로 내부 온도를 비정상상태 해석을 통해 예측하였으나 축열식 버너의 적용은 고려되지 않았다.
에너지 효율을 극대화하기 위해 적용되는 축열식 버너를 포함한 가열로는 두 개 이상의 버너(또는 버너쌍)가 설치되어 있으며, 이들이 주기적으로 연소와 배기 역할을 교대하면서 버너 내부의 축열재에 열을 저장하거나 방출한다. 이러한 축열식 버너의 전환 운전 특성과 관련된 연구는 기존 버너를 활용한 연구를 확장하는 형태로 이루어져 왔다. Wu 등[11]은 가열로의 기존 버너와 축열식 버너를 비교하기 위해 비정상상태 해석을 진행하였으나, 버너의 전환을 고려하지는 않았다. Lipo 등[12]은 버너 각도, 예열 온도, 공연비에 따른 노 내부 열유동을 분석하였으나, 노 내부에 소재를 적재하는 실제 상황을 반영하지는 않았다. Li 등[13]은 버너의 운전 모드에 따른 가열로 내부와 소재의 온도 균일성을 파악하였다. 그러나 버너에서의 연소 가스가 분사되는 기하학적 위치에만 초점을 맞추었다. Han 등[14]은 축열식 버너의 동적 전환 과정을 해석하기 위해 비정상 수치해석을 수행하였으나, 버너의 전환 사이클 간의 열유동장 분포에 대한 정량적 분석은 이루어지지 않았다.
본 연구에서는 전산유체역학(CFD)을 이용하여 축열식 버너의 전환 운전에 따른 가열로의 정상상태 및 비정상상태 열유동 특성을 종합적으로 분석하고자 한다. 버너의 주기적인 전환 운전을 모사하는 비정상상태 해석을 수행하여, 시간에 따른 유동장의 동적 거동과 시스템이 주기적 정상상태에 도달하는 과정을 규명한다. 실제 조업 환경에서 문제가 되는 침입공기가 시스템의 안정성과 열전달에 미치는 복합적인 영향을 함께 고찰하고자 한다.
2. 수치해석 방법
2.1 해석 모델
본 연구의 해석 모델인 배치타입 가열로의 형상과 주요 구성 요소는 Fig. 1과 같다. 해석 대상은 2쌍의 축열식 버너, 1개의 배기구, 내화벽 및 도어로 구성되며 Lee 등[15]의 선행 연구의 형상을 기반으로 모델링하였다. 가열로 내 온도 분포에 큰 영향을 미치는 외부 공기 침입을 포함하였다. 도어 틈새에 100 mm 두께의 침입공기 유입부, 가열로 내부에 적재된 소재는 가로 1,625 mm, 세로 350 mm, 높이 350 mm의 치수를 가지며, 소재는 로 바닥면에 8개씩 2줄, 총 16개가 배치되도록 모델링 하였다.
2.2 지배방정식
배치타입 가열로의 열유동 분석을 위해 ANSYS-FLUENT를 활용하여 3차원 정상상태/비정상상태 압축성 유동 해석을 수행하였다. 소재 부근의 자연대류를 고려하기 위해 중력을 포함하고, 기체의 압축성을 이상기체 법칙을 통해 적용하였다. 압력-속도 결합은 Coupled 알고리즘을 사용하였으며, 시간 전진은 2nd-order implicit scheme을 적용하였다. 공간 차분 기법은 압력항에 대해 Body force weighted 방식을, 대류항에 대해서는 2nd-order upwind scheme을 사용하였다. 질량, 운동량, 에너지 보존 방정식은 아래와 같이 나타낸다.
가열로 내부에서 발생하는 거시적인 재순환 유동을 모사하기 위해 Realizable k-ε 모델을 적용하였다. 이 모델은 가열로 내부 재순환 유동에서 기존의 Standard k-ε 모델보다 높은 예측 정확도를 보이는 것으로 알려져 있다. 실제로 Yepes 등[16]은 축열식 재생버너가 적용된 가열로에서 Realizable k-ε 모델이 재순환 과정과 유동 방향 변화를 더 잘 포착하여 정밀하게 예측할 수 있음을 보였다. 벽면 근처의 유동은 standard wall function으로 처리되었다.
위의 식에서 는 평균 속도 구배에 인한 생성항, 는 부력에 의한 생성항, 는 부력 효과 계수를 의미한다. 난류 모델 상수로는 =1.0, =1.9, =1.2를 사용하였다.
화학반응을 계산하기 위해 다음과 같은 species 수송방정식을 해석하였다.
여기서 는 각 species의 질량분율, 는 화학종 의 확산 플럭스, 는 화학 반응에 의한 species의 생성속도이다.
버너 전환이 포함된 가열로 내부의 화학 반응 속도() 계산을 위해 Finite-Rate/Eddy-Dissipation 모델을 적용하였다[17]. 이 모델은 화학 반응 속도와 난류 혼합 속도를 동시에 고려한 후, 두 과정 중 더 느린 메커니즘이 전체 반응을 지배한다는 가정에 기반한다. PDF(Probability Density Function) 기반의 SDF(Steady Diffusion Flamelet) 모델은 상세 화학반응을 효율적으로 모사할 수 있다는 장점이 있으나, 기본적으로 ‘화염이 이미 안정된 상태(quasi-steady state)'를 전제하고 있어, 버너 전환 과정에서 나타나는 점화와 소염 등 비정상 현상을 재현하는 데 한계가 있다. 또한 EDC(Eddy Dissipation Concept) 모델은 미세 스케일의 반응 구조까지 모사해 정확도가 높지만, 본 연구와 같이 대형 도메인에서 다사이클 버너 전환을 고려해야 하는 경우 계산 비용이 지나치게 커진다. 이에 따라, 본 연구에서는 화학 반응 메커니즘은 단순화되어 있으면서도 점화/소염과 같은 동적 전환 현상을 합리적으로 모사할 수 있는 FR/ED 모델이 연구 목적에 가장 적합하다고 판단하여 이를 채택하였다. Finite-Rate 모델은 Arrhenius 식을 기반으로 순수 화학 반응 속도를 계산하며, 각 화학종의 농도와 온도에 따른 화학적 시간 규모(chemical timescale)가 반응 지배 요인이라 가정한다. 따라서 이 모델은 난류 혼합 효과는 직접적으로 고려하지 않는다. Finite-Rate 모델의 화학 반응 속도식은 다음과 같다.
식에서의 하첨자 는 대상 화학종을 나타내며 는 반응에 참여하는 모든 화학종들을, 은 반응, 는 역반응을 나타낸다. 는 반응물의 화학양론적 계수, 는 생성물의 화학양론적 계수, 는 몰농도, 는 반응물의 반응 차수 지수, 는 생성물의 반응 차수 지수, 는 지수 앞 인자, 는 Third-body 효율 계수, 는 온도 지수, 는 활성화 에너지를 나타낸다.
Eddy-Dissipation 모델의 화학반응 속도는 난류 혼합 속도에 의해 결정되며 이 속도는 아래 두 식 (11), (12) 중 더 작은 값으로 결정된다[18].
식에서의 하첨자 P는 생성물을, 는 반응물을 나타낸다. ,는 생성물과 반응물의 질량분율, 는 분자량을 나타내며, 와는 경험 상수로써 4.0과 0.5의 값을 가진다.
또한, 화염 및 고온의 연소 가스로부터 발생하는 복사 열전달은 가열로 내 전체 열전달에서 지배적인 역할을 한다.복사 열전달 해석을 위해 고려 가능한 모델 중 P1 모델은 단순화된 방사선 전달 방정식을 사용하여 계산 효율이 높으나, 고온 가열로에서 방향성을 무시함에 따른 오차가 커질 수 있다. 또한 S2S(Surface to Surface) 모델은 표면 간 복사만 고려하여 가스의 체적 흡수·방출·산란을 반영하지 못하는 한계가 있다. 이에 본 연구에서는 복사 열전달의 방향성을 고려하면서, 가스의 흡수 및 방출까지 해석할 수 있는 DO(Discrete Ordinates) 모델을 적용하여 고온 환경에서의 복사 효과를 보다 정확하게 반영하였다. 복사 전달 방정식은 다음과 같이 표현된다.
위 식에서 는 복사강도(radiative intensity), 은 위치 벡터, 는 복사 진행 방향 벡터, 는 흡수계수, 는 산란계수, 은 굴절률, 𝜎는 Stefan-Boltzmann 상수, 는 산란 후의 방향 벡터, 𝛷은 위상함수(phase function), 은 고체각(solid angle)를 의미한다. 좌변의 첫 번째 항은 광선 경로를 따라 복사강도가 변화하는 대류항을, 두 번째 항은 흡수와 산란에 의한 감쇠를 나타낸다. 우변의 첫 번째 항은 매질의 열복사 방출을, 두 번째 항은 복사 열의 산란에 의한 재분포를 의미한다. 가스의 복사 특성은 WSGGM(Weighted-Sum-of-Grey-Gases Model) 기반의 유효 흡수계수를 사용하여 평가하였다.
2.3 계산 및 경계 조건
가열로 내 축열식 버너 전환 거동의 영향을 분석하기 위해, 정상상태 해석과 비정상상태 해석을 모두 수행하였다. 먼저, 정상상태 해석을 통해 격자 독립성 검사와 모델 검증을 수행하였으며, 이후 버너 전환에 따른 내부 열유동의 변화를 모사하기 위해 비정상 해석을 진행하였다. 또한, 전환 사이클 시간이 열유동 특성에 미치는 영향을 분석하였다. 각 해석에서 연료 유입구와 예열공기 유입구에는 질량 유량 유입 조건, 버너 배출구에는 질량 유량 배출 조건, 가스 배출구에는 압력 출구 조건을 적용하였다. 해석에 사용된 계산 조건은 Table 1에 요약하였다.
3. 결과 및 분석
3.1 격자 민감도 분석 및 수치 해석 모델 검증
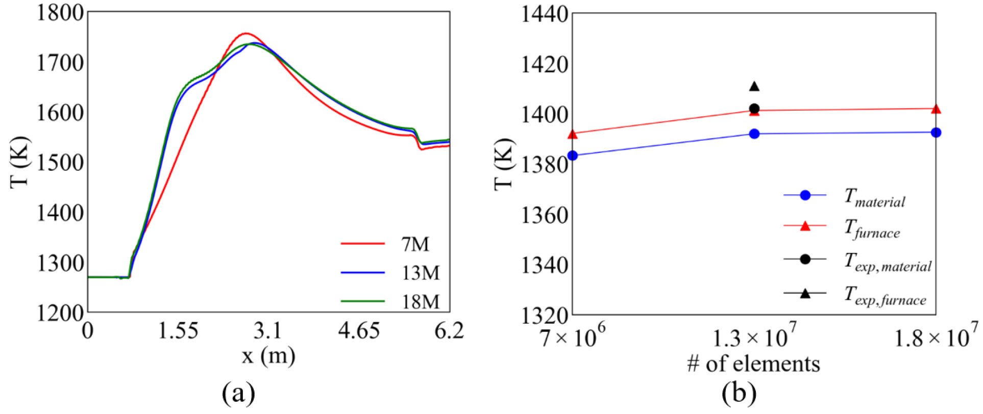
본 연구의 수치 해석 결과가 격자 크기에 의존하지 않음을 확인하고, 결과의 신뢰성을 확보하기 위해 격자 민감도 분석을 수행하였다 . 이를 위해 약 700만 개(7 M), 1300만 개(13 M), 1800만 개(18 M)의 세 가지 서로 다른 격자 시스템을 구성하여 결과를 비교하였으며, 각 격자 시스템에 대한 가열로 내부 벽면 근처 y+ 분포는 다음과 같다. 700만 격자에서 평균 y+ ≈ 70, 1300만 격자에서 평균 y+ ≈ 61, 1800만 격자에서 평균 y+ ≈ 47이다. 이는 대부분의 격자가 standard wall function에 적합한 범위(30 < y+ < 300) 내에 있음을 보여준다. 결과는 Fig. 2에 나타내었으며, Fig. 2(a)는 격자 수에 따른 특정 단면의 x축 방향 온도 분포를 보여준다. 1300만 개와 1800만 개의 격자 시스템에서 계산된 온도 분포 곡선은 2% 미만의 오차 범위 내에서 거의 일치한 반면, 700만 개 격자를 사용한 결과는 최대 13%의 차이를 보였다. Fig. 2(b)는 격자 수에 따른 소재의 전·후면 및 가열로 평균 온도를 비교한 결과로, 1300만 개 이상의 격자에서 온도 변화가 1% 미만으로 나타나 해석 결과가 충분히 수렴하였음을 확인하였다. 따라서 본 연구에서는 계산 효율성과 정확도를 고려하여, 약 1300만 개의 격자 시스템을 전체 해석에 적용하였다. 또한, 해석 모델의 타당성을 검증하기 위해 형상을 참조한 Lee 등[15]의 실험 결과와 본 해석 결과를 비교하였다. 그 결과, Fig. 2(b)에서 소재 평균 온도 및 가열로 내부 평균 온도의 오차가 1% 이하로 나타나, 본 해석 모델의 신뢰성과 정확성을 확인할 수 있었다.
Fig. 3는 예열공기 입구 온도(Tin) 1273 K 조건에서의 정상상태 속도장을 나타낸 것으로, 가열로 내부에서 형성되는 주요 유동 구조를 보여준다. 가열로의 주된 유동은 y=3 m 단면에서 확인할 수 있듯이, 양측 버너에서 분사되는 고속 제트에 의해 구동된다. 이 제트는 서로 마주 보는 버너 배출구 방향으로 상부를 가로지르는 강한 횡단 유동을 형성하며, 이 과정에서 주변의 고온 가스에 운동량을 전달하면서 가열로 내부의 전체적인 흐름을 주도한다. 이렇게 형성된 제트의 운동량은 z=1.55 m와 z=3.85 m의 단면에서 볼 수 있듯이, 상부 배출구로 향하고 남은 제트는 벽면을 따라 하강하면서 대규모 순환 유동을 유도한다. 이 순환 유동은 상부의 열을 하부 소재로 전달하는 대류적 열 수송 메커니즘으로 작용한다. 한편, 버너 분사부 하단에서는 작은 재순환 유동이 관찰되는 데, 이는 고속 제트가 주변의 저속 유체를 끌어 당기면서 생기는 유입에 의해 비워진 영역을 채우려는 하부 유체의 상승으로 형성된 2차 와류로 해석된다. 또한, y=0.9 m 단면에서 벽면을 따라 하강한 제트의 운동을 보면, y=0.55 m 단면에서 전면부를 통해 균일하게 유입되는 침입공기가 중앙부로 밀려나는 현상이 확인된다. 아울러, 전면부 벽면(침입공기 유입측)을 따라 하강한 제트는 소재 상부를 지나 로 중앙부로 향하는 반면, 후면부 벽면(침입공기 반대측)을 따라 하강한 제트는 일부가 로 후면의 배출구로 빠져나가고, 다른 일부는 (x,z) = (0.55 m, 0.55 m) 부근에서 전면부로부터 유입된 흐름과 충돌하여 국소적인 와류를 형성한다.
Fig. 4는 정상상태에서의 온도 분포를 나타낸 것이다. 가장 높은 온도는 y=3 m 단면에서 보이듯, 고속 제트 유동이 시작되는 버너 화염 영역에 집중되어 있으며, 이 고온 화염은 가열로의 주요 열에너지 공급원으로 작용한다. z=1.55 m와 z=3.85 m 단면에서는 속도장에서 관찰된 와류가 열을 전달하는 모습이 뚜렷하게 나타난다. 상부의 고온 가스는 이 와류의 흐름을 따라 하부로 이동하며 주변의 저온 가스와 혼합되어 점차 냉각되고, 그 과정에서 소재에 열을 전달한다. 특히, 침입공기의 영향이 온도 분포에서 뚜렷하게 나타난다. 침입공기 유입구와 가까운 z=3.85 m 단면 및 로의 하부인 y=0.55 m 단면에서는 약 300 K의 저온 침입공기가 바닥 부근에 넓게 분포하는 것이 확인된다. 이 저온의 공기층은 와류에 의해 로 중앙부로 이동하며, 그 결과 중앙부 소재 온도 감소의 주요 원인으로 작용한다. 반면, 침입공기에서 먼 z=1.55 m 단면에서는 바닥면 부근의 저온 영역이 거의 나타나지 않아, 상대적으로 높은 온도 유지가 관찰된다. 또한, 소재 표면이 위치한 y=0.9 m 단면에서는 온도 분포가 로 바닥면보다 균일하며, 침입공기의 영향이 현저히 줄어든 것을 확인할 수 있다. 이는 차가운 침입공기가 바닥면에 깔려 머무르기 때문으로 해석된다.
3.2 예열공기 온도 변화에 따른 효과
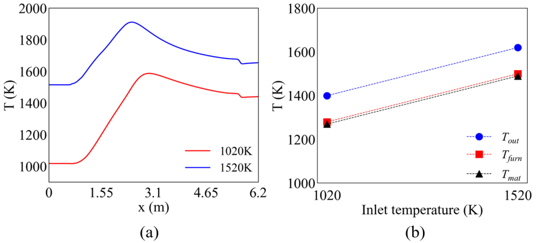
예열공기 온도 변화에 따른 가열로 내부 온도장을 분석하였다. 실제 축열식 버너에서는 하나의 전환 사이클 동안 축열체의 열 방출로 인해 예열공기 온도가 점차 감소한다. 전체 전환 사이클을 포함한 비정상상태 해석 대신, 본 절에서는 이러한 온도 변화의 영향을 단순화하여 평가하기 위해 사이클의 시작 구간(고축열 조건)과 종료 구간(저축열 조건)을 대표하는 두 가지 정상상태 해석 조건을 설정하고 비교하였다. 이 두 조건의 결과를 비교함으로써, 하나의 축열 사이클 동안 가열로 내부에서 발생할 수 있는 최대 온도 편차와 열유동 특성의 변화 범위를 예측하고자 하였다. 예열공기 온도 변화는 Lin 등[19]의 결과를 참고하였으며, 그 변화 경향은 Fig. 5에 제시되어 있다. 그래프에서 볼 수 있듯, 전환 시간이 길어질수록 축열량은 증가하지만, 상대적으로 가열 시간이 길어지면서 최종 온도는 낮아져, 결과적으로 예열공기의 평균 온도는 전환시간에 크게 의존하지 않음을 확인할 수 있다.
Fig. 6과 Fig. 7은 각 예열공기 온도가 1520 K일 때와 1020 K일 때의 정상상태 온도 분포를 나타낸다. 두 조건을 비교하면, 예열공기 온도가 가열로 내부의 최고 온도뿐만 아니라 전반적인 온도 분포와 균일도에 큰 영향을 미치는 것을 확인할 수 있다. y = 3 m 단면에서 볼 때, Fig. 6의 고온 예열 조건에서는 연소 반응이 보다 활발하게 일어나며, 길고 넓은 고온 화염 영역이 형성된다. 반면, Fig. 7의 저온 예열 조건에서는 화염의 길이와 폭이 상대적으로 작고, 최고 온도 영역 또한 좁게 분포함을 알 수 있다. 이러한 차이는 로 하부에서 더욱 두드러진다. z = 1.55 m 단면과 y = 0.9 m 단면을 살펴보면, Fig. 7에서는 상대적으로 약해진 주 유동의 열에너지로 인해 저온의 침입공기가 로 내부 깊숙이 침투하면서 소재 주변 온도를 현저히 저하시킨다. 반면, Fig. 6에서는 강력한 고온 재순환 유동이 형성되어 침입공기의 냉각 효과를 상당 부분 상쇄시키며, 소재 주변을 비교적 높은 온도로 유지한다. 이러한 균일성의 차이를 정량적으로 분석하기 위해, 실제 소재 품질과 홀딩 타임에 가장 큰 영향을 미치는 저온부 특성을 비교하였다. 소재 주변부(y=1 m) 평면을 침입공기 측(전면부)과 배기구 측(후면부)으로 2분할하여 각 영역의 최소 온도를 분석한 결과, 1020 K 조건에서는 전/후 최소 온도 편차가 321.4 K에 달했으나, 1520 K 조건에서는 이 편차가 244.5 K로 크게 감소하였다. 이 결과는 예열공기 온도가 높을수록 단순히 최고 온도가 상승하는 것에 그치지 않고, 가열로 내부의 열에너지 보유량이 증가하여 침입공기와 같은 외부 교란에 대한 온도장의 강건성이 향상됨을 정량적으로 입증한다. 따라서 고온의 예열공기를 사용하는 경우, 가열로 내부에서 보다 균일한 온도분포가 형성되어, 소재의 균일한 가열이 가능함을 확인할 수 있다.
Fig. 8은 두 가지 예열공기 온도 조건에서의 가열로 온도 특성을 정량적으로 비교한 결과이다. Fig. 8(a)는 버너 중심축을 따른 온도 분포를 나타낸다. 예열공기 온도가 1520 K일 때 전반적으로 더 높은 온도를 유지하는 것을 볼 수 있으며, 주목할 점은 1020 K 조건에서의 최고 온도 지점이 1520 K 조건보다 축 방향으로 더 멀리 후방에서 생성된다는 것이다. 이는 예열공기 온도가 낮을수록 혼합기의 초기 온도가 낮아지고, 그에 따라 점화 지연 시간이 길어지며 전체적인 화학 반응 속도가 감소하기 때문이다. 즉, 연소 반응이 완전히 진행되어 최고 온도에 도달하기까지 더 많은 시간과 거리가 필요하게 되어, 화염의 위치가 후방으로 이동하는 현상이 발생한다.
Fig. 8(b)는 예열공기 온도 변화에 따른 배출구, 로 내부, 그리고 소재의 평균 온도 변화를 보여준다. 예열공기 온도가 1020 K에서 1520 K로 500 K 상승하였음에도, 로 내부와 소재의 평균 온도 상승 폭은 이에 비해 훨씬 작게 나타난다. 이는 고온 조건(1520 K)에서 예열 공기로부터 더 많은 열 에너지가 공급되어 가열로 내부의 전체 온도가 상승함과 동시에, 배출가스 온도 역시 크게 증가하기 때문이다. Fig. 8(b)의 에서 볼 수 있듯이 배출구를 통해 빠져나가는 가스의 온도 상승은 추가로 공급된 에너지의 상당 부분이 배출 손실 형태로 소산됨을 의미한다. 즉, 예열 공기 온도가 높아질수록 로 내부 온도도 상승하지만, 추가로 유입된 500 K의 에너지가 그대로 내부에 축적되는 것이 아니라 더 뜨거워진 배출 가스에 의해 외부로 방출되는 에너지의 양이 증가하면서 새로운 열적 평형 상태가 형성된다. 따라서 로 내부와 소재의 평균 온도는 투입 에너지 증가분에 비례하여 상승하지 않으며, 이는 가열로의 에너지 효율이 예열 공기 온도에 따라 한계적으로 변화함을 보여준다.
3.3 버너 전환에 따른 효과
앞선 정상상태 해석에 이어, 본 절에서는 축열식 버너의 주기적인 연소-배기 전환이 가열로 내부의 열유동 특성에 미치는 영향을 분석하였다. 이를 위해 비정상상태 해석을 수행하였으며 정상상태에서 수렴된 유동장을 초기 조건으로 사용하였으며, 버너의 전환 주기(τ)는 120초로 설정하였다.
Fig. 9는 첫 번째 120초 사이클 동안 나타나는 유동 및 온도장의 시간적 변화를 보여준다. 이는 시스템이 주기적으로 안정된 상태에 도달하기 이전의 초기 과도기에 해당한다. 속도장을 살펴보면, 버너 전환 후(t/τ = 0.25) 새로운 제트가 분사되면서 재순환 유동이 형성되기 시작하고, t/τ = 0.5(60초) 시점에서 가장 강하게 발달한다. 이때 와류 이후 t/τ = 0.75(90초)와 t/τ = 1(120초)로 진행됨에 따라, 와류의 세기가 점차 약화되고, 크기 또한 감소하는 경향을 보인다. 와류의 변화를 정량적으로 확인하기 위해 단면의 재순환 유동 발생부 평균 와도(mean vorticity)를 계산한 결과 steady 상태에서는 8, 가장 강하게 발달한 t/τ = 0.5(60초) 시점에서 약 12로 최대치에 도달한 후, 사이클이 종료되는 t/τ = 1(120초) 시점에는 약 9로 감소하는 것을 확인하였다. 이는 유동장이 시간이 지남에 따라 정상상태로 가는 과정을 보여준다.
Fig. 10은 버너 전환 사이클이 반복됨에 따라 시스템이 안정화되는 과정을 보여준다. 그림은 각 사이클이 종료되는 시점(t/τ = 1, 2, 3, 4)에서의 속도장과 소재 표면의 온도장을 나타낸다. 속도장을 보면, 초기 사이클(t/τ = 1, 2)에서는 여전히 초기 조건의 영향이 남아있어 사이클마다 유동 패턴이 다소 다르게 나타나는 불안정한 과도기 상태를 보인다. 그러나 t/τ = 3 이후부터는 각 사이클 종료 시점의 유동장이 거의 동일한 형태로 수렴하며, 이는 시스템이 외부 조건(즉, 버너 주기적인 전환)에 대해 반복적으로 동일한 응답을 보이는 주기적 정상상태(periodic steady-state)에 도달했음을 의미한다. 이때의 안정화된 유동장은 정상상태 해석에서 얻은 유동 구조와 유사한 형태를 띤다. 소재 표면의 온도장 역시 이러한 수렴 과정을 명확히 보여준다. 초기 조건의 영향이 남아있는 t/τ = 2에서는 우측 끝의 소재에서 국소적인 고온 영역이 나타나는 등 온도 분포가 불균일하게 형성된다. 하지만 사이클이 반복되면서 초기 조건의 영향이 점차 사라지고 시스템이 안정적인 주기적 정상상태에 가까워짐에 따라, t/τ = 4에서는 이 고온부의 크기가 감소하고 양 끝 소재의 온도 분포가 상대적으로 균일해지는 것을 확인할 수 있다. 이러한 결과는 시간이 지남에 따라 안정화된 유동장이 일관된 열전달을 제공함으로써, 초기 단계에서 존재하던 온도 편차를 점차 완화시키고 가열로 내부에 균일한 온도장이 형성되는 과정을 보여준다.
Fig. 11은 로의 중앙 높이(y=1.55 m) 단면에서, 각 사이클 종료 시점(t/τ = 1, 2, 3, 4)의 온도 분포를 보여준다. 이를 통해 버너 전환이 로 내부 온도 분포에 미치는 주기적인 영향을 명확히 확인할 수 있다. 가장 두드러지는 특징은 저온 영역(파란색)의 위치가 매 사이클마다 좌우로 교대로 나타난다는 점이다. t/τ = 1과 3에서는 저온 영역이 좌측, t/τ = 2와 4에서는 우측에 형성된다. 이는 연소 버너와 배기 버너의 역할이 사이클마다 주기적으로 전환되기 때문으로, 연소가 이루어지는 버너 측은 고온을 유지하는 반면, 배기가 이루어지는 반대쪽은 상대적으로 온도가 낮아져 국소적인 저온 영역이 형성된다. 또한, 사이클이 반복됨에 따라 저온 영역의 크기와 강도가 점차 완화되는 경향을 관찰할 수 있다. 초기 과도기 상태(t/τ = 1, 2)에서는 아직 정돈되지 않은 불안정한 유동이 바닥면의 침입공기를 로 내부 깊숙이 끌어들여 넓은 저온 영역을 형성한다. 그러나 시스템이 안정화된 주기적 정상상태에 도달한 이후(t/τ = 3, 4)에는, 침입공기가 상부까지 확산되지 않고 로 하부에서 주 유동과 효율적으로 혼합되어 가열된다. 그 결과, 저온 영역의 영향이 로 하부에 국한되면서 중앙부의 온도 편차가 감소하고 전반적으로 더 균일한 온도 분포가 형성된다.
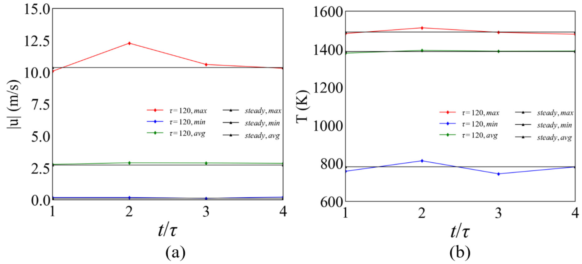
Fig. 12는 비정상상태 해석이 진행됨에 따라 시스템이 주기적 정상상태로 수렴하는 과정을 정량적으로 보여주기 위해, 각 사이클 종료 시점의 주요 변수들을 정상상태 결과와 비교한 것이다. Fig. 12(a)는 z=1.55 m 단면의 속도장 수렴 특성을 나타낸다. 로의 전반적인 유동을 반영하는 평균 속도는 첫 번째 사이클(t/τ = 1)부터 정상상태 값과 거의 일치하는 안정적인 경향을 보인다. 반면, 고속 제트로 유발되는 순간적인 거동을 나타내는 최대 속도는 초기 과도기 상태(t/τ = 1, 2)에서 다소 정상상태에서 벗어난 모습을 보이나 t/τ = 3(360s) 이후부터 정상상태 속도(평균 약 10.2 m/s)에 근접하며 안정화됨을 확인할 수 있다. 이는 시스템이 안정화되는 과정을 나타낸다. Fig. 12(b)는 y=1.55 m 단면의 온도장 분석 결과로, 속도장과 유사한 경향을 더 명확하게 보여준다. 로 전체의 거대한 열적 관성으로 인해 최대 온도와 평균 온도는 빠르게 안정화된다. 하지만, 침입공기의 국소적인 교란에 의해 결정되는 최소 온도는 속도장의 최대값과 마찬가지로 초기 과도기(t/τ = 1, 2)에 불안정한 거동을 보이며, 이후 점진적으로 상승하며 수렴하는 정상화 추이를 보인다. 결론적으로, 이 두 그래프는 로의 거시적 특성(평균 속도/온도)은 빠르게 안정화되지만, 국소적 특성(최대 속도/최소 온도)은 초기 과도기 영향과 침입공기 혼합으로 인해 시간이 필요함을 보여준다. 두 그래프의 변동이 모두 약 t/τ = 3(360초) 이후 안정되는 것으로 보아, 시스템이 주기적 정상상태에 도달하는 정량적 수렴 시간은 약 360초(3 사이클)임을 확인할 수 있다.
4. 결 론
본 연구에서는 CFD 해석을 이용하여 축열식 가열로의 정상상태 및 비정상상태 열유동 특성을 종합적으로 분석하였다. 정상상태 해석 결과, 로 내부 유동은 상부 제트에 의해 구동되는 대규모 수직 재순환 유동이 지배하며, 이 재순환 유동이 가열로의 핵심 대류 열전달 메커니즘임을 확인하였다. 또한, 예열공기 온도는 연소 안정성에 직접적인 영향을 미쳤다. 온도가 높을수록 점화 지연이 짧아져 화염이 버너 인근에서 형성되었으며, 동시에 배출 가스를 통한 에너지 손실이 증가하여 로 내부 온도는 투입 에너지 증가분에 비례하여 상승하지 않는 것으로 나타났다. 비정상상태 해석을 통해서는 시스템이 약 세 번의 전환 사이클을 거친 후 초기 과도기적 영향이 사라지고 안정된 주기적 정상상태에 도달하는 과정을 규명하였다. 이 안정된 상태에서는 버너의 역할 전환에 따라 로 내부에 저온 영역이 좌우로 주기적으로 교대하여 형성되는 특성이 확인되었다. 결론적으로, 본 연구는 축열식 버너가 적용된 가열로의 특성 및 전환 거동을 정량적으로 규명하였으며, 향후 유사 시스템의 해석 및 성능 평가를 위한 기준을 제시하였다.














