1. 서 론
2. 전산해석 기법
2.1 유동 해석(Air Solver)
2.2 액적 충돌 해석 기법(Droplet Solver)
2.3 결빙 증식 해석 기법(Ice Solver)
3. 전산해석 격자 생성 및 조건
3.1 형상 및 경계조건
3.2 해석 조건
4. 전산해석 결과
4.1 유동장 해석 결과
4.2 액적장 해석 결과
4.3 결빙 증식 해석 결과
4.4 구조물 형상에 따른 결빙 영향성 비교 분석
5. 결 론
1. 서 론
중형 수송기는 군사 작전, 재난 구호, 물자 수송 등 다목적 임무를 수행하기 위해 극한 환경에서도 높은 신뢰성과 안전성을 요구한다[1,2]. 특히 결빙은 항공기의 성능과 안전성에 직접적인 영향을 미치는 대표적인 요인으로 항공기 표면뿐 아니라 장착된 생존장비에도 부정적인 영향을 미쳐 임무의 성공 가능성과 안전성을 저하시킬 수 있다. 중형 수송기에 탑재되는 생존장비는 비행 안전에 핵심적인 운용 안전성, 위협 대응 능력, 임무 성공률을 향상시키는 특수 시스템 및 구성요소들로 특히 적외선 유도 미사일 위협에 대응하기 위한 DIRCM(Directional Infrared Counter Measures)은 군용 항공기의 생존성을 높이는 데 큰 역할을 한다.
DIRCM은 적외선 유도 미사일을 탐지한 후 교란 신호를 방출함으로써 미사일의 추적 능력을 무력화하는 방식으로 작동한다. 그러나 DIRCM도 결빙과 같은 극한 기상 조건에서 오작동 위험이 있다. 특히 DIRCM의 광학 창(Optical Window)이 결빙으로 인해 가려질 경우, 전자기 신호의 수신 및 방출에 악영향을 줄 수 있어 시스템 성능이 저하될 가능성이 있다. 이는 항공기 손상 및 임무 실패로 이어질 수 있는 심각한 생존성 저하 요인으로 작용한다[3,4,5].
항공기 결빙은 항공기가 운항 중이거나 지상에 있을 때, 비 또는 구름 내 존재하는 과냉각 액적(Supercooled Droplet)과의 충돌로 인해 항공기 표면에 액적이 부착되며 형성된다. 결빙 형상은 액적의 크기(Mean Volume Diameter, MVD), 액적량(Liquid Water Content, LWC), 온도(Temperature), 항공기 운항 속도(Speed), 그리고 결빙 환경 노출 시간(Exposure Time)과 같은 다양한 요인에 따라 달라지는 특징을 보인다. 결빙은 일반적으로 Glaze Ice, Rime Ice, Mixed Ice의 세 가지 유형으로 분류할 수 있다. Glaze Ice는 비교적 높은 LWC, MVD, 속도 그리고 빙점에 가까운 온도에서 주로 형성된다. 이러한 조건에서는 표면 위를 흐르는 액적이 결빙되면서 단단하고 투명한 형태를 형성하고, 불규칙한 형상 특성을 보인다. Rime Ice는 –15℃ 이하의 낮은 온도, 비교적 낮은 LWC, MVD, 속도에서 형성된다. Rime Ice는 과냉각된 액적이 항공기 표면에 충돌한 직후 급속히 결빙되어 항공기 표면을 따라 유선형으로 형성되는 특징이 있다. 이 과정에서 얼음 사이의 공기 방울이 포함되며, 불투명하고 상대적으로 균일한 형태를 가진다[6]. Mixed Ice는 중간 정도의 온도, LWC, MVD, 속도에서 형성되며, Glaze Ice와 Rime Ice의 특성이 혼합된 형태를 띤다. 이러한 결빙은 항공기 표면에 다양한 형상으로 부착되며 결과적으로 항공기의 외형을 변형시켜 공력 성능 감소, 항공기 시스템의 기능 저하, 조종 안정성 저하 등 여러 부정적인 영향을 초래 할 수 있다[7,8,9,10].
실제 결빙으로 인한 사고 사례로 1997년 Comair Flight 3272편(Embraer EMB-120 Turboprop)의 경우 비행 중에 고도 7,000 ft에서 4,000 ft로 하강하며 주날개 Leading Edge 부근에 조금씩 결빙이 축적되었다. 이 결과로 항공기는 요구되는 최소 속도를 유지하지 못했고 결국 조종력을 상실하여 승객 26명과 승무원 3명 사망하는 사고가 발생하였다[11]. 또한, 과거 여러 사례에서 항공기의 외부 부착장비의 결빙으로 인한 오작동이 치명적인 결과를 초래한 바 있다. 대표적으로 2009년 에어 프랑스 447편 사고는 외부 부착장비 중 하나인 피토관의 결빙으로 인해 항속 데이터가 오작동하면서 조종사들이 비행기의 속도를 정확히 파악하지 못했고 결국 실속 상태에 빠져 대서양에 추락하였다[12]. 최근 2017년 2월, 영국 육군 Watchkeeper UAV가 피토관의 착빙으로 인해 정지하였다[13]. 이러한 사례들은 외부에 장착되는 DIRCM과 같은 생존장비가 결빙으로 인한 오작동할 가능성에서 자유로울 수 없음을 시사한다.
이러한 결빙으로 인한 항공기 사고를 예방하기 위해 미국연방 항공청 Federal Aviation Administration (FAA)은 14 CFR Part 25의 부속 문서 Federal Aviation Regulations (FAR) Appendix C를 통해 결빙 감항 인증을 실시하고 있다. 해당 기준은 결빙이 항공기 성능과 안전성에 미치는 중대한 영향을 반영하여 이를 예방하거나 최소화하기 위해 항공기 설계자와 운영자가 준수해야 할 구체적인 기술적 요구사항을 정의하고 있다. 또한 FAA는 구름 조건에 따라 결빙 환경을 CM (Continuous Maximum)과 IM (Intermittent Maximum)으로 구분하는데 CM은 층운형 구름에서 주로 발생하는 연속적인 최대 결빙 조건을, IM은 적운형 구름에서 주로 발생하는 간헐적인 최대 결빙 조건을 의미한다[14]. Fig. 1에는 Appendix C에 제시되는 각 결빙 조건에 대해 두 가지 조건이 제시되어 있으며 왼쪽 조건은 MVD와 온도, LWC의 상호 관계를 나타낸다. 오른쪽 조건은 고도(Pressure Altitude)와 온도의 범위를 제시한다.
항공기 외부 부착장비의 결빙 영향성 분석에 대한 선행 연구는 꾸준히 이루어져 왔다. 예를 들어, Transport Canada[15]에서는 기존 Dash 8-100 항공기에 외부 장착한 SLAR (Side-Looking Airborne Radar)를 기준으로 전기체 단위 시뮬레이션을 수행하여 결빙 증식에 따른 영향성을 평가하였다. Sebena Technics[15]는 Beech-350 항공기에 Infrared Sensor Turret을 부착한 뒤 FENSAP-ICE를 활용하여 45분간 CM 결빙 조건에 노출시켜 결빙 유무에 따른 공기역학적 안정성 계수를 비교하였고, 그 결과 Local Drag는 1.5% 미만으로 증가하는 데 그치고 결빙 발생 시에도 전반적인 공기역학 특성에는 큰 영향이 없음을 확인하였다. Dow 등[16]은 RC-26B 항공기에 SATCOM 안테나와 FLIR(Forward-Looking Infrared) 센서를 장착한 경우를 대상으로 FENSAP-ICE를 활용해 결빙 해석을 수행하였다. 국내에서는 Jo[17] 등이 항공기 대기자료 시스템(피토관)에 대해 FAA 14 CFR Part 25 Appendix C를 기반으로 결빙 증식 해석을 수행하고, 이를 통해 운용 환경에서의 방빙 시스템 성능을 평가하였다.
이러한 연구들은 SLAR, Infrared Sensor Turret, 피토관 등 외부 부착장비에만 국한되어 결빙 해석을 진행하였다. 그러나, 항공기 생존장비 중 하나인 DIRCM에 관련한 결빙 영향성 분석을 조건에서 다룬 사례는 다소 부족한 상황이다. 따라서 본 연구는 국내 대기조건에서 중형 수송기에 장착된 DIRCM의 결빙으로 인한 영향성을 분석하는 데 목적을 두고 있다. 이를 위해 FAA Appendix C에 제시된 결빙 인증 조건을 기반, 국내 대기 환경에서 발생할 수 있는 DIRCM의 결빙 현상을 대상으로 총 6가지 전산 해석을 수행하고 그 중 DIRCM의 운용 관점에서 위험성을 평가하여 극악 조건(Worst Case)를 도출하였다. 해석 결과를 토대로 DIRCM에 미치는 결빙 영향성을 해석 조건 및 형상 조건별로 비교 및 분석하여, DIRCM의 결빙으로 인한 성능 저하 방지 방안 마련 및 극한 환경에서의 성능 안전성 확보에 기여하고자 한다.
2. 전산해석 기법
2.1 유동 해석(Air Solver)
ANSYS FENSAP 2023 소프트웨어를 활용하여 본 연구의 유동 해석을 수행하였다. 결빙 증식 전산 해석을 위한 첫 단계로, 액적 거동을 포함하지 않은 유동장 해석을 우선적으로 진행하였으며 이 결과는 결빙 영향성 분석을 위한 기초 데이터로 사용됐다. 또한 액적 분포와 결빙 현상에 대한 정밀한 해석을 위해 열 유속과 열전달 계수를 적절히 예측하는 것이 필수적이다. 이를 위해, 본 연구에서는 압축성 및 점성 효과를 고려한 3차원 압축성 Reynolds-Averaged Navier-Stokes (RANS) 방정식을 적용했다. 관련 지배방정식은 아래 식들과 같이 정의된다.
사용된 수식에서 속도, 압력, 밀도는 각각 , , 𝜌, 그리고 열전도도, 온도, 난류에 의한 열전도도, 엔탈피, 점성 응력, 난류 항은 각각 ,, , , , 로 나타내었다. 본 연구에서는 압력 기반 접근법을 적용하여 정상 유동 상태 해석을 수행하였다. 주요 수치 해석 기법으로는 2차 풍상차분법과 내재적 시간 전진법을 활용하였다. 비점성 플럭스 계산에는 Riemann 근사해법 중에 하나인 Roe-FDS를 사용하였다. 난류 모델링에는 계산 효율이 높고 계산 시간 소모가 적어, 공기 유동, 액적장과 연계된 복잡한 결빙 해석에 주로 사용되는 Spalart-Allmaras 모델을 사용하였다.
2.2 액적 충돌 해석 기법(Droplet Solver)
액적 충돌 해석을 위해 ANSYS FENSAP-ICE의 DROP3D 모듈을 사용하였다[18]. DROP3D에서 사용된 액적 충돌 과정은 Bourgault 등이 제시한 특정 Eulerian 공식에 기반하며, 이는 분산된 액적 상의 연속 방정식 및 운동량 방정식을 나타내는 편미분 방정식으로 산출된다[19].
위 식에서 𝛼는 액체의 체적비(Volume Fraction)를 의미하며, 는 각각 액적, 공기의 속도를, 는 각각 공기와 물의 밀도를 의미한다. 또한, , , 는 각각 Froude Number, 항력 계수, 액적 관성 매개변수를 나타낸다. 운동량 방정식 (5)에서 우변 첫 번째 항은 액적에 작용하는 Drag Force를 나타내며, 이는 상대적인 액적 속도와 항력 계수, 레이놀즈수에 비례하고 액적 관성 매개변수에 반비례한다. 식 (5)의 우변의 두 번째 항은 Buoyancy Force와 Gravity Force를 의미한다. 는 아래의 식들과 같이 구 형태로 가정한 액적의 Empirical Drag Coefficient를 나타낼 수 있다.
또한 위 식에서 액적에 관한 레이놀즈수와 K, Buoyancy Force 와 Gravity Force를 의미하는 Froude Number는 아래의 식과 같이 같이 정의된다.
이 식에서 𝜇는 공기 동점성(Dynamic Viscosity), 는 액적 지름을 나타낸다.
액적 충돌 방정식을 계산한 후 아래의 식과 같이 액적이 표면에 부착되는 비율을 나타내는 축적률(Collection Efficiency)을 계산할 수 있다.
여기서 𝛽는 축적률, 는 고체 표면의 법선벡터를 나타낸다. 축적률은 액적이 표면에 충돌한 후 실제로 벽면에 부착되어 결빙 증식이 발생하는 물리적 과정을 설명하는 데 중요한 역할을 한다. 이러한 축적률은 연속 방정식과 에너지 방정식에 적용되어 결빙 현상을 정량적으로 분석하고 이해하기 위한 기본 매개변수로 사용된다.
2.3 결빙 증식 해석 기법(Ice Solver)
본 연구에서는 액적 충돌 해석 결과를 기반로 ANSYS FENSAP-ICE 패키지의 ICE3D 모듈을 활용하여 결빙 증식을 시뮬레이션하였다. 이 방법론은 Messinger 모델에 기초하며, 3차원 편미분 방정식 형태의 결빙 증식 방정식을 사용하여 액적이 물체 표면에 부착되고 결빙되는 과정을 모사한다[18].
여기서 는 공기 중의 전단응력을, 는 물의 동적 점도를 나타낸다. 액적이 물체 표면에 충돌한 후 얼음으로 변하는 과정은 수막(Water Film) 두께에 대한 질량 보존과 에너지 보존 원리를 통해 설명될 수 있다. 이러한 과정은 물리적 현상을 해석하기 위해 아래의 편미분 방정식들로 기술된다[20].
여기서 , , 는 각각 증발 잠열, 승화 잠열, 융해 잠열로 물의 열역학적 성질을 나타내며, , , 는 각각 물의 밀도, 물의 비열, 얼음의 비열을 나타낸다. 고체 방사율은 𝜀, 온도는 , 볼츠만 상수는 𝜎(), 증발 Mass Flux는 , 자유류의 속도는 , 착빙 Mass Flux는 로 정의된다. 공기 유동의 전단응력 과 대류 Heat Flux 은 Air Solver을 통해 계산되며, 액적의 축적률 𝛽과 액적 충돌 속도는 DROP3D을 사용하여 도출된다.
식 (13)의 우변 세 번째 항은 액적 충돌로 인한 질량 전달과 증발 및 착빙 과정에서의 물질 이동을 나타낸다. 또한, 에너지 방정식을 나타내는 식 (14)의 우변 첫 세 항은 각각 과냉각 액적이 부착될 때 발생하는 열전달, 증발로 의한 열 손실, 그리고 착빙 과정에서 발생하는 열전달을 설명한다. 추가적으로, 나머지 항들은 각각 복사와 대류에 의한 열전달, 결빙 보호 장치에서 발생한 열을 표현한다. 마지막 항은 결빙 보호 장치를 포함하는 고체 영역(Solids)과 과냉각된 액적 및 공기를 포함하는 유체 영역(Fluids) 간의 열 상호작용을 나타낸다. 본 연구에서는 Heat Source를 포함하는 결빙 보호 장치가 존재하지 않으므로, 대류 열전달이 발생하지 않는 것으로 간주하여 해당 항을 0으로 설정하였다.
반면 Rime Ice는 액적이 표면에 부착됨과 동시에 급속하게 결빙이 진행되므로 에너지 방정식을 적용하지 않으며, 보다 단순화된 형태의 연속 방정식으로 표현된다[21].
여기서 는 얼음의 밀도, 는 얼음의 두께를 나타낸다.
ANSYS FENSAP-ICE 2023은 선행 연구[22,23]에서 활용된 바 있으며 해당 연구에서는 NASA Lewis Research Center에서 수행된 결빙 풍동 시험 데이터를 기반으로 FENSAP-ICE의 전산 해석 결과를 비교 검증하였다. 또한, NASA Glenn Icing Research Tunnel에서 진행된 GLC-305 Swept Wing 결빙 풍동 시험 데이터와 FENSAP-ICE를 활용한 전산 해석 결과를 비교하여 추가적인 검증을 수행하였다. NACA 0012 모델을 사용한 NASA Lewis Research Center 결빙 풍동 시험과의 검증 결과 최대 Ice Thickness 및 Ice Horn 형성 높이 측면에서 결빙 풍동 시험 데이터와 약 8% 미만의 유사한 경향을 보였다. NASA Glenn Icing Research Tunnel GLC-305 풍동 시험 사례에서는 최대 Ice Thickness 오차가 약 2% 미만임을 확인하였다. 이러한 검증 과정을 통해 FENSAP-ICE의 결빙 해석 성능과 신뢰성을 입증하였다.
3. 전산해석 격자 생성 및 조건
3.1 형상 및 경계조건
본 연구에서 C-130 등의 전형적인 군용 중형 수송기를 고려하였다. Fig. 2는 형상을 단순화하여 모델링한 중형 수송기와 후방에 설치된 DIRCM의 CATIA 형상을 보여준다. 결빙 영향성 분석을 위한 전산 해석 격자는 Fig. 3와 같이 나타내었으며 비정렬 격자 약 2,500만 개로 구성하였다. Far Field의 격자 크기는 중형 수송기 주 날개의 Mean Chord Length의 약 30배로 설정하였다. 첫 번째 층 격자의 높이는 y+~1을 충족하도록 구성하였으며 Boundary Layer 격자층은 30층으로 설정하였다. 격자의 경계 조건으로는 Velocity Inlet을 기체 앞 부분에 설정하였고 유동이 올바른 방향으로 진행할 수 있도록 기체 뒷 부분 방향에 Pressure Outlet을 설정하였다. 중형 수송기 표면과 DIRCM 표면에는 Wall Condition을 적용하였다.
3.2 해석 조건
FAA CFR 14 Part 25 Appendix C는 미국연방 항공청 Federal Aviation Administration (FAA)의 감항 인증 표준으로 최대이륙중량(Maximum Take Off Weight)이 19,000 lbf 이상의 민항기에 대한 감항 인증 기준을 제공한다. 이는 전산 해석 및 시험을 통해 결빙이 우려되는 비행 영역에서 최대 45분 동안 항공기가 정상적으로 운항할 수 있음을 입증해야 하는 것을 의미한다[24].
Appendix C에서 고려하는 결빙 관련 기상 조건에는 MVD, LWC, 온도 등이 포함된다. 또한, Appendix C에서 정의된 결빙 발생 범위는 일반적으로 LWC 0.2 ~ 3.0 g/m3, 온도 0°C ~ -30°C 사이에서 형성되는 것으로 규정되어 있다. MVD는 구름의 형태에 따라 발생 범위가 달라지며, 층운형 구름(Stratiform Cloud)과 적운형 구름(Cumuliform Cloud)에서 각각 다른 범위의 값을 가진다. 층운형 구름의 경우 15 ~ 40 μm, 적운형 구름의 경우 15 ~ 50 μm 범위의 액적 크기를 나타낸다. 중형 수송기에 장착된 DIRCM의 결빙 영향성을 분석하기 위해, 결빙 증식이 크게 발생하여 DIRCM의 성능 저하가 두드러질 것으로 예상되는 Appendix C의 Continuous Maximum (CM) 조건을 기반으로 해석 조건을 총 6가지의 Case를 Table 1과 Fig. 4와 같이 선정하였다. 또한, 중형 수송기가 순항 상태에서 45분 동안 액적이 포함된 층운형 구름을 통과하는 상황을 가정하여 해석 조건을 설정하였다. 본 연구에서 CM 조건을 기반으로 해석된 데이터를 바탕으로, 추후 Intermittent Maximum (IM)조건을 설정하여 추가 연구를 진행할 예정이다.
Table 1.
Icing conditions for computational simulation
먼저 Case 1, 2, 3은 MVD의 차이를 확인하기 위해 20 μm으로 설정하였고, Case 4, 5, 6은 40 μm로 설정하였다. 그리고, 얼음 형상에 대해 영향성을 분석하기 위해 주변 대기 온도의 차이를 두어 각각 Case 1, 2, 4, 5는 Glaze Ice Condition, Case 3, 6은 Rime Ice Condition으로 조건을 설정하였다. 각 Case의 액적 충돌 해석은 Langmuir D 분포도를 적용하여 진행하였으며, 실제 중형 수송기에 부착된 DIRCM의 표면에 액적과 이물질 등이 부착될 수 있음에 Surface Roughness를 0.0005 m로 설정하여 결빙 증식 해석을 수행하였다. 중형 수송기의 임무 프로파일에서 Cruise 상태(속도 120 m/s)의 비행을 하는 상황을 가정하였고 결빙 증식 해석은 Single-Shot으로 진행하였다.
4. 전산해석 결과
4.1 유동장 해석 결과
중형 수송기에 장착된 DIRCM의 액적장 해석을 수행하기에 앞서, 액적이 존재하지 않는 상태에서 유동장 해석을 선행적으로 진행하였다. 유동장 해석은 중형 수송기의 임무 프로파일 중 Cruise 상태를 기준으로 수행하였다. Fig. 5는 유동장 해석 결과를 시각화한 것으로 중형 수송기 표면의 압력 계수 분포 및 유선 패턴을 나타낸다. Fig. 5의 좌측 그림에서는 동체 표면의 평균적인 압력 계수가 0에 가깝게 분포되어 있음을 확인할 수 있다. 그러나 Nose 부분, 주 날개 앞전, 프로펠러 엔진 나셀 앞부분에서 약 0.41 수준으로 상대적으로 높은 압력이 형성되어 있는 것을 알 수 있다.
Fig. 5의 우측 그림은 DIRCM 광학창의 압력 계수 분포와 유선 패턴을 시각적으로 나타낸다. 분석 결과, 광학창 전면부 에서는 약 0.54로 주변보다 높은 압력 계수를 보였으며 이는 유동이 전면부에 직접적으로 충돌한 결과로 해석된다. 유선 추적 결과, 광학창 후방 영역에서는 후류 형성으로 인해 와류가 발생하는 경향이 관찰되었다. 액적은 유체보다 상대적으로 큰 관성을 가지므로 유동장의 흐름과는 차이를 보이며 직진하려는 경향에 따라 곡선 유선을 이탈하여 표면과 충돌하는 특성을 나타낸다. 이러한 특성으로 유동에 의해 형성된 곡률 변화나 압력 증가 구간에서 액적이 표면에 충돌 및 부착될 가능성이 높아진다. 특히, 압력이 높은 Nose 부분, 날개 앞전, 그리고 DIRCM 광학창 전면부에서는 액적 부착이 집중적으로 발생할 가능성이 높을 것으로 예측된다.
4.2 액적장 해석 결과
중형 수송기의 순항 조건을 기반으로 수행된 유동장 해석 결과를 활용하여, DIRCM 표면에서의 액적 충돌 해석을 진행하였다. 해석은 중형 수송기에 장착된 DIRCM의 LWC 분포와 Collection Efficiency 분포를 중심으로 진행되었다. LWC는 공기 중 액적의 농도를 나타내는 변수이고 Collection Efficiency는 표면에 도달한 액적의 비율을 나타내는 변수로 결빙 환경에서의 액적 분포 해석에 함께 활용된다. 두 값은 서로 밀접한 상관관계를 가지며, 결빙 증식 분석에 중요한 역할을 한다.
Fig. 6은 각 Case별 LWC 분포를 분석하기 위해 동체에 장착된 DIRCM을 중심으로 시각화한 결과를 나타낸다. LWC 조건이 높게 주어진 Case 1, 2, 4에서는 0.0004 ~ 0.0014 kg/m3 수준의 비교적 높은 LWC 분포가 나타난 반면, 낮은 LWC 조건이 적용된 Case 3, 5, 6에서는 0.0004 kg/m3 이하로 낮은 분포를 보였다. 20 μm 조건인 Case 1, 2, 3에서는 액적 크기가 작아 유동을 따라 흐르며 동체로 인해 형성되는 Droplet Shadow Zone의 범위가 좁게 나타났다. 그 결과, DIRCM 광학창 전면부의 절반 이상이 액적의 영향권에 포함되는 것으로 분석되었다. 반면 40 μm 조건 Case 4, 5, 6에서는 MVD 증가로 관성력이 커져 액적이 유선을 이탈하며 DIRCM을 보호하는 Fairing에 직접 충돌해 Droplet Shadow Zone이 넓게 나타났다. 따라서 광학창이 액적 유동의 직접 영향을 받는 영역은 상대적으로 좁게 나타났다.
Fig. 7은 각 Case별 Collection Efficiency 분포를 시각적으로 나타낸다. 분석한 결과, LWC가 높은 영역에서 Collection Efficiency도 높은 경향을 확인할 수 있었다. Case 1, 2, 3에서는 광학창 전면부에서 LWC가 높게 나타났으나, Collection Efficiency는 0.6 ~0.8 수준으로 상대적으로 낮았다. 이는 작은 액적이 유선 흐름 특성상 표면 전체에 넓게 분포되지만, 부착 효율은 상대적으로 감소하기 때문으로 해석된다. 반면 Case 4, 5, 6에서는 LWC가 상대적으로 낮았으나, Collection Efficiency는 광학창 전면부 기준 0.8~0.9로 높게 나타났다. 이는 큰 액적의 관성력이 증가하면서 광학창 전면부에 집중적으로 부착되는 원인으로 판단된다.
Fig. 8은 DIRCM를 항공기 진행 방향의 옆쪽에서 바라본 절반 단면 기준으로 Collection Efficiency를 수치적인 그래프로 나타낸 것이다. MVD가 같은 조건들끼리 비슷한 경향성을 나타냈으며, 특히, MVD가 상대적으로 큰 40 μm 조건인 Case 4, 5, 6은 20 μm 조건보다 Collection Efficiency가 x축 기준으로 전체적으로 크게 나타난 것을 확인하였다.
4.3 결빙 증식 해석 결과
Fig. 9는 이전에 수행된 액적장 해석 결과를 바탕으로, 각 Case 별 중형 수송기에 장착된 DIRCM 표면과 광학창에서의 결빙 증식 해석을 진행 방향 옆에서 시각화한 결과를 나타낸다. DIRCM의 특성상 광학창 후면부에 결빙이 발생할 경우, 레이저(Laser) 방사 방향에 심각한 영향을 미칠 가능성이 높아 본 분석에서는 후면부 결빙을 중심으로 비교하였다. 분석 결과, 주변 대기 온도가 0°C인 Case 1, 4에서는 공력 가열로 인해 기체 표면 온도가 액적의 어는점 이상으로 상승함에 따라 결빙 증식이 발생하지 않았다. 반면, 음의 온도 조건인 Case 2, 3, 5, 6에서는 Collection Efficiency 분포가 높은 영역인 광학창 전면부에서 명확한 결빙 증식이 관찰되었다. 특히 Glaze Ice 조건에 가까운 Case 2에서는 결빙이 광학창 후면부까지 확장되는 경향을 보였다.
후면부의 결빙 증식 영향성을 면밀히 관찰하기 위해 중형 수송기 진행 방향 뒤쪽 시점에서 각 Case 별로 결빙 형상 비교 분석을 진행하였다. 각 Case에 대한 분석 결과, Fig. 10과 같이 Case 1, 3, 4, 5, 6에서 DIRCM의 광학창 후면부에 결빙 증식이 발생하지 않은 것을 확인하였다. 이는 해당 조건에서 액적이 광학창 후면부로 충분히 도달하지 못했거나, 도달한 액적이 결빙 임계 조건을 충족하지 못했음을 의미한다.
반면, Case 2에서는 DIRCM 광학창 후면부 표면의 절반 이상에서 결빙이 집중적으로 발생하였다. 이는 Glaze Ice 조건의 비교적 높은 온도에서 액적이 전면에 부착된 직후 바로 결빙되지 않고 후면부까지 흐른 뒤 Fig. 5 우측에 나타난 와류 형성 영역과 결합되어 액적이 축적된 결과로 판단된다.
Case 2에서 발생한 후면부 결빙은 DIRCM의 신호 방사 방향에 직접적인 영향을 미칠 가능성을 시사한다. 이는 다른 Case에 비해 결빙 증식으로 인한 신호 투과 성능 및 광학창 기능 저하 우려가 크다는 점을 나타낸다. 따라서, 국내 대기조건에서의 정상적인 운용에 대한 위험성을 고려하여 Case 2를 Worst Case로 선정하였다.
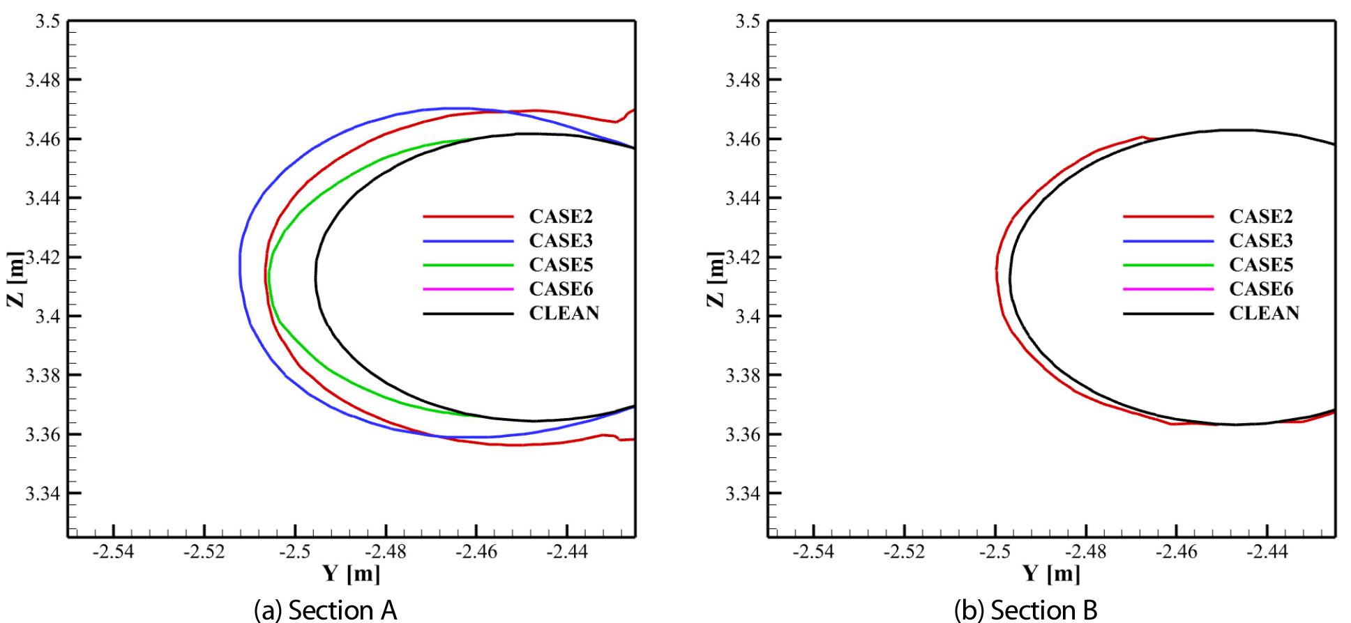
DIRCM의 광학창을 진행방향 기준 옆에서 바라보았을 때, Fig. 11과 같이 전면부 중심, 후면부 중심으로 Section A, B로 단면을 나누어 결빙의 두께의 영향성을 분석을 진행하였다. Fig. 11에서 나눈 단면을 바탕으로, Fig. 12에 Section A와 B의 결빙 형상 단면을 그래프로 나타내었다.
Fig. 12는 결빙 증식이 발생한 Case 2, 3, 5, 6의 Section A, B에서 결빙 형상 단면을 나타낸다. 광학창의 전면부를 나타내는 Section A의 경우, Case 2, 3에서 상대적으로 두꺼운 얼음 형상이 증식되었음을 확인하였으며, Case 6에서는 표면에 형성된 결빙이 그래프 상에서 육안으로 확인하기 어려울 정도로 매우 얇은 필름 형태로 도포된 것을 확인하였다. 후면부를 나타내는 Section B의 분석 결과, Case 2를 제외한 모든 Case에서 결빙이 관찰되지 않았다. 이는 광학창 후면부에서의 결빙 증식이 Worst Case인 Case 2에 의해서만 유의미하게 발생했음을 의미한다.
Fig. 13은 DIRCM의 광학창 후면부에 결빙이 발생한 유일한 조건(Worst Case)인 Case 2를 기반으로, 노출 시간을 각각 4.5분, 22.5분, 45분으로 나누어 결빙 증식 면적 비율을 시각화한 결과이다. 사전에 Multi-Shot 방식과 Single-Shot 방식을 노출 시간별로 비교한 결과, 결빙 증식 면적의 비율 차이는 2% 미만으로 나타났다. 이에 따라 계산 효율성과 해석 자원 소모를 고려하여 Single-Shot 방식을 적용하여 비교 분석을 수행하였다. Table 2는 각 노출 시간별 전면부와 후면부의 결빙 면적 비율을 수치적으로 나타낸 결과로 전면부와 후면부의 결빙 면적 변화 추이를 보여준다. 두 결과 분석 자료는 DIRCM 광학창 표면에 발생한 결빙 증식 면적만 고려하여 비율을 나타내었다.
Table 2.
Comparison of area ratios of ice accretion on DIRCM (case 2)
분석 결과, 노출 시간이 증가함에 따라 후면부의 결빙 면적 영역은 비슷항 경향을 나타내지만, 그 비율은 점진적으로 증가하는 경향을 보였다. 4.5분 노출 시 후면부 결빙 면적 비율은 76.52%, 22.5분 노출 시에는 77.06%, 45분 노출 시에는 78.41%로 증가하였다. 전면부의 경우 모든 노출 시간에서 결빙 면적 비율이 100%로 나타났으며, 이는 결빙 노출 시간에 상관없이 전면부 표면 전체가 결빙 증식이 발생하는 것을 의미한다. 총 결빙 면적 비율은 4.5분 시 88.26%, 22.5분 시 88.52%, 45분 시 89.21%로, 노출 시간이 증가할수록 결빙 면적이 전체적으로 증가하는 경향을 보였다. 추가적으로, 결빙 노출 시간이 증가함에 따라 결빙 형상의 두께가 점점 두꺼워지는 경향성을 확인하였다. 4.5분 노출 시 평균 결빙 두께는 약 0.49 mm로 얇은 필름 형태의 결빙 형상이 나타났고, 22.5분 노출의 경우, 약 2.91 mm, 45분 노출의 경우 약 6.31 mm로 나타나며, 구간마다 약 두 배 이상 결빙 두께가 두꺼워지는 것을 확인하였다. 이 결과는 Case 2에서 후면부 결빙이 특정 시간 이상 지속될 경우, 결빙 면적뿐 아니라 두께도 유의미하게 증가할 가능성을 시사하며, 방·제빙 시스템 설계 시 전면부뿐 아니라 후면부의 결빙 제어 대책이 고려되어야 함을 뒷받침한다.
4.4 구조물 형상에 따른 결빙 영향성 비교 분석
DIRCM의 광학창 후면부 결빙 증식을 완화하기 위한 방안으로, 광학창 앞부분에 결빙 방지 구조물을 설계하여 결빙 영향성을 분석하였다. 설계된 구조물은 DIRCM를 보호하는 Fairing의 곡률에 맞게 형상을 설계하였으며, 높이는 광학창의 절반 높이인 50mm와 광학창 높이와 동일한 100mm의 두 가지 형태로 설계하였다. 해석은 Clean(구조물이 없는 상태), 50mm 구조물, 100mm 구조물의 총 세 가지 조건을 Case 2의 결빙 증식 조건에서 비교 분석하는 방식으로 진행되었다. 결빙 방지 구조물은 DIRCM 표면으로 유동이 직접적인 영향을 받지 않도록 설계되었으며, 이를 통해 광학창 후면부로의 액적 도달과 결빙 증식을 효과적으로 저감할 수 있는지 확인하였다. Fig. 14는 설계된 결빙 방지 구조물의 형상을 시각적으로 나타내었다.
Fig. 15는 구조물 형상에 따른 세 가지 조건에서의 속도 분포와 유선 흐름을 시각화한 결과를 나타낸다. 구조물이 없는 Clean Case에서는 유선이 DIRCM 광학창 전면부에 직접 도달하는 흐름 구조가 나타났다. 구조물 높이가 50 mm인 조건에서는 일부 유동이 광학창 상단에 영향을 주는 반면, 하단부는 구조물에 의해 유동이 차단되는 양상을 보였다. 구조물 높이가 광학창과 동일한 100 mm인 경우, 광학창 전면으로 유입되는 유동은 완전히 차단되었으며, 구조물과 광학창 사이에서는 강한 와류가 형성되었다. 이러한 와류 형성은 DIRCM 장비에 진동을 유발할 수 있으며 이로 인해 구조적 안정성 저하 가능성이 존재함을 시사한다.
Fig. 16은 형상 조건에 따른 LWC 분포를 나타내며 각 조건에서 Droplet Shadow Zone의 형성 여부를 시각적으로 확인할 수 있다. Clean Case에서는 유동 흐름이 DIRCM 광학창 전면에 직접 도달함에 따라 액적이 충돌할 가능성이 높게 나타난다. 반면, 구조물의 높이가 50 mm에서 100 mm로 증가함에 따라 Droplet Shadow Zone의 범위가 확장되며 액적이 광학창에 직접 도달하지 못하고 차단되는 양상이 뚜렷하게 나타난다. 이러한 결과는 구조물 형상이 액적 충돌을 효과적으로 방지하는 데 기여함을 보여준다.
Fig. 17는 각 구조물 설계 조건에 따른 결빙 증식 전산 해석 결과를 나타낸다. Clean Case에서는 기존 Case 2 결과와 동일하게 광학창 후면부에 결빙 증식이 발생한 것을 확인하였다. 구조물 높이가 50 mm인 경우, 결빙 증식은 광학창 높이의 약 절반 이상에 해당하는 영역에서 발생하였다. 이는 구조물이 광학창 전면부 아래로 유입되는 직접적인 액적 유동을 차단하는 역할을 수행한 것으로 분석된다. 하지만, 광학창 하단에서 약간의 결빙 증식이 퍼져 있는 모습은 후류로 인한 유동 정체가 여전히 존재함을 나타내며, 해당 영역, 전면부에서 결빙 가능성이 일부 남아 있음을 보여준다. 그러나 후면부에서는 결빙 증식이 발생하지 않는 것으로 확인되었다.
특히, 구조물의 높이가 100 mm인 경우, DIRCM 광학창의 전면과 후면 모두에서 결빙 증식이 전혀 발생하지 않았다. 이는 구조물이 광학창 전면을 완전히 보호하며 Fig. 16에서 나타난 바와 같이 액적 유동이 광학창 주변으로 유입되지 않도록 효과적으로 차단한 결과로 해석된다.
Fig. 18은 결빙 방지 구조물을 적용했을 때 DIRCM 광학창 후면부의 결빙 증식 영역 및 면적 비율을 중형 수송기 진행 방향 뒤쪽에서 시각화한 결과이다. 기존 Case 2 기반 Clean Case에서 후면부 비율은 76.52%였으나, 구조물이 적용된 경우에는 50 mm와 100 mm 구조물 모두에서 후면부의 결빙 면적 비율이 0%로 나타나, 후면부에서 결빙 증식이 전혀 발생하지 않았음을 확인할 수 있었다. 이는 구조물의 높이가 광학창의 절반 이상으로 적용될 경우, 광학창 후면부로 유입되는 액적을 효과적으로 차단하여 결빙 방지에 매우 효과적인 대책임을 보여준다.
Table 3을 통해 DIRCM의 후면부 결빙 면적 비율과 더불어 전면부 및 전체 면적 관점에서 결빙 면적 비율을 정량적으로 분석하였다. Clean case와 비교했을 때, 광학창 전면부에서 50 mm 구조물을 적용한 경우 약 41%의 결빙 면적 비율이 감소하였으며, 100 mm 구조물은 100% 감소하였다. 후면부 결빙 면적 비율은 50 mm와 100 mm 구조물 모두에서 76.52%가 감소하며, 구조물이 후면부 결빙 억제에 있어 일관되게 효과적임을 확인하였다. 전체 결빙 면적 비율에서는 50 mm 구조물이 약 60% 감소, 100 mm 구조물이 약 88% 감소를 보이며, 구조물 높이가 증가할수록 결빙 방지 효과가 극대화됨을 보여주었다.
5. 결 론
본 연구에서는 중형 수송기의 순항 조건을 기반으로 FAA 14 CFR Part 25 Appendix C에서 제시된 결빙 인증 조건을 적용하여, 국내 대기조건에서 중형 수송기에 장착된 DIRCM 표면의 결빙 현상을 전산 시뮬레이션을 통해 분석하였다. 이를 위해 6가지 Case로 구분된 조건에서 결빙 증식 해석을 수행하고, DIRCM에 미치는 결빙 영향성을 정량적으로 비교 및 분석하여 국내 대기조건에서의 DIRCM 운용 위험성을 기준으로 Worst Case를 도출하였다. 또한, DIRCM 광학창 후면부의 결빙 증식을 완화하기 위해 높이 50 mm와 100 mm의 결빙 방지 구조물을 설계하여 각 형상 조건에서의 결빙 증식 억제 효과를 시뮬레이션을 통해 검토하였다.
유동 해석은 중형 수송기의 순항 조건을 적용하여 수행하였다. 액적 충돌 해석은 Case 1, 2, 3에서 20 μm, Case 4, 5, 6에서 40 μm의 MVD 조건을 부여하고, 각 MVD 조건에서 0°C, -5°C, -30°C로 온도를 설정하였다. LWC는 각 Case에 Appendix C의 Continuous Maximum (CM) 조건을 적용하여 액적장 해석을 진행하였다. 결빙 증식 해석은 Appendix C의 CM 조건을 기반으로, 45분 동안 층운형 구름에서의 운항을 가정하여 시뮬레이션을 수행하였다. 특히 레이더 방사 방향에 영향이 있는 광학창 후면부의 결빙 증식 영역 및 면적 변화를 중심으로 분석을 진행하였다.
결빙 증식 해석 결과 Case 1, 4는 공력 가열 효과로 인해 표면 온도가 액적의 어는점 이상으로 유지되었으며 이에 따라 결빙 증식이 발생하지 않았다. 반면, -5°C 및 -30°C의 저온 환경이 적용된 Case 2, 3, 5, 6에서는 광학창 전면부에서 명확한 결빙 증식이 관찰되었다. 특히 Case 2의 경우, 광학창 후면부까지 결빙이 확장되는 특징을 보였으며 후면부 결빙 면적 비율이 약 76.52%로 높은 값을 보여주었다. 이는 액적이 광학창 전면부에서 부착된 후, 유동의 흐름을 따라 후면부로 이동하면서 축적되는 와류 형성이 주요 원인으로 작용했기 때문으로 판단된다. 이를 통해 Case 2의 조건에서 DIRCM의 정상적인 운용이 다른 Case보다 어렵다고 판단되어 Worst Case로 선정하였다.
결빙 노출 시간에 따른 Worst Case인 Case 2의 후면부 결빙 면적 변화를 분석한 결과, 4.5분 노출 시 후면부 결빙 면적 비율은 76.52%, 22.5분에서는 77.06%, 45분에서는 78.41%로 시간이 지남에 따라 면적이 미미하게 증가하는 경향을 보였다. 이는 결빙 노출 시간이 증가하더라도 후면부에서의 결빙 면적은 상대적으로 일정한 경향을 유지하며 결빙이 특정 영역을 중심으로 증식됨을 의미한다. 반면, 결빙 두께는 시간이 지남에 따라 눈에 띄게 증가하는 것으로 나타났다.
DIRCM 광학창 후면부의 결빙 증식을 완화하기 위해 DIRCM 전면부에 50 mm 및 100 mm 높이의 결빙 방지 구조물을 설계하여 후면부에서 결빙이 발생하는 Case 2 조건을 기반으로 해석을 수행하였다. 분석 결과, 50 mm 구조물의 경우 후면부 결빙이 완전히 제거되었으나 전면부의 결빙 면적은 Clean Case 대비 약 41% 감소하였다. 이는 구조물이 일부 액적 유동을 차단하는 역할을 하지만 전면부 전체를 완전히 보호하는 데는 한계가 있음을 시사한다. 반면, 100 mm 구조물을 적용한 경우, 광학창 전·후면부에서 결빙 증식이 완전히 제거되었으며 결빙 면적 비율이 0%로 감소하였다. 이는 구조물이 광학창 표면으로 유입되는 액적 유동을 효과적으로 차단한 결과로 판단된다.
결빙 방지 구조물이 적용된 조건에서 전체 결빙 면적 감소율을 분석한 결과, 50 mm 구조물은 Clean Case 대비 약 60% 감소, 100 mm 구조물은 88% 감소하는 경향을 보였다. 이는 결빙 방지 구조물이 DIRCM 광학창의 결빙 완화에 있어 효과적인 설계적 요소임을 입증하며 특히 100 mm 구조물이 가장 이상적인 결빙 방지 성능을 제공하는 것으로 평가된다.
하지만 광학창 전면부 앞쪽에 구조물을 설치하는 방식은 기존 설계안을 변경해야 하는 요인이 되며 추가적인 구조적 안정성, 공력 성능, 무게 증가, DIRCM 작동범위 감소 등의 제약 사항을 고려해야 한다. 특히, 방빙 성능과 더불어 구조물 적용으로 인한 항공기 성능 저하 가능성과 유지보수 효율성을 동시에 고려한 설계안을 도출하는 것이 중요하다. 결빙 방지 효과를 극대화하며 기존 시스템과의 통합성을 유지할 수 있는 구조물에 대한 추가 연구가 필요하다. 또한 추가적인 구조적 개조 없이 적용 가능한 결빙 방지 대책에 대한 추가적인 분석이 필요할 것으로 판단된다.
본 연구 결과는 한국의 구름 분포 및 생존장비가 필요한 중형 수송기의 임무 기동을 고려한 결빙 발생 확률에 대한 분석과 DIRCM의 방빙 시스템 개발과 설계 최적화를 위한 기초 자료로 활용될 수 있다. 향후 실제 비행 환경에서 다양한 항공기 생존장비의 결빙 영향성 평가 및 효과적인 방빙 기술 적용을 위한 연구로 확장될 수 있을 것으로 기대된다.




















