1. 서 론
2. 수치해석 방법
3. 계산 영역 및 경계 조건
3.1 Delft twisted 11
3.2 NACA0012
4. 수치해석 결과
4.1 Delft twisted 11
4.2 NACA 0012
5. 결 론
1. 서 론
선박의 유기 소음이 해양 생태계에 악영향을 끼침에 따라 이를 억제하기 위한 국제 환경규제가 강화되고 있다. 프로펠러에서 발생하는 캐비테이션은 선박의 주요 소음원으로 이를 제어하기 위해서는 캐비테이션의 발생 및 소음 특성을 이해하는 것이 중요하다. 따라서 캐비테이션의 복잡한 다상 유동의 특성을 파악하기 위해 다양한 실험 및 수치해석 연구들이 활발히 수행되어오고 있다. Astolfi 등[1]은 프로펠러의 기본 형상이 되는 수중익에 대한 캐비테이션의 초생 및 성장을 실험을 통해 관찰하였으며, Dular 등[2]은 상용 유동해석 프로그램을 이용하여 캐비테이션 거동을 예측하고 실험적으로 평가하여 수치해석과 실험 간의 상관관계를 발표하였다. Leroux 등[3]은 캐비테이션 터널 내 위치한 2차원 수중익의 다양한 받음각에서의 특성을 수치해석을 통해 분석하였으며, Kim and Ahn[4]은 뭉뚝한 형상 뒤에서 발생하는 공동 유동의 주기적인 특성을 수치해석을 통해 파악한 바 있다. 최근에는 이러한 캐비테이션 연구의 발전과 함께 캐비테이션에 기인한 소음에 관한 연구들이 활발히 진행되고 있으며, 국제해사기구의 환경규제로 더욱 관심이 높아진 상황이다. Lee 등[5]은 3차원 수중익에 대한 캐비테이션 소음 계측 시험 방법을 제시하고, 캐비테이션의 형태와 공동 수 등 조건에 따른 소음 특성을 발표하였다. Ku 등[6]과 Hwang 등[7]은 수치해석을 통해 공동 유동에 따른 소음을 예측하는 연구를 수행하였으며, Kim 등[8]은 난류 모델에 따른 캐비테이션 유동의 소음을 수치해석적으로 연구하였다.
캐비테이션의 발생 거동을 예측하고 분석하는 연구도 중요하지만 이와 더불어 캐비테이션으로 인해 발생하는 소음 및 침식 문제를 해결하기 위한 연구도 필요하다. 이러한 연구 중 하나인 복합소재를 이용한 유연 프로펠러는 캐비테이션 발생 정도를 감소시킬 뿐만 아니라 소음에 대한 감쇠 효과가 있는 것이 입증된 바 있다[9]. 이러한 해석을 위해서는 구조적 변형을 고려한 유체-구조 연성 해석이 필수적이다. 이에 본 연구에서는 해당 연구를 진행하기에 앞서 구조적 변형이 없는 상태의 공동 유동 특성을 분석하고, 이로 인한 소음 특성을 규명하는 것을 목표로 하였다. 연구는 프로펠러 형상의 기본이 되는 수중익에 대해 수행하였으며, 먼저 상용 유동해석 프로그램을 이용하여 Delft Twisted 11 수중익에 대하여 수치해석을 수행하고 기존 실험[10] 및 수치해석 연구 결과[7]와 비교하였다. 이를 통해 난류 수치 모사 기법 및 격자 등 수치해석 기법의 적합성을 검증하였으며 이를 기반으로 2차원 NACA 0012 수중익에서의 비정상 공동 유동 발생 특성과 주기적 거동을 예측하였다. 또한, 수중익의 연직 상방에서 계측한 변동압력을 주파수 대역에서 분석하여 공동 발생에 따른 소음 특성을 확인하였고 이를 기존 실험 결과[11]와 비교하여 수치해석 결과를 검증하였다.
2. 수치해석 방법
본 연구에서는 터널 내 위치한 수중익 주변에서 발생하는 공동 유동의 특성을 파악하고 예측하기 위해 상용 유동해석 프로그램인 STAR-CCM+ ver.13.06.을 이용하여 수치해석을 수행하였다[12]. 난류 수치 모사 기법은 RANS(Reynolds Averaged Navier-Stokes)와 LES(Large Eddy Simulations)을 이용하여 계산을 진행하였으며, 먼저 RANS의 경우, 연속 방정식과 지배방정식은 아래 식 (1), (2)와 같다.
여기서 ρ는 밀도, u는 유속, p는 압력, μ는 점성계수, 는 레이놀즈 응력 항을 나타낸다. 수치해석을 위한 난류 모델은 SST K-Omega를 이용하였다. 다음 식 (3)은 LES에 대한 공간 필터링 된 지배방정식을 나타내며 이때, 해결되지 않는 아격자 규모 응력 텐서 τij는 WALE 모델을 적용하여 계산하였다.
캐비테이션 발생으로 인한 기체와 액체가 동시에 존재하는 다상 유동 해석을 위해 VOF(Volume Of Fluid) 법을 적용하였으며, 실질적인 캐비테이션의 거동을 모사하기 위해 Schnerr–Sauer 캐비테이션 모델[13]을 이용하였다.
해당 모델은 Rayleigh-Plesset 방정식에서 기포의 성장 가속, 점성 효과 및 표면 장력 효과의 영향을 무시한 형태로 식 (4), (5)와 같이 정의된다. 해당 식에서 𝛼는 체적분율(volume fraction)을 의미하고, 과 는 물과 증기를 의미한다. 또한 는 기포의 반경, 와 는 각각 소스 항에서의 기포의 기화(evaporation)와 응축(condensation)을 각각 의미한다. 지배방정식의 시간 차분, 대류항, 확산항은 2차 수준의 정확도로 암시적 방법(implicit method)을 적용하여 계산하였으며, 해석 과정에서 속도와 압력의 연성을 계산하기 위해 SIMPLE(Semi-Implicit Method for Pressure-Linked) 알고리즘을 이용하였다.
3. 계산 영역 및 경계 조건
3.1 Delft twisted 11
해석 기법에 관한 검증 단계로 Delft twisted 11 수중익에 대한 계산을 앞서 수행하였다. 수중익의 단면은 NACA 0009의 형상을 기반으로 하여, 중간 부분에서는 받음각이 9도, 양 끝에서는 -2도를 갖는다. 또한, 중심을 기준으로 스팬 방향으로 대칭이며, 코드와 스팬 방향 길이는 각각 150 mm, 300 mm 이다. 해석 영역인 터널의 크기는 길이 방향으로는 코드 길이의 9배로 기존 수치해석 연구(Hwang 등[7])를 참고하였으며, 높이와 폭은 코드 길이의 2배로 실험 연구(Foeth[10])와 동일하다. 또한, 해석 시간 절감을 위해 스팬 방향으로 대칭 조건을 이용하였으며, 터널의 앞쪽을 유입 면, 뒤쪽은 유출 면으로 정의하였다. 터널 벽면의 경우 점착 조건(non-slip condition) 적용 시, 터널 벽면이 서로 교차하는 부분과 벽면과 날개가 만나는 지점에서의 격자 모사 수준이 현저히 감소하여 공동의 발달 정도에 영향을 미쳤으며, 미끄럼 벽 조건(slip condition)을 적용 시 공동의 형상이 실험과 더 유사하게 구현됨에 따라 터널 벽면은 미끄럼 조건을 적용하였다(Fig. 1). 또한, 물성치 및 세부 계산 조건은 Table 1과 같으며, 비교 실험(Foeth[10]) 조건과 동일하게 하였다.
Table 1.
Material properties used in validation simulations
| Water | Vapor | |
| Density[kg/m3] | 998.0 | 0.023 |
| Dynamic Viscosity[Paㆍs] | 9.21×10-4 | 9.00×10-6 |
| Saturation Pressure[Pa] | 2,970 | - |
| Pressure[Pa] | 28,900 | |
| Velocity[m/s] | 6.97 | |
| Cavitation Number | 1.07 | |
3.2 NACA0012
터널 내 위치한 2차원 수중익은 NACA 0012 형상을 가지며, 코드와 스팬의 길이는 각각 100 mm로 동일하다. 해석 영역인 캐비테이션 터널의 폭과 높이는 코드 길이와 같고 길이 방향으로는 코드 길이의 14배에 해당하며, 이는 기존 실험 논문(Ahn 등[11])의 제원을 참고하였다. 또한 해석 시간의 절감을 위해 대칭 조건을 이용하였으며, 경계조건은 앞선 검증 조건과 유사하게 구성하였다(Fig. 2).
추가로 터널에는 압력센서 2개를 배치하였다. P2는 수중익 중심으로부터 x축 방향 –315 mm 떨어진 위치에 존재하며, 공동수를 특정하기 위한 압력센서로 실험과 같은 위치에 배치하였다. 또한, 압력센서 P0는 수중익 중심의 연직 상방에 있으며, 시간에 따른 변동압력 측정을 목적으로 한다. 측정된 변동압력은 FFT를 통해 주파수 특성 및 소음 예측에 이용된다. 계산 조건은 받음각이 7도로 고정되고, 공동 조건 3개, 비공동 조건 1개로 하였다. 모든 계산 조건은 레이놀즈수(Rn)와 공동 수(σ)를 기준으로 실험과 동일하게 하였으며, 각각은 식 (6)과 (7)로 정의된다.
해당 수치해석에 사용된 물성치 및 세부 계산 조건은 아래 Table 2, 3에 나타내었다. 여기서 V∞와 P∞는 유입 속도와 압력, ν는 동점성 계수, Pv는 증기압이다.
4. 수치해석 결과
4.1 Delft twisted 11
Trimmer 격자를 이용하여 격자계를 구성하였으며, 수중익 주변 상대적으로 복잡한 유동장을 잘 해석하기 위해 해당 위치에 더욱 조밀하게 격자를 구성하였다. 또한, 발생하는 공동의 모사 정도를 높이기 위해 무차원화 된 벽면 거리(y+)는 프리즘 층(prism layer)을 이용하여 1 이하의 수준으로 구성하였다(Fig. 3).
격자 수렴도 테스트는 비공동 조건으로 수행하였으며, 격자 수렴도 판단 기준은 수중익 주변의 압력 계수(Pressure coefficient, CP, Fig. 4, 5) 분포와 수중익에 작용하는 전체 양력 계수(Lift Coefficient, CL, Table 4)로 하여 비교하였다. 격자 수준은 Coarse(2.1 M), Medium(3.3 M), Fine(4.1 M) 총 3개의 격자로 구분하며, 이때 시간 간격(time step)은 2.5×10-4s로 테스트를 진행하였다.
Table 4는 격자 조밀도에 따른 양력 계수와 상대오차를 나타내었다. Fig. 4와 5는 스팬 방향으로 세 위치에서 격자수에 따른 압력 계수 분포를 비교하였으며, 충분히 결과가 수렴되었다고 판단되는 특정 time step에서의 결과를 도시하였다. 최종적으로 격자수에 따른 양력 계수의 상대오차, 압력 계수 분포, 그리고 해석 비용 등을 고려하여 Medium 수준으로 격자를 구성하였다.
Table 4.
Grid convergence test for the Delft twisted 11 (M : Million)
| RANS | LES | ||||
| Grid | CL | error[%] | CL | error[%] | |
| Coarse(2.1 M) | 0.444 | 0.91 | 0.443 | 0.23 | |
| Medium(3.3 M) | 0.441 | 0.23 | 0.443 | 0.23 | |
| Fine(4.1 M) | 0.440 | - | 0.442 | - | |
본 연구에서는 비정상 해석을 위해 날개 경계층을 제외한 영역에서는 CFL 수를 1 이하로 하였으며, 경계층 내부의 경우 CFL 수를 1 이하로 맞추기에는 해석 자원에 한계가 있어 시간 간격에 따른 해석 결과의 수렴도 테스트를 별도로 수행하였다(Table 5). 해석 결과 시간 간격이 2.5 × 10-4 s 수준부터 양력 계수에 대한 상대오차가 1% 이하로 감소하며 이를 바탕으로 5.0 × 10-5 s의 시간 간격으로 이후 계산을 수행하였다. 다음으로 공동 조건에 대하여 수치해석을 진행하였다. 이때 공동수는 1.07이며, RANS와 LES를 이용하여 계산을 수행하였다.
Table 5.
Time step convergence test for the Delf twisted 11
| RANS | LES | |||||
| Time step[s] | CL | error[%] | CL | error[%] | ||
| 1.0 × 10-3 | 0.441 | 0.23 | 0.437 | 2.02 | ||
| 2.5 × 10-4 | 0.441 | 0.23 | 0.443 | 0.67 | ||
| 5.0 × 10-5 | 0.442 | - | 0.446 | - | ||
Fig. 6는 계산이 충분히 수렴한 이후, 특정 시간 범위(0.5s) 내의 양력 계수의 시계열 데이터를 보여준다. RANS의 경우 특정 시점에서 양력 계수가 일정한 값으로 수렴하고 있는데, 이는 시간 평균 개념을 갖는 RANS의 한계로 복잡한 공동의 거동을 제대로 계산하지 못하는 것으로 판단된다. 반면 LES의 경우 공동 발생 거동에 따른 양력 계수의 비정상 거동을 잘 모사하는 것을 확인할 수 있다.
Fig. 7은 수중익의 흡입면(suction side)에서 발생하는 공동의 한 주기(period)를 거동 순서에 따라 나타낸 그림이며, 수 치해석을 통해 계산된 압력 분포 및 수증기 체적분율이 0.5인 등가면(iso-surface)을 실험 결과와 비교하여 나타내었다. 매 주기마다 얇은 층 공동이 성장하다가 특정 시점에서 박리되어 구름형 공동으로 전개되기까지의 과정을 반복하며, LES의 경우 실험 결과와 유사한 거동을 보임을 확인할 수 있다. 하지만 RANS의 경우 앞서 Fig. 6에서 설명한 바와 같이 공동이 주기성을 보이지 않고 일정한 크기로 유지됨을 확인할 수 있다. 다음으로 공동의 주기적 거동 특성을 주파수 분석을 통해 확인하였다(Table 6). 수중익 연직 상방에 위치한 변동압력 센서에서 시간에 따라 측정된 데이터를 고속 푸리에 변환(Fast Fourier Transform, FFT)하여 주파수 대역별로 분석하였으며, 도출된 결과를 실험 및 기존 수치해석 연구 결과(Hwang 등[7])와 비교하였다. 이때, 공동의 주 거동 주파수와 이에 기인한 무차원수인 스트로우홀 수(Strouhal number, St)를 기준으로 본 수치해석 결과가 실험 결과와 7%의 상대오차를 보이며 유사하게 나타남을 확인하였다.
여기서 f는 주 거동 주파수, l은 공동 길이, V∞는 유동 속도를 의미한다.

Fig. 7.
Comparison of the periodic behavior of the cavity Experiment: left(Ref. [14]), LES : middle, RANS : right
Table 6.
Comparison of the periodic characteristics of the Delft twisted 11 between numerical and experimental results
| Frequency[Hz] | St | |
|
Experiment [Foeth[10], 2008] | 32.55 | 0.70 |
|
Hwang et al.[7](2021) [LES, 5.0 × 10-5] | 30.00 | 0.65 |
|
Present [LES, 5.0 × 10-5] | 30.00 | 0.65 |
Fig. 8은 공동 유동에 기인한 소음 특성을 음압 수준으로 나타내었다. RANS의 경우 Fig. 6에서 확인한 바와 같이 특정 값으로 수렴하기 전 주기성을 보이는 구간의 변동압력을 사용한 결과임에도 LES에 비해 음압 수준이 낮게 예측됨을 확인할 수 있다. 이는 변동압력의 폭이 LES에 비해 작게 예측됨에 따라 나타나는 차이로 보인다. 이에 RANS의 경우 복잡한 공동의 주기적인 특성을 잘 예측하지 못하는 것으로 판단되며, LES는 비교적 실험 결과와 좋은 일치를 보여주고 있다.
4.2 NACA 0012
수치해석을 위한 격자는 앞선 연구를 기반으로 Fig. 9과 같이 구성하였으며, 격자 테스트는 비공동 조건에서 앞선 검증 케이스와 동일하게 수행하였다. 격자 수준은 Coarse(2.2 M), Medium(3.1 M), Fine(4.4 M) 총 3개의 격자를 구분하였으며, 가장 조밀한 격자를 기준으로 오차 수준을 확인하였다. 여기서 시간 간격은 2.5 × 10-4로 계산을 수행하였다. Table 7에서는 격자가 조밀해질수록 양력 계수에 대한 상대오차가 1% 이내로 수렴함을 확인할 수 있다. Fig. 10과 11은 날개 주변의 무차원화된 압력 계수 분포를 나타낸 것으로, RANS와 LES 모두 격자 수준에 따라 날개 주변의 압력 분포에 큰 차이를 보이지 않음을 확인하였다. 최종적으로 양력 계수, 무차원화된 압력계수 분포, 그리고 해석 비용 등을 고려하여 Medium 수준의 격자를 채택하였다.
추가로 시간 간격에 따른 수렴성 테스트를 수행하였다. RANS와 LES 모두 시간 간격 2.5 × 10-4을 기준으로 양력 계수에 대한 상대오차가 1.5% 이내로 수렴하고 있는 것을 확인하였다(Table 8). 이후 소음해석까지 고려하여 본 연구에서는 5.0 × 10-5의 시간 간격으로 계산을 수행하였다.
Table 7.
Grid convergence test for the NACA0012(M : Million)
| RANS | LES | ||||
| Grid | CL | error[%] | CL | error[%] | |
| Coarse(2.2 M) | 1.068 | 0.3 | 1.161 | 0.7 | |
| Medium(3.1 M) | 1.071 | 0.0 | 1.164 | 0.4 | |
| Fine(4.4 M) | 1.071 | - | 1.169 | - | |
Table 8.
Time step convergence test for the NACA0012
| RANS | LES | ||||
| Time step[s] | CL | error[%] | CL | error[%] | |
| 1.0 × 10-3 | 1.071 | 0.1 | 1.152 | 2.5 | |
| 2.5 × 10-4 | 1.071 | 0.1 | 1.164 | 1.5 | |
| 5.0 × 10-5 | 1.072 | - | 1.182 | - | |
다음으로 공동 조건에서 계산을 진행하였다. 모든 조건은 받음각이 7도로 고정되며, 먼저 RANS를 사용하여 공동수가 2.05, 2.27, 2.53으로 총 3개의 조건에 따라 발생하는 공동의 형상을 수치해석을 통해 확인하였다. 공동 길이는 공동의 규모가 최대가 될 때의 길이를 코드 길이로 무차원 화한 값으로 비교하였으며, 주기는 3번의 반복되는 거동의 시간을 평균하여 나타낸다(Table 9).
Table 9.
Non-dimensional length and period of cavity around the NACA0012
| σ | 2.05 | 2.27 | 2.53 |
| l/c | 0.20 | 0.15 | 0.10 |
| Period[s] | 0.066 | 0.023 | - |
Fig. 12는 각 공동 수에 따라 나타나는 1주기의 거동을 RANS를 이용하여 해석한 결과이다. 수중익 주변의 전반적인 압력 분포와 수중익의 중앙 단면에서 수증기(vapor)의 체적분율을 관측한 그림을 각각 보여주고 있으며, 수증기가 차지하는 범위가 0.5 이상이 될 때를 기준으로 관측하였다. RANS의 경우 단순히 공동이 성장하고 소멸하는 과정만을 보여주며, 이에 한 주기를 시간에 따라 3개의 거동으로 분류하였다. T0는 공동이 성장을 시작하는 구간으로 T1까지 성장한다. T1이 도달했을 때 공동은 최대 규모가 되고 재진입 후류(re-entrant jet flow)에 의해 성장이 멈추며 다시 소멸하게 된다(Fig. 13). 이후 다시 T2가 되면서 T0와 같이 공동이 가장 작은 규모를 가지고 한 주기의 거동이 끝나게 된다. 전반적으로 공동수가 작아짐에 따라 공동 발생 길이가 증가하며 앞서 설명한 주기적 거동 또한 분명해지는 것을 확인할 수 있다. 다만 공동수 2.53 조건의 경우 공동의 길이가 매우 짧게 예측되고 있으며, 해당 길이 조건에서는 실험(Ahn 등[11])에서도 발생 주기가 명확한 구름형 공동이 아닌 상대적으로 압력의 변동 폭이 작은 얇은 층 공동만 발생하는 영역으로 파악되었다. 이에 따라 수치해석 결과 명확한 주기값을 갖지 않는 일정한 형태의 얇은 층 공동 형상이 계산된 것으로 보인다.
동일 조건에서 LES를 이용하여 수행한 계산 결과를 Fig. 14, 15, 16에 나타내었다. LES의 경우 RANS에 비해 상대적으로 복잡한 유동을 잘 모사하는 것으로 판단되며, 1주기의 거동을 시간에 따라 5개 구간으로 분류할 수 있다. 먼저 공동 수 2.05에 대해 계산을 수행하였다(Fig. 14). 한 주기는 T0부터 시작하며, 얇은 층 공동(Sheet cavitation)이 생성되고 이전 주기에서 생성되었던 구름 공동(Cloud cavitation)을 관측할 수 있다. 다음 T1에서는 앞서 생성되었던 얇은 층 공동은 더욱 성장하고, 구름 공동은 후류 영역으로 전개되며 점점 소멸한다. T2를 거치면서 얇은 층 공동은 계속해서 성장하고, 동시에 구름 공동은 더욱 소멸하며 T3에 도달하여 완전히 사라진다. T3에서 얇은 층 공동은 최대 규모를 가지고, 수중익의 뒷날 부분에서 흘러온 재진입 제트에 의해 성장을 멈춘다. 이후 T4를 거치며 생성되었던 얇은 층 공동은 분리되기 시작하며, T5에서 완전히 분리되어 구름 공동으로 떨어져 나간다. 이와 동시에 새로운 얇은 층 공동이 생성되어 T0와 같은 형태로 돌아가며 다음 주기가 반복된다. 다음은 공동 수 2.27 조건을 해석하였다(Fig. 15). 한 주기 내의 구간마다 거동이 뚜렷하게 나타나며, 얇은 층 공동과 구름 공동이 동일하게 잘 모사된다. 또한, 거동의 양상 및 수준은 앞선 조건과 유사하게 진행된다. 하지만 전반적으로 공동의 발생량이 줄어든 것을 확인할 수 있다. 마지막으로 공동 수 2.53에 대해 계산을 수행하였다(Fig. 16).
공동의 거동은 다른 조건과 유사하지만 공동의 길이가 가장 짧게 나타나며 이러한 공동 수에 따른 공동 발생 특성은 Fig. 17의 그래프에서 다시 한번 확인할 수 있다. Fig. 17은 수중익의 코드(chord) 길이로 무차원화 된 공동 길이를 실험과 비교하였으며, 공동 길이는 수중익을 따라 공동이 최대가 되는 지점을 기준으로 하였다. 두 기법 모두 공동수가 낮아질수록 공동 길이가 길어지는 경향은 잘 모사하고 있지만, RANS는 실험에 비해 공동 길이를 현저히 작게 예측하는 반면 LES의 경우 각 공동수 조건별로 실험 결과와 비교적 유사한 결과를 보인다.
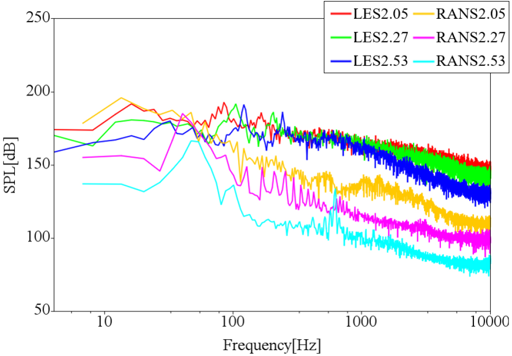
한 주기 내 거동을 면밀히 확인하기 위해 공동 수 2.05 조건에서 LES를 이용한 해석과 실험 결과를 비교하였다(Fig. 18). 공동의 생성 및 소멸 등의 발생 특성과 중앙 단면에서의 공동 규모 등이 실험과 유사함을 확인하였다. 다음으로 수중익 연직 상방에서의 변동압력을 주파수 대역에서 분석하였다. Fig. 19는 각 공동수 조건에서의 음압을 비교하였으며, 전체적으로 LES가 RANS에 비해 소음이 크게 예측되는 것을 확인할 수 있다. 이는 앞서 설명한 각 기법 적용 시 공동의 발생량과 주기적 거동 특성의 차이에 기인한 것으로 판단된다.

Fig. 18.
Comparison of periodic behavior around the NACA0012 = 2.05, Experiment: left(Ref. [11]), LES : right
Table 10은 각 공동수 조건에서 스트롤 수를 실험과 비교하여 나타내었다. 전반적인 수준은 유사하나 실험보다 다소 낮게 예측함을 확인할 수 있다. 이는 Fig. 17에서 확인할 수 있듯이 수치해석 시 각 공동수 조건에 따른 공동의 길이가 실험과 비교하였을 때 상대적으로 길게 예측됨에 따라 주기가 길어지는 것에 기인한 것으로 판단되며, 추후 공동 길이에 대한 수치 예측의 정확도를 높임으로써 개선할 수 있을 것으로 예상된다.
Table 10.
Comparison of the strouhal number of the NACA0012 between numerical and experimental results
| Strouhal Number[St] | ||
|
Present [LES] |
Experiment [Ahn et al.[11], 2020] |
error [%] |
| 0.29 | 0.36 | -20.44 |
| 0.28 | 0.39 | -27.54 |
| 0.29 | 0.34 | -15.62 |
5. 결 론
수중에서 발생하는 공동현상은 해양 생태계와 선박 등에 침식 및 소음 등의 피해를 초래할 수 있으므로, 이를 저감시킬 수 있는 방법에 대한 연구가 필요하다. 복합소재 프로펠러는 구조적 변형을 주어 공동 발생을 지연시키는 방법 중 하나로 유체-구조 연성 해석이 필수적으로 요구된다. 본격적인 유체-구조 연성 해석에 앞서 구조적 변형이 없는 상태에서 공동 발생 및 소음 특성을 규명하는 연구가 선행적으로 필요하다. 이에 본 논문에서는 특정 받음각을 가지는 2차원 수중익 주위 공동의 발생 특성을 수치해석을 통해 확인하였다. 먼저 수치해석 기법을 검증하기 위한 단계를 Delft Twisted foil에 대해 수행하였으며, 이를 기반으로 NACA 0012 수중익에 대해 해석을 진행하였다. 공동 발생의 주기적 거동 특성을 파악하였으며, 이에 기인하여 발생하는 변동압력을 주파수 영역 대에서 비교하고 분석하였다. 결과를 통해 공동수가 낮아짐에 따라 공동 길이는 길어졌으며, 거동의 한 주기는 길어지는 것을 확인하였다. 또한, 공동의 발생 정도와 변동압력에 기인한 소음 수준이 비례하는 것을 확인하였다. 해당 과정은 2개의 난류 수치 모사 기법을 적용하여 수치해석을 각각 수행하였다.



















