1. 서 론
2. 해석 방법
2.1 형상 및 유동조건
2.2 해석영역 및 경계조건
2.3 해석격자
2.4 수치기법
3. 해석 결과
3.1 유동장 특성 기본 분석
3.2 격자 의존성 평가
3.3 받음각 영향
3.4 레이놀즈수 영향
4. 결 론
1. 서 론
민간 및 군사 분야에서 수요가 증가하고 있는 초소형 비행체(micro aerial vehicle), 소형 무인기(unmanned aerial vehicle), 생체 모방 비행체 등 각종 무인 비행체들의 경우, 양력 발생을 위해 사용되는 익형이 낮은 레이놀즈수 조건에서 운용되는 상황이 빈번하다. 따라서 저레이놀즈수 조건에서 익형 유동의 특성과 공력성능은 비행체의 설계와 임무성능에 직접적인 영향을 주는 요인이 되므로 이들에 대한 물리적 이해와 예측 능력의 중요성이 강조된다[1,2]. 최근에는 고고도 무인기, 소형 드론, 멀티콥터, 전기동력 분산추진 비행체, 개인용 항공기(personal aerial vehicle) 등에 대한 개발 수요와 사례가 급격하게 증가함에 따라 저레이놀즈수 익형 공기역학에 대한 연구와 관심이 지속적으로 이어지고 있다.
저레이놀즈수 익형 유동의 대표적인 특징으로는 Fig. 1[3]과 같이 흡입면(suction side)에서 층류 경계층 박리, 자유 전단층 천이, 난류 재부착에 의한 층류 박리 기포(laminar separation bubble, LSB)가 형성되며, LSB는 전체 유동장 및 익형 공력성능과 밀접하게 연관된다. 레이놀즈수가 낮아질수록 박리 이후의 난류-천이와 재부착 발생이 지연됨에 따라 주유동 방향으로 긴 길이의 LSB가 형성되고, 이로 인해 압력항력이 증가하여 양항비를 포함한 공력성능이 저하된다. 또한, LSB의 길이와 위치는 받음각에 따라 크게 변화하며[4], 이러한 효과로 높은 레이놀즈수 조건에서 전형적인 포물형 형태를 갖는 양항곡선(drag polar)이 특정 받음각 범위에서 불규칙한 꺾임(kink)을 포함하는 복잡한 형태로 변하게 된다[5]. 익형에 따라 차이는 있으나, E387의 양향곡선을 나타낸 Fig. 2[6]와 같이 대체적으로 시위 길이 기준 레이놀즈수가 2×105 - 3×105 수준 이하로 감소함에 따라 양향곡선 상 뚜렷한 항력 증가 특성이 나타나기 시작하고, 1×105 수준으로 낮아지면 항력이 크게 증가하면서 양항곡선이 복잡한 꺾임 형태로 변화하게 된다. 레이놀즈수가 1×105보다 낮아지면 양력 기울기와 실속 받음각의 저하도 함께 수반된다[5,6,7].
실험적 관점에서 저레이놀즈수 조건은 매우 낮은 동압 조건에 해당하므로 유동 동압의 측정 정확도와 대기압과 온/습도 측정을 통해 획득한 유동 밀도의 정확도가 결정되는 시험 조건인 풍속의 불확도에 큰 영향을 미친다. 작은 레이놀즈수 변화에도 유동 구조가 상당히 달라질 수 있는 점을 고려하면, 풍속 및 밀도와 더불어 실험에서의 유체 점성 예측에 따라서도 실험 조건인 레이놀즈수에 대한 불확실성이 크게 증가한다. 유동장 내에서의 동압과 표면 압력 변화 또한 작기 때문에 표면 압력 측정이나 후류 동압 측정에 기반한 공력성능 측정 정확도와 불확실성 문제도 존재한다. 발생하는 공력의 크기 자체도 작아 로드셀 기반의 직접 측정 방식 역시 계측 장비의 정확도에 대한 의존성과 불확도가 증가한다. 이러한 이유들로 인해 전통적인 풍동시험 대비 익형 모델의 스팬 위치에 따라, 그리고 풍동에 따라 공력 성능 측정 실험 결과의 분산도가 크게 증가한다(see Figs. 2.9 and 2.10 in Ref. 4). 저레이놀즈수 익형 유동의 물리적 이해와 분석, 전산해석 기법의 검증 등을 위해서는 박리, 천이, 재부착 지점에 대한 정확한 정보들이 필요하며, 실험에서는 표면 가시화[8,9], 표면 압력 측정[4,8,10], 입자 영상 유속계[7,10,11,12], 적외선 열 감지[13] 등 다양한 기법을 이용한 측정이 가능하다. 기법에 따라 특징과 장단점들이 있으나 대체적으로 데이터의 획득을 위한 기술적 난이도와 소요 비용이 높은 편이며, 데이터에 대해 정확도와 불확도를 고려한 신중한 분석이 요구된다. 계측 기술이나 실험 기법들이 계속 발전함에 따라 저 레이놀즈수 익형 유동에서 익형의 형상, 자유류 난류강도, 레이놀즈수, 주기적 교란 등이 익형 유동과 LSB의 거동, 공력 성능에 미치는 영향에 대한 실험적 연구들은 지속적으로 이루어지고 있다[14,15,16,17].
수치적 관점에서도 저레이놀즈수 익형 유동에 대한 해석 결과는 신중한 분석과 검토가 요구된다. 기본적으로 층류 박리, 천이, 재부착과 같은 현상의 정확한 모사 또는 예측이 수반되어야 결과의 신뢰도를 확보할 수 있다. 하지만 RANS 해석의 경우, 일반적으로 공학적 활용을 위한 해석에 보편적으로 사용되는 1-방정식 또는 2-방정식의 난류 모델로는 박리 기포 생성 및 그 크기와 위치를 포함하여 성능 예측의 신뢰도가 저하되고, 자유류 난류 상태에 대한 가정과 경계조건 설정이나 격자에 대한 민감도 또한 크게 증가함이 잘 알려져 있다[18,19,20,21]. 천이 예측을 위한 γ –Reθt의 4-방정식 모델의 경우 레이놀즈수 약 3×105 ~ 1×106 범위에서 박리기포의 위치와 거동, 천이 위치 등을 비교적 적절하게 예측함이 알려져 있다[22]. 하지만 레이놀즈수 1×105 근방 또는 그 이하의 영역의 넓은 파라미터 영역에 대해서는 예측 정확도나 결과의 신뢰도를 보장하지는 못하며, 천이 예측을 위해 제안된 γ –SST나 k-kL-ω과 같은 다른 모델들 또한 결과들의 편차가 크고 예측성에 있어 큰 차이를 보여주지는 못하는 한계가 관찰되었다[3,23,24]. RANS 해석에 선형 안정싱 이론(linear stability theory)의 결과를 결합하여 천이를 예측하는 기법들도 제안되고 적용되었으나 저레이놀즈수 익형 유동 해석에 대한 예측성 측면에서 근본적인 개선을 보여주지는 못하였다[25,26].
RANS 해석 보다 실제에 더 가까운 유동 모사가 가능하다고 기대할 수 있는 고충실도 해석 기법들로는 직접수치모사(direct numerical simulation), 내재적 대와류모사(implicit LES), 대와류모사(large eddy simulation, LES) 등이 대표적이다. 저 레이놀즈수 익형 유동을 해석한 다수의 선행 연구들은 이러한 기법들이 실험에서 관찰된 현상들을 포착하고 측정 결과에 보다 근접하는 결과를 제공할 수 있음을 확인해 왔다[27,28,29,30,31,32,33,34,35]. 그러나 많은 계산 자원과 해석 시간이 요구되어 제한적인 형상과 레이놀즈수 및 받음각 조건들로 연구가 한정되어 왔다. 또한 격자 조밀도와 적용하는 아격자 스케일 모델, 수치 기법에 따라 결과가 달라질 수 있기 때문에 적절한 격자 해상도의 선정과 적용이 요구되며 결과에 영향을 줄 수 있는 수치적 요인들에 대한 의존성을 신중하게 검토, 고려해야 함이 알려져 있다. 그럼에도 불구하고 다양한 용도로 유용하게 활용될 수 있다는 장점으로 인해 신뢰성 있는 고정밀 수치 모사 기법은 저 레이놀즈수 익형 유동 연구 분야에서도 꾸준히 적용 사례가 증가하고 있다. 고정밀 수치 모사는 실험 연구가 갖는 불확실성이나 측정 정확도 저하 요인으로부터 자유롭고, 실험적 측정에 한계가 있는 물리량 획득이나 시간과 공간에 대해 높은 해상도의 유동장 및 통계량 데이터들을 제공할 수 있어 유체 역학 및 유동 기초 물리 연구 관점에서 실험적 연구와 상호 보완적이라 할 수 있다. 고정밀 모사로부터 획득한 데이터로부터 분석하고 파악한 유동장의 거동과 특성들은 RANS와 같이 낮은 충실도의 유동 해석 기법에 적용할 난류 또는 천이 모델의 개발, 검증, 개선을 위한 기초 자료나 교정 데이터로도 활용 가능하다. 뿐만 아니라 저 레이놀즈수 조건에서 다양한 익형의 정확한 공력 데이터는 신속 해석 기법을 적용한 각종 공학적 대상의 성능 분석과 설계 시 결과의 신뢰도를 높일수 있어, 고정밀 유동 해석으로부터 공력 데이터의 확보와 축적은 공학적 관점에서도 유용하다.
본 논문에서는 기존 고정밀 유동 해석 수행 사례가 없었던 DAE-51 익형에 대하여 상용 CFD 코드를 이용하여 105 이하의 저 레이놀즈수 조건에 대한 LES 해석을 수행하고 그 결과를 제시한다. 특정 레이놀즈수와 받음각 조건에 대하여 박리, 천이, 재부착 지점 식별을 포함하여 익형 표면에 형성되는 LSB와 익형 유동장의 특성을 상세하게 분석한다. 여러 받음각과 레이놀즈수 조건을 해석하여 받음각과 레이놀즈수에 따른 시간 평균 공력계수의 변화 경향과 LSB의 거동 및 변화를 분석하였다. 이를 통해 기존 문헌에서는 제시되지 않은 DAE-51 익형에 대한 고정밀 유동 해석 데이터를 확보하고 제시한다. 더불어 저 레이놀즈수 익형 유동의 LES 해석에 대한 상용 코드의 특성과 적용 타당성도 함께 확인하고 검증하는 것을 목적으로 하였다. 격자 의존성 평가를 실시하여 적절한 격자 수준을 확인하고 제시하고자 하였다. 이를 통해 장기적인 관점에서 상용 코드를 사용한 저 레이놀즈수 익형 유동의 고정밀 수치 모사 기법의 정립 및 연구 기반을 마련하고자 한다.
2. 해석 방법
2.1 형상 및 유동조건
2.1.1 익형
해석을 수행할 대상으로는 저레이놀즈수 조건에서의 사용을 목적으로 설계된 DAE-51 익형을 선정하였다. 익형의 형상은 Fig. 3과 같으며, 레이놀즈수 약 10만 근방 조건에서 양항비가 우수한 특성을 보이는 것으로 알려져 있다. 익형 최대 두께는 시위 30.7% 지점에서 9.4%이며, 최대 캠버는 시위 46.4% 지점에서 4%를 갖는다. 한국항공우주연구원에서 개발한 성층권 드론 EAV-3의 프로펠러 블레이드에 적용된 익형이기도 하며, 이 익형이 적용된 성층권 드론과 프로펠러를 Fig. 4에 나타내었다. 선행된 풍동 실험연구[12] 사례를 참고하여 시위 길이(c)는 0.15 m로 설정하였다.
2.1.2 유동조건
해면 고도, 표준대기 조건을 자유류 조건으로 고려하였으며, 밀도와 점성은 각각 1.225 kg/m3과 1.7894×10-5 kg/m·s 이다. 유속 7.9725 m/s와 받음각 4º 조건을 격자 의존성 평가 및 유동장 특성 분석을 위한 기본(baseline) 조건으로 설정하였다. 이 조건의 시위 레이놀즈수는 81,868이다.
기본 조건으로부터 받음각과 유속을 변화시킨 몇 가지 다른 조건들을 해석하여 받음각과 레이놀즈수에 따른 유동장 및 공력성능 변화를 분석하고자 하였다. 많은 해석 시간과 자원이 요구되는 LES 해석의 특성을 감안하여, 받음각 변화 분석에는 기본 조건의 유속을 고정하고 0º부터 8º 까지 1º 간격의 받음각을 고려하였다. 레이놀즈수 변화 분석에는 받음각은 4º 로 고정하고 유속을 5.0 m/s부터 8.5 m/s까지 0.5 또는 1 m/s 간격의 케이스들을 선정하였으며 레이놀즈수 범위는 약 51,400부터 87,300까지이다. Table 1은 LES 해석을 수행한 케이스들의 유동조건을 정리하여 나타내었다.
Table 1.
Flow conditions for LES analysis
2.2 해석영역 및 경계조건
시위 방향, 스팬 방향을 각각 x축과 z축으로하는 좌표계를 고려하여, 앞전이 원점에 위치하고 시위는 x축과 일치하도록 하였다. 해석 영역의 형상은 x-y 평면에서 C-H 타입의 정렬형 격자 생성을 고려하여 정의하였고, 크기는 상류방향 및 위/아래 방향으로 각각 40c, 하류 방향으로 60c로 설정하였다. x-y 평면상 해석 영역과 경계조건은 Fig. 5(a)에도식화하여 나타내었다. 입구 경계면에는 속도 경계조건, 출구 경계면에는 출구 경계조건을 적용하였다. x-y 평면 상의 해석 영역을 스팬(z축) 방향으로 연장한 3차원 영역을 Fig. 5(b)와 같이 고려하였다. 별도의 사전 탐색 연구로써 기본 조건에 대해 스팬 방향 도메인 크기를 시위 길이의 5%, 10%, 20%로 하는 해석을 수행한 바 있으며, 본 연구에서 분석 대상으로 고려하는 물리량 및 통계량 결과들에 거의 영향을 주지 않음을 확인하였다. 여러 레이놀즈수와 받음각 조건들에 대한 해석 소요 시간을 고려하여 스팬 방향 크기는 시위 길이의 5%로 설정하였다. 하지만 앞전 근방에서의 박리 발생 이후 LSB를 형성하지 못하고 하류 전체가 박리 후류 영역이 되는 수준의 높은 받음각 조건에서는 스팬 방향의 도메인 크기가 익형 윗면 위 영역에서 모사되는 3차원 난류 유동 구조에 영향을 미칠 가능성이 있으며 이러한 조건의 해석을 고려할 경우는 스팬 방향 도메인 크기에 대한 추가적인 검토가 필요할 것으로 보인다. 본 연구에서 고려한 받음각은 LSB가 형성되는 수준의 범위로써 이러한 높은 받음각 조건을 포함하지 않는다. Galbraith와 Visbal(2010) [32]는 본 연구와 유사한 레이놀즈수 조건에서 SD7003 익형에 대한 내재적 대와류 모사 연구에서 스팬 방향 도메인 크기에 대한 영향을 평가한 바 있다. 스팬 방향으로의 경계조건은 주기 경계조건을 적용하였으며 익형 표면은 점착 경계조건을 적용하였다.
2.3 해석격자
격자 의존성 평가를 위해 격자수와 조밀도가 다른 네 가지 격자를 고려하였으며, 이들을 각각 Coarse, Medium, Fine, Extra Fine 케이스로 명명하였다. 각 케이스 별 격자 정보는 Table 2에 정리하여 나타내었다. 케이스별로 주유동 방향과 폭방향 격자수를 달리하여 격자의 조밀도를 변화시켰다. 한 예로, Medium 격자의 경우 익형 표면의 주유동 방향 격자수는 윗면과 아랫면 모두 500개, 폭방향으로는 50개, 표면으로부터 원방경계 방향으로의 격자수는 180개이다. 이렇게 구성된 격자의 총 셀 수는 약 1,182만개이며 격자의 예를 Fig. 6에 나타내었다. 익형 표면 위 첫 번째 직육면체 셀의 주유동 방향, 표면에 수직한 방향, 폭 방향으로의 길이를 각각 Δx, Δy, Δz로 정의하고, 각 셀 마다 익형 표면의 전단응력(τw)을 사용하여 Δx+, Δy+, Δz+를 계산하였다. 마찰 속도를 로 정의하여 Δx+ = Δx uτ /ν 으로 계산한다. 여기서 ρ와 ν는 각각 밀도와 동점성 계수이다. Fine 격자의 경우, 레이놀즈수 81,868, 받음각 4º 조건 해석에 대한 익형 윗면의 평균 Δx+, Δy+, Δz+는 각각 약 4.7, 0.3, 3.0 수준으로 확인된다. 이는 대와류모사를 수행한 타 선행연구[35]의 격자 수준보다 3배 이상 충분히 작은 크기에 해당한다. 또한 각 방향으로 Δx+, Δz+ 최대값 또한 각각 20과 10을 넘지 않는다. Fine 격자의 경우 주유동 방향과 폭방향 격자수는 각각 720개와 80개로 증가시켰으며, Extra Fine 격자는 박리, 천이, 재부착 같은 복잡한 유동 현상이 발생하는 익형 윗면에 대해서만 주유동 방향 격자수를 1,000개, 폭방향 격자수는 100개로 증가시켜 생성하였다. 각 격자 수준별로 계산된 평균 Δx+, Δy+, Δz+를 Table 2에 함께 나타내었다.
Table 2.
Computational grids
2.4 수치기법
해석에는 상용 유동해석 코드인 ANSYS Fluent를 사용하였으며, 저속의 비압축성 유동임을 고려하여 압력기반(pressure-based) 해석자를 적용하였다. 비정상 유동 해석자를 사용하고 압력-속도 연계에는 PISO 알고리즘을 적용하였으며 neighbor correction은 2로 설정하였다. 시간 전진에는 2차 정확도의 내재적 기법을 적용하였으며, non-iterative time advancement를 적용하였다. 시간 간격은 CFL 수 0.5 수준을 고려하여 10 μs(10-5 sec)로 설정하였다. 수치기법으로 공간 차분 기법, 구배 계산, 압력 보간에는 Fluent 내에서의 설정 옵션 중 “bounded central difference scheme”, “least square cell based”, “standard”을 각각 선정하여 적용하였다. 선정한 옵션들의 구체적인 수치 기법에 대한 세부사항은 Fluent Theory Guide를 참고할 수 있다. 아격자 모델(subgrid scale model)은 WALE(wall adapted local eddy-viscosity) 모델을 적용하였다. 선행 연구들[35,36,37]을 통해 WALE 모델이 난류-천이를 포함하는 벽면 전단층 유동 모사에 적합함이 확인되었으며, 자체적인 예비 연구로 수행한 Smagorinsky-Lilly 아격자 모델을 적용한 해석 결과에서도 시간 통계적인 물리량들에서 유의미한 차이는 관찰되지 않았다. 아격자 모델에 대한 의존성은 저 레이놀즈수 조건에서 SD7003 익형에 대한 LES 해석을 수행한 Sarlak(2017) [29]의 연구에서 평가한 바 있다. γ -Reθt 모델을 적용한 RANS 해석의 경우 해석할 조건에서 발생할 것으로 예상되는 박리, 천이, 재부착 등의 필수적인 유동 현상들과 LSB 형성을 일정 수준은 예측할 수 있으며, 이는 이후에 제시할 결과에서도 확인할 수 있다. 다른 완전 난류 모델을 적용한 RANS 해석 대비 LES 해석 결과의 시간 평균 유동장과 상대적으로 유사한 결과를 기대할 수 있어 LES의 초기조건으로 사용하기에 적합하다고 판단하였다. 이에 따라 LES 해석의 초기조건으로는 γ -Reθt 모델을 적용한 정상 유동 RANS 해석 결과의 속도장과 압력장을 사용하였다. 공력계수들과 유동변수들의 시간 통계량들을 모니터링하여 일정 값으로 수렴하는 충분한 시간 동안 해석을 수행하였다. 해석은 총 160,000 time step을 계산하여 물리적 시간 약 1.6초 동안에 대해 진행하였으며, 이는 기본 조건의 자유류 속도(V∞ = 7.9725 m/s)를 기준으로 특성 시간(characteristic time, t*=t/(c/V∞)) 약 80에 해당한다. 이는 유동이 자유류 속도로 익형 시위를 약 80번 지나가는 시간을 의미한다. 시간 통계량은 해석 시작 시각으로부터 약 0.2초 이후부터 데이터의 누적 평균을 적용하였다. 계산에는 Intel Xeon Platinum 9242/2.3GHz 192코어를 사용하였으며, 초기조건 획득을 위한 RANS 해석 시간을 제외하고 LES 해석에 Fine 격자 기준으로 한 케이스 당 wall clock time 약 400 ~ 450 시간 정도가 소요되었다.
3. 해석 결과
3.1 유동장 특성 기본 분석
기본 조건으로 선정한 레이놀즈수 81,800, 받음각 4º 에 대한 결과를 사용하여 유동장 구조와 특성을 분석하고 확인하였다. Fig. 7은 Fine 격자를 사용한 해석 결과의 공력계수 시간 이력을 나타내며, 시간에 따라 계속 진동하는 특성을 볼 수 있다. 이는 층류 박리 이후 와류 흘림이 발생하고 박리 위치와 재부착 위치가 시간에 따라 계속 진동하며 천이 및 재부착 이후 난류 경계층이 표면에 형성됨에 따라 비정상성이 발생하기 때문으로 분석된다. 수직 파선으로 나타낸 0.2초 이후에는 모든 공력계수들이 일정 수준 이내의 범위에서 진동하는 상태에 진입한 것으로 판단할 수 있다. 초기 조건으로부터 과도(transient) 구간이 비교적 짧게 나타나는 것으로 분석되는데, 이는 앞서 언급한 바 있듯이 초기조건으로 사용한 천이 모델을 적용한 RANS 해석 결과가 LES 결과의 시간 평균 유동장과 비교적 유사하기 때문으로 판단할 수 있다. 0.2초 이후 구간에 대한 시간 평균 양력계수, 항력계수, 모멘트계수는 각각 0.8525, 0.0289, -0.1143이다. 피칭 모멘트의 기준점은 시위선 상의 25% 지점(x = 0.25c, y = 0)이다. 보편적으로 사용되는 난류 모델인 k-ω SST 모델을 사용한 정상 유동 RANS 해석 결과를 초기조건으로 사용한 경우에 대해서도 비교를 위한 예비 해석을 수행한 바 있으며, 이 경우 전체적인 유동장과 공력계수의 초기값들이 LES 해석의 시간 평균 결과와 더 큰 차이를 갖는 초기조건으로부터 해석이 시작됨에 따라, 뒤에서 결과 및 분석으로 제시할 박리 기포를 포함한 유동장이 형성되어 가는 물리적 시간이 더 소요되어 과도 구간이 2배 이상 길게 나타남을 확인하였다.
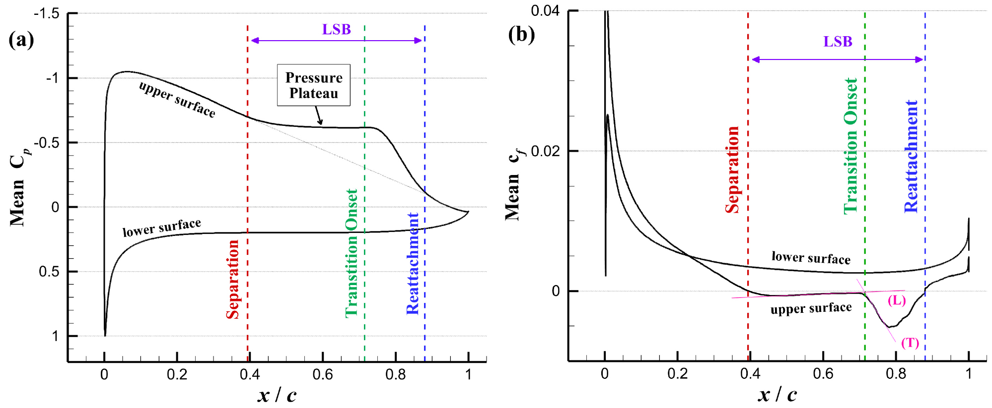
익형 근방 유동 구조와 상태를 분석하기 위해 익형 표면 압력계수와 표면 마찰 계수 분포를 Fig. 8에 나타내었다. 전체 해석 시간 동안에 대한 시간 평균 및 스팬 방향에 대한 공간 평균을 모두 취한 결과를 보여준다. Fig. 8(a)로부터 익형 윗면에서 층류 박리기포가 형성되는 경우의 전형적인 표면 압력계수 분포 특징이 나타남을 확인할 수 있다. 박리 발생 이후 압력계수 분포가 박리 미발생일 때의 경향을 벗어나기 시작하면서, 층류 박리 영역에서는 압력계수가 일정하게 유지되는 pressure plateau 영역을 형성한다. 박리된 층류 자유 전단층이 난류 유동으로 천이되면서 압력계수가 다시 회복되기 시작한다. 난류 상태로 전환된 자유전단층은 운동량을 다시 회복하여 재부착함으로써 층류 박리기포를 형성하며, 재부착 이후에는 박리 미발생인 경우의 압력계수 수준을 회복한다. 박리 기포 내에서는 재순환 영역(recirculation zone)이 형성됨에 따라, 박리 이후 표면 근방에서는 역류(reverse flow)가 발생하여 표면 마찰 계수 및 전단응력이 음수가 된다. Fig. 8(b)의 표면 마찰 계수 분포로부터, 윗면에서는 시위의 약 39.39% 지점(x/c = 0.3939)에서 전단응력이 양수에서 음수로 변화하고 약 87.94% 지점에서 다시 음수에서 양수로 변화함을 볼 수 있으며, 이 지점들을 각각 박리 및 재부착 지점으로 판단할 수 있다. 이에 따라 익형 윗면에 형성된 박리기포의 크기는 시위 길이의 약 48.55%로 계산된다. 박리 이후 일정 구간에서는 마찰 계수의 절대값이 작은 값을 가지고 유사한 수준을 유지하는 것을 알 수 있으며 이는 박리기포 내 역류 유동의 속도가 크지 않음을 의미한다. 반면 시위 약 70% 지점 근방부터는 마찰 계수의 절대값이 급증하며, 이처럼 절대값이 크게 증가하는 영역을 전단층 유동이 층류에서 난류로 변화하는 천이 영역으로 판단할 수 있다. 천이 시작(transition onset) 지점을 정의하는 방법은 다양하나, 대부분의 벽면 전단층 천이에 대한 연구에서는 Fig. 8(b)에 나타낸 것과 같이 층류 구간과 난류 구간 각각에 대해 근사적인 추세선을 고려하여 두 선의 교점을 천이 시작 지점으로 판단한다. 이렇게 획득한 천이 시작 지점은 시위 길이의 약 71.46% 지점으로 확인된다. 표면 마찰 계수로부터 식별한 윗면에서의 박리, 천이 시작, 재부착 지점을 Fig. 8의 표면 압력계수 및 마찰계수 분포에 함께 도시하고 층류 박리기포 구간을 함께 나타내었다. 익형의 아랫면에서는 박리가 발생하지 않았으며 전 영역이 층류 경계층의 특징을 나타냄을 알 수 있다.
해석 영역을 x-y 평면으로 자른 단면에서의 시간 평균 속도 벡터(V)의 크기와 RMS 속도 크기 분포를 Fig. 9에 도시하였다. 스팬 방향으로 단면의 위치는 해석 영역의 중간 지점(z/c = 0.025)에 해당한다. 평균 속도와 RMS 속도 크기 모두 자유류 속도로 무차원화 하였다. 평균 속도 크기 분포는 전형적인 익형 유동장의 특징을 보이는 듯 하지만 그림에 표시한 구간에서는 익형 윗면 표면 위에서 저속 영역이 일반적인 경계층 수준보다 두껍게 형성되며, 이 구간에서 층류 박리기포 및 재순환 영역이 생성되었음을 확인할 수 있다. Fig. 8(b)과 같이 마찰 계수 분포로부터 식별한 박리(S), 천이 시작(T), 재부착(R) 지점을 그림에 함께 나타내었다. 박리 이후부터 천이 시작 지점 근방까지는 전단층의 저속 영역 두께가 점차 증가하며, 천이 시작 지점 근방부터 재부착 지점까지는 두께가 다시 감소하는 경향을 확인할 수 있다. RMS 속도 크기 분포의 경우, 큰 값을 나타내는 영역이 박리 지점으로부터 하류 방향으로 일정 거리까지는 표면으로부터 특정 높이 근처에 집중되어 나타남을 확인할 수 있다. 이러한 특징은 저 레이놀즈수 익형 유동에 대한 풍동실험 연구[12]에서도 동일하게 관찰되었으며, 이 높이는 전단층 평균 속도 프로파일의 변곡점(inflection point) 근방에 해당하는 것으로 분석되었다. 박리 유동의 와류 흘림(vortex shedding) 등 유동 비정상성으로 인해 박리기포의 위치와 길이가 시간에 따라 조금씩 진동하고 그에 따라 박리 이후의 층류 전단층 속도 프로파일도 위아래로 진동하는데, 속도 구배가 가장 큰 변곡점 근방에서 RMS 속도가 가장 크게 나타난다. 이 영역에서는 주유동 방향의 RMS 속도만 큰 값을 나타내며 익형 표면에 수직 방향의 RMS 속도는 상대적으로 매우 작게 나타나 비등방성이 크다. 이러한 특징들로부터 이 구간의 유동은 진동하는 층류 박리 유동으로 분석할 수 있다. 천이 시작 지점 이후부터는 하류 방향으로 진행함에 따라 RMS 속도가 표면으로부터 특정 높이에만 국한하지 않고 전단층 두께 전체에 걸쳐 빠르게 증가함을 알 수 있다. 또한 모든 방향의 RMS 속도 성분들이 일제히 증가하여 유동 비정상성이 등방성으로 변하여 유사한 수준을 형성한다. 전단층 전 영역에서 모든 방향 속도 성분의 비정상성이 빠르게 증가하는 영역을 층류에서 난류 유동으로 변화하는 천이 구간으로 판단할 수 있다. 별도의 후처리를 통해 확인한 난류 운동 에너지 분포도 RMS 속도 분포와 동일한 특징과 경향이 나타내며 천이 시작 지점의 하류에서 빠르게 증가함을 확인하였다.
Fig. 10은 시위 20% 지점부터 95% 지점까지 주유동 방향 주요 위치들에서 익형 윗면의 전단층 속도 프로파일을 보여준다. 스팬 방향 위치는 Fig. 9에서와 동일하게 해석 영역의 중간 지점이며, 시간 평균 속도 벡터(V) 중 익형 표면에 평행한 방향의 성분(Ut)을 자유류 속도로 무차원화 하여 나타내었다. y축은 익형 표면에 대해 수직한 방향으로의 거리(yn)를 시위 길이로 무차원화 하여 나타내었다. 마찰 계수로부터 식별한 박리 지점(x/c = 0.3939) 직후에 해당하는 시위 40% 지점의 속도 프로파일부터 표면 근방에서 역류 속도(Ut < 0)가 나타나기 시작하며, 하류 방향으로 갈수록 역류 속도 영역의 높이가 증가함을 할 수 있다. 역류 속도 영역의 두께를 시각적으로 나타내기 위해 각 속도 프로파일에서 Ut가 0이 되는 높이를 연결하여 보라색 파선으로 나타내었다. 파선 높이보다 낮은 영역에서는 속도의 크기는 작지만 명확한 역류 속도 발생과 재순환 영역 형성을 확인할 수 있다. 역류 영역의 높이는 천이 시작 지점(x/c = 0.7146) 근처인 시위 약 70% 지점 근방에서 최대가 되며, 이후부터는 유동이 난류로 변화하면서 재부착 지점(x/c = 0.8794)까지 감소함을 알 수 있다.
해석 조건은 레이놀즈수가 낮아 2차원 아음속 경계층의 주요 점성 불안정성인 Tollmien-Schlichting instability가 매우 안정적일 것으로 예상되며, 이 불안정성에 의한 교란 증폭이 천이 유발의 직접적 원인으로 작용하기 어렵다. 반면, Fig. 10에서 볼 수 있듯이 박리 이후 층류 전단층의 속도 프로파일은 변곡점을 갖는 형태이다. 전통적인 유동 안정성 이론[38,39,40]에 따르면 이러한 속도 프로파일은 비점성 불안정성인 Rayleigh instability에 취약하기 때문에 변곡점을 갖는 속도 프로파일로 인하여 층류 박리 영역에서는 높은 Rayleigh instability가 유발될 수 있다. 또한 역류 속도 영역을 포함하는 속도 프로파일로 인해 Kelvin-Helmholtz(K-H) 타입의 불안정성이 쉽게 발생할 수 있다. K-H 불안정성은 역류 속도 영역의 경계(Ut = 0 & yn ≠ 0) 근방에서 스팬방향 와류(spanwise vortex)의 생성과 성장을 유발한다. Fig. 11은 특정 시각의 순간 유동장에 대한 iso-Q 면과 스팬 방향 중앙 지점 x-y 단면에서의 레이놀즈 응력 분포를 보여준다. Iso-Q 면에서 색은 속도의 크기로 나타내었으며, 레이놀즈 응력은 자유류 동압으로 무차원화 하였다. Iso-Q 면으로부터 와도 및 유동 구조를 파악할 수 있으며, 1차 불안정성인 K-H 불안정성에 의해 유발된 스팬 방향 와류의 생성과 하류 방향으로의 이동 및 성장에 해당하는 유동 구조를 확인할 수 있다. 이산 와류는 주기적으로 발생하며 하류로 이동함에 따라 성장하고 롤업된다. 스팬방향 와류에 의한 2차원적 유동 구조(2-D coherent structure)가 일정 수준 이상으로 성장하면, 뒤이어 2차 불안정성과 비선형 불안정성이 발생하여 3차원적 유동 구조를 생성하고 와류 붕괴(breakdown)와 함께 spectrum broadening을 동반하며 유동이 난류로 천이된다. 낮은 레이놀즈수에서의 대표적인 벽면 전단층의 천이 시나리오 중 하나로 알려져 있으며, Fig. 11로부터 이러한 천이 과정과 그에 따른 유동 구조를 확인할 수 있다. 천이 시작 지점 근방으로부터 하류 영역에서 레이놀즈 응력이 전형적인 난류 유동의 특징을 형성함을 확인할 수 있다.
Fig. 10에서 x/c = 0.50, 0.60, 0.70, 0.80 지점에 대해서는 RMS 속도 프로파일들을 함께 나타내었으며, 평균 속도와 동일하게 자유류 속도로 무차원하였다. 해석 결과로 얻어지는 RMS 속도는 직교좌표계 기준 x-방향과 y-방향의 RMS 속도이다. 이들을 각 방향 성분으로하는 RMS 속도 벡터를 고려하여, 주유동 방향 각 위치에서 이 벡터를 익형 표면에 평행하고 수직한 방향에 대하여 투영한 성분의 크기를 각각 urms,t와 urms,n로 정의하여 이들의 분포를 나타태었다. Fig. 9에 제시한 전체 RMS 속도 크기 분포에 대한 논의에서 언급한 바 있듯이 박리 이후부터 천이 시작 지점 이전까지(i.e., x/c = 0.50 & 0.60)는 파란색 실선으로 나타낸 RMS 속도 벡터의 주유동 방향 성분(urms,t)이 특정 높이에 집중되어 큰 값을 갖는 것을 볼 수 있으며, 이 높이는 그림 내에서 화살표를 이용하여 표시한 것처럼 평균 속도 프로파일의 변곡점 높이에 해당함을 확인할 수 있다. 이 영역이 진동하는 비정상 층류 박리 유동 상태이며 층류 박리 기포 영역의 meandering에 의한 것임을 의미한다. 이 구간에서는 녹색 실선으로 나타낸 RMS 속도 벡터의 횡방향(transverse) 성분(urms,n)이 상대적으로 매우 작은 것을 볼 수 있으며, 속도 섭동의 비등방성이 크다고 판단할 수 있다. 천이 시작 지점에 임박한 x/c = 0.70 위치에서는 변곡점 높이 근방 뿐만 아니라 역류 속도 영역을 포함한 전체 전단층 두께에 걸쳐 RMS 속도 벡터의 주유동 방향 성분이 일제히 성장하는 특징을 확인할 수 있다. 이와 더불어 전단층 전체 두께에 걸쳐 RMS 속도 벡터의횡방향 성분도 동일한 수준으로 일제히 성장을 시작하는 것을 볼 수 있다. 천이가 진행되면서 재부착 지점에 가까워진 x/c = 0.80 위치에서는 RMS 속도 분포가 특정 높이에서 peak를 갖는 형태에서 전단층 전체에 걸쳐 균일하게 분포하는 형태로 변경됨을 알 수 있다. RMS 속도 벡터의 두 방향 성분의 비교로부터 수직 방향 성분은 천이 지점 이전까지는 매우 작은 값으로 비등방성을 보이나, 천이 시작 지점 근방부터는 주유동 방향 성분과 유사한 수준으로 빠르게 성장하여 등방성에 가까워 짐을 확인하였다. x/c = 0.70, 0.75, 0.80 지점의 평균 속도 프로파일들로부터, 천이 시작 지점(x/c = 0.7146) 전후로 유동이 난류로 변화해 감에 따라 역류 속도 영역 내 평균 속도 프로파일의 형태가 달라지며 역류 속도의 절대값도 증가함을 확인할 수 있다. 난류 유동의 높은 혼합/유입 특성에 따라 천이 이후 전단층 외부 유동의 높은 운동량을 내부로 유입시켜 운동량을 회복하고 유동이 재부착 된다. 재부착 지점(x/c = 0.8794) 이후에는 속도 프로파일이 난류 경계층 형태로 빠르게 바뀌는 것을 알 수 있으며, 하류로 갈수록 전체 전단층의 두께 또한 빠르게 증가함을 알 수 있다.
익형 표면의 RMS 압력 분포를 나타낸 Fig. 12에서도 천이 발생 구간에서의 특징을 확인할 수 있다. RMS 압력은 자유류의 동압, q∞(= 1/2ρV∞2)으로 무차원화하였다. 천이 시작 지점(x/c = 0.7146)을 전후로 표면의 RMS 압력이 급격하게 성장한다. 천이 과정에서 표면의 RMS 압력이 빠르게 증가하여 자유류 동압의 22% 수준의 최대값에 도달하고, 그 이후로는 다시 감소함을 알 수 있다. 유동장 내의 RMS 속도의 크기 또한 천이 시작 지점 이후로 급격하게 증가하여 최대값을 나타낸 이후, 유사한 지점부터 다시 감소하는 경향을 보인다. 이는 천이 초기 단계에서는 불안정성에 의해 유발되고 성장한 특정 대역의 주파수와 파수의 유동이 지배적이나 천이 후반부에서는 spectrum broadening이 발생하고 작은 유동 구조로 붕괴되면서 등방성의 난류 유동으로 변화함에 따라 RMS 속도가 전당층 내에서 균일화 되면서 최대 크기는 감소하는 것으로 분석된다.
3.2 격자 의존성 평가
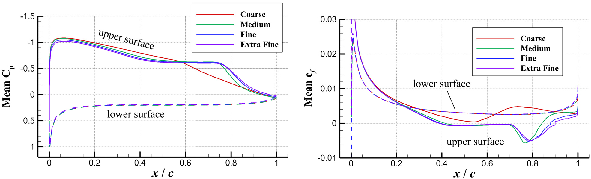
기본 유동 조건을 Table 2에 제시한 네 가지 격자를 사용하여 해석하였으며, 각 격자 결과로부터 시간 및 스팬 방향 모두에 대한 평균 표면 압력계수와 마찰 계수를 비교하여 Fig. 13에 나타내었다. 주목할 만한 점은 Coarse 격자 케이스 결과의 경우, 앞서 2.1절에서 제시하고 논의한 층류 박리 기포 유동 형성에 따른 특징들이 익형 윗면에서 관찰되지 않는다는 것이다. 나머지 높은 조밀도의 세 격자의 결과들에서는 압력 계수 분포에서 pressure plateau의 특징이 동일하게 나타남을 볼 수 있다. Coarse 격자를 제외한 나머지 결과들에서는 마찰 계수도 특정 지점부터 음수로 바뀐 후 음수 값을 갖는 구간이 존재하여 명확한 박리 영역을 보이며, 앞서 논의한 바 있는 천이 발생 과정의 특징을 나타낸 후 다시 양수로 바뀌는 재부작 치점을 갖는다. 반면 Coarse 격자 결과의 경우 압력 계수가 일정한 영역을 보이지 않고 suction peak 이후 단조적으로 증가하며 회복하며, 마찰 계수도 하류 방향을 따라 감소하며 0에 가까워지지만 음수가 되지 못하고 특정 지점부터는 다시 증가함으로써 전체 영역에서 양수의 값을 갖는다. 이러한 특징으로부터 Coarse 격자의 결과에서는 익형 윗면에 층류 박리 기포가 포착되거나 모사되지 못하고 있음을 알 수 있다. 반면 익형 아랫면의 경우 모든 격자의 결과에서 압력계수와 마찰 계수 분포가 거의 일치하며, 전영역에서 층류 경계층이 형성되는 것으로 분석된다.
각 격자 케이스의 표면 마찰 계수 결과로부터 익형 윗면에서의 박리, 천이 시작, 재부착 지점을 획득하여 Table 3에 정리하였다. 격자 조밀도가 증가할수록 박리는 더 상류에서 발생하고 재부착은 더 하류에서 발생하는 것으로 예측하여 결과적으로는 박리 기포 구간의 길이가 더 길게 예측됨을 알 수 있다. Coarse 격자의 경우 전단 응력이 음수가 되지 않아 박리나 재부착 지점을 정의할 수 없다. Medium 격자와 Fine 격자 결과 간 박리 지점의 차이는 시위 길이의 약 2.1%, Fine 격자와 Extra Fine 격자 간 차이는 시위 길이의 약 0.66% 수준으로 확인된다. 재부착 지점은 Medium 격자와 Fine 격자 간에는 시위 길이의 약 3.7%, Fine 격자와 Extra Fine 격자 간에는 시위 길이의 약 2% 수준의 차이를 나타내었다. Medium 격자와 Fine 격자 결과의 박리 기포의 길이는 각각 시위 길이의 약 42.7%와 48.3%로, 시위 길이의 약 5.6% 정도의 차이를 보인다. Fine 격자와 Extra Fine 격자는 시위 길이 약 2.7% 수준의 차이로 박리 기포의 길이를 예측하는 것으로 확인된다. Fine 격자의 결과가 천이 시작 지점을 가장 하류로 예측하나 Extra Fine 격자 대비 약 0.27% c 수준의 작은 차이를 보인다. 박리 기포 발생을 예측하는 세가지 격자 모두에서 천이시작 지점은 약 0.6% c 수준 이내의 차이를 보인다. Coarse 격자 결과에 대해서도 마찰 계수 변화 경향으로부터 같은 방식으로 천이 시작 지점을 식별했을 때 시위 길이의 약 54% 지점 근방에서 천이가 시작되는 것으로 나타난다. 다른 격자들의 결과인 박리 이후 박리 기포 내에서 발생하는 천이 보다는 상류에서 천이가 시작되는으로 모사됨을 알 수 있다. 반면 마찰 계수의 크기가 빠르게 증가하는 구간을 천이 발생 구간으로 고려하면, 다른 격자들의 결과인 박리 기포 내에서 발생하는 천이 대비 천이 구간의 길이는 더 긴 구간에 걸쳐 나타나는 특징을 보인다.
Table 3.
Comparison of separation, transition onset, and reattachment points from different grids
시간 평균 공력계수 결과를 Table 4에 비교하여 나타내었다. 박리 기포 발생이 예측되는 Medium 격자 이상에서는 익형 주변 격자 조밀도와 총 격자수가 증가할수록 양력계수는 감소하고 항력계수는 증가하며 양항비가 감소하는 경향을 확인할 수 있다. Fig. 14은 격자 수준별로 획득된 시간 평균 양력 및 항력계수를 비교하여 나타내었다. 앞서 확인한 바와 같이 박리 기포 발생을 예측하지 못하는 Coarse 격자의 경우 표면 압력 및 전단 응력 분포에서 큰 차이가 나타나며, 그로 인한 결과인 공력계수에도 큰 차이가 발생함을 알 수 있다. Medium 격자의 경우 Fine 격자 대비 양력, 항력, 피칭모멘트 계수 결과가 각각 약 1.0%, 약 13.5%, 4.5%의 차이를 나타낸다. 층류 박리기포 위치와 길이는 익형 윗면에 형성되는 pressure plateau 구간을 결정하므로 익형에 작용하는 압력 항력에 큰 영향을 미친다. Fine 격자는 Medium 격자 대비 박리 기포 구간의 길이를 시위 길이의 약 5.6% 정도 더 크게 예측함에 따라 항력계수가 13.5% 정도 크게 나타남을 알 수 있다. Fine 격자는 Extra Fine 격자 대비 양력, 항력, 피칭모멘트 계수 결과가 각각 약 2.25%, 약 6.77%, 0.46%의 차이를 갖는다. 박리 기포가 형성되는 저 레이놀즈수 조건의 익형 유동을 LES를 이용하여 모사할 때, 격자 조밀도는 박리 기포 생성의 예측 여부를 결정할 뿐 아니라 박리, 천이 시작, 재부착 지점에 대한 예측 및 그에 따른 박리 기포 구간의 길이 예측 결과에 영향을 줌으로써 공력계수에 적지 않은 차이를 발생 시킬 수 있음을 알 수 있다. 특히 박리 기포 구간의 위치와 길이가 공력계수에 영향을 줄 수 있는 유동의 경우에는 격자 수준의 적절성과 격자 조밀도에 따른 불확실성을 함께 고려하여 결과를 검토하고 분석할 필요가 있을 것으로 판단할 수 있다.
Table 4.
Time-averaged aerodynamic coefficients from grid dependency study
각 격자의 결과로부터, x-y 평면상에서 시간 평균 속도 크기 및 RMS 속도 크기를 Fig. 15에 비교하여 나타내었다. 단면의 스팬 방향 위치는 Fig. 9에서와 동일하게 해석 영역의 중심이다. Table 3에 제시한 박리, 천이 시작, 재부착 지점을 그림 내 익형 표면 위 해당 지점에 함께 표시하였다. 격자수와 조밀도가 가장 낮은 Coarse 격자의 경우 박리, 천이, 재부착에 이르는 층류 박리 기포의 일련의 생성 과정을 포착하지 못함으로써 박리 기포가 형성되지 않으며 다른 격자의 결과들과 비교했을 때 익형 윗면 근처의 유동 구조의 명확한 차이가 관찰된다. 이는 앞서 표면 압력/마찰 계수 결과에 대한 분석과도 일관되며 일치하는 결과를 나타낸다. Medium 격자 수준 이상에서는 층류 박리 기포가 모사됨을 알 수 있으며 격자 조밀도가 증가함에 따라 박리 기포 길이가 증가하는 경향을 확인할 수 있다. 적절한 수준의 공력계수 획득과 유동장 구조 분석을 위해서는 종합적으로 최소 Fine 케이스 수준 이상의 격자 수와 조밀도를 사용한 해석이 필요하다고 판단된다. Extra Fine 또는 이상으로 충분히 많은 격자의 수와 높은 조밀도의 격자를 사용할수록 더 정확한 결과를 기대할 수 있겠으나, 받음각 및 레이놀즈수 등의 유동 조건 변화에 따른 경향 분석과 같이 본 연구에서 수행하고자 하는 파라미터 연구를 위해서는 여러 조건에 대한 해석이 요구되므로 해석 소요시간과 자원 측면의 현실적인 제약을 함께 고려해야 한다. Fine 격자와 Extra Fine 격자는 박리와 재부착 지점 예측에서 시위 길이의 약 0.66%와 2% 수준, 양력과 항력계수는 각각 2.25%와 6.77% 수준의 결과 차이를 보이나, 두 격자가 필수 유동 현상과 유동 특징을 모두 포착하면서도 주요 지표들의 정량적 차이가 소요 시간을 고려했을 때 합리적인 수준이라 판단하였다. 이에 따라 이후의 파라미터 연구에 사용할 적절한 격자로 Fine 격자를 선정하였다.
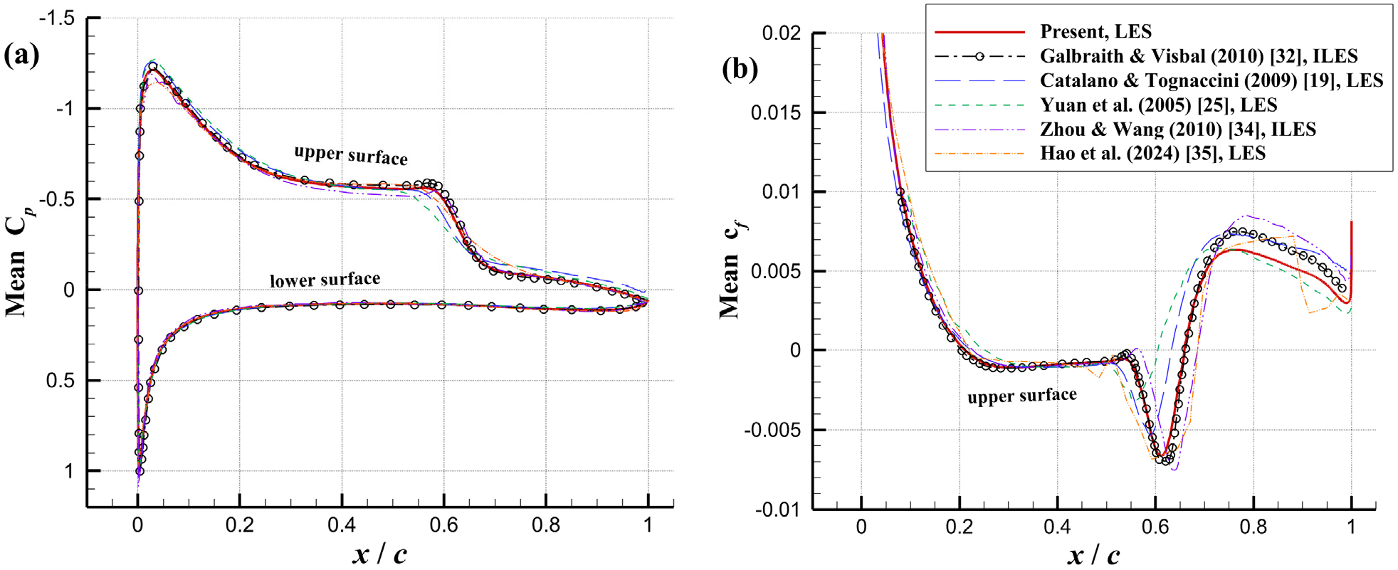
선정한 격자 수준의 적절성을 확인하기 위해, 저 레이놀즈수 익형 유동의 수치 모사 연구 분야에서 가장 많이 이용되는 표준 문제 중 하나인 SD7003 익형 해석을 수행하여 선행 연구들과 결과를 비교하였다. 유동 조건은 레이놀즈수 60,000, 받음각 4도 조건이며, 표면 압력 계수와 마찰 계수 분포를 Galbraith와 Visbal[31-32]의 ILES 해석 결과와 비교하여 Fig. 16에 나타내었다. RANS[20,21,22,25-26], LES[19,25,29,35], ILES[29,33-34] 등 다양한 기법을 사용하여 해당 문제를 해석한 선행 연구들은 Galbraith와 Visbal의 ILES 결과를 비교를 위한 기준 결과로 사용한다. LES와 ILES를 수행한 몇 가지 타 선행 연구 결과들도 그림에 함께 나타내었다. 종합적으로 결과를 비교했을 때 본 연구의 결과가 기준 결과와 매우 잘 일치함을 알 수 있으며, 선정한 격자 수준과 해석자 설정이 적절한 것으로 판단할 수 있다.
3.3 받음각 영향
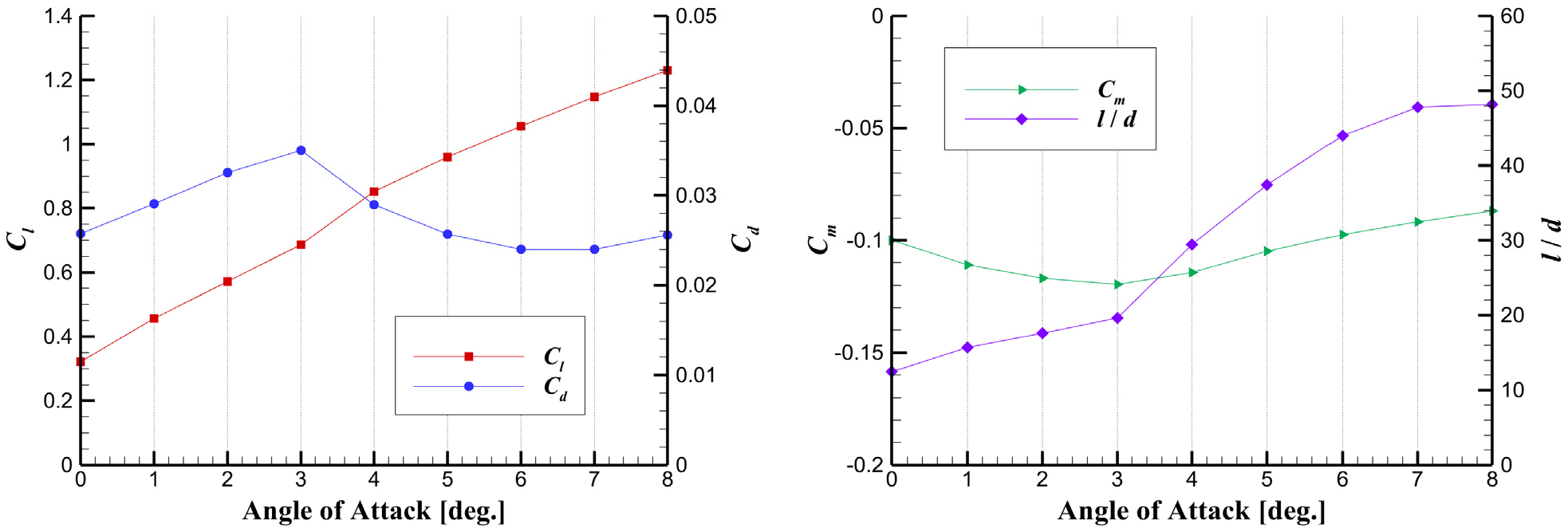
선정한 Fine 격자를 사용하여 받음각 0도부터 8도까지 1도 간격으로 LES 해석을 수행하였다. Fig. 17에는 해석을 수행한 물리적 시간 중 마지막 순간(t = 1.6 sec)의 유동장을 iso-Q 면으로 가시화하여 나타내었다. 면의 색은 각 위치에서 자유류 속도로 무차원화 한 순간 속도를 나타낸다. 앞서 2.1절에서 관찰하고 분석한 바와 같이 박리 이후 스팬 방향 이산 와류 형태의 2차원 유동 구조가 주기적으로 생성되며 하류 방향으로 이동하고, 뒤이어 3차원 유동 구조의 생성과 작은 스케일의 유동 구조로의 붕괴로 이어지는 천이 발생 과정을 모든 받음각에서 관찰할 수 있다. 천이 발생 이후에는 난류 유동장이 형성됨을 볼 수 있다. 받음각이 작은 조건에서는 익형의 뒷전 근방에서 천이가 시작되며, 받음각이 증가할수록 천이 시작 위치가 상류로 이동하면서 익형 위의 더 많은 영역에서 난류 유동 영역이 형성됨을 알 수 있다. 위치나 구간의 길이에서 차이는 있으나 발생하는 유동 현상과 특징들은 모든 받음각 조건에 대해 2.1절에서 제시하고 논의한 내용과 동일한 것으로 분석되었다. 그 외에 추가적인 다른 유동 물리 현상이나 특징이 관찰되거나 식별되지는 않았다.
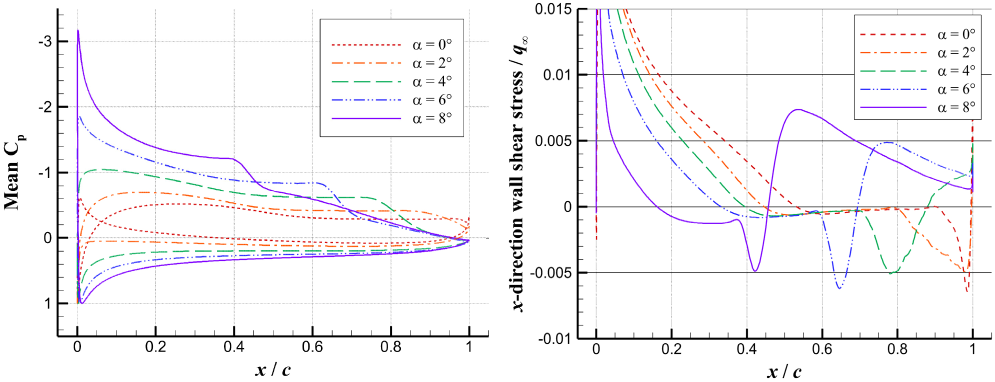
익형 표면의 평균 압력 계수와 윗면에서의 평균 x-방향 전단 응력 분포를 몇 가지 받음각에 대해 Fig. 18에 비교하여 나타내었다. 전단 응력은 자유류 동압으로 무차원화 하였다. 전단 응력 크기의 변화 경향으로부터 받음각 증가에 따라 천이 시작 지점이 상류로 이동하며, 전단 응력의 부호로부터 받음각 증가에 따라 윗면에서 박리 지점이 상류로 이동하는 것을 관찰할 수 있으며, 이는 Fig. 17로부터 관찰되는 경향과도 잘 일치한다. 단, Fig. 18에 제시한 받음각들 중 0도와 2도 조건에서는 시간 평균 유동 관점에서 익형 뒷전에 이르기까지 재부착 시 나타나는 특징들이 관찰되지 않는다. 전단 응력의 크기가 급증하며 부호가 전환되는 특징이 나타나지 않으며, 압력 계수의 경우 윗면에서 낮은 압력계수가 일정한 수준으로 유지되는 박리 이후의 특징은 나타나지만 재부착 되면서 다시 빠르게 회복되는 패턴은 관찰되지 않는다. 압력 계수와 마찰 계수 결과로부터 각 받음각 조건에서의 박리, 천이 시작, 재부착 지점을 식별하여 Table 5에 정리하였으며, 받음각에 따른 각 위치들과 층류 박리 기포의 길이 변화를 Fig. 19에 그래프로 나타내었다. 받음각 3도까지는 윗면에서 박리 이후 재부착 되지 않아 층류 박리 기포가 형성되지 않으며, 받음각 4도부터는 재부착이 발생하여 박리 기포가 형성됨을 알 수 있다. 받음각 증가에 따라 박리, 천이, 재부착 지점이 모두 상류 방향으로 이동하는 경향을 확인할 수 있다. 박리 기포가 형성되는 받음각 4도 이상에서는 받음각 증가에 따라 박리 기포의 길이가 감소하는 경향을 확인할 수 있으며, 받음각 4도에서는 박리 기포가 익형 시위 길이의 약 48.6%를 차지하지만 받음각 8도에서는 29.6% 정도로 짧아진다. 본 연구에서 고려한 약 81,868 수준의 낮은 레이놀즈수 조건에서는 익형 윗면에서 발생하는 박리, 천이, 재부착 현상과 이에 따라 형성되는 층류 박리 기포의 위치와 길이가 받음각에 따라 상당히 크게 변화함을 확인할 수 있다.
Table 5.
Separation, transition onset, and reattachment points with respect to angle of attack
선정한 몇 가지 받음각 조건에 대해 x-y 평면상에서의 시간 평균 속도 크기 및 RMS 속도 크기 분포를 Fig. 20에 나타내었고, Table 5에 제시한 주요 지점들을 함께 표시하였다. 앞에서 제시한 분석 내용과 동일하게 받음각 1도와 3도 조건의 경우 박리 유동이 재부착 되지 않아 박리 기포가 형성되지 않는 유동장의 특징을 확인할 수 있다. 시간 평균 유동 관점에서는 박리된 유동이 재부착으로 닫히지 않고 익형 뒷전에서 열려 있는 형태를 이루고 있으며, 별도로 수행한 시간 별 순간 속도장 분석으로부터 뒷전에서 박리 유동의 지속적인 흘림이 발생함을 확인하였다. 박리 기포가 형성되지 않는 조건의 경우, 박리 이후 박리 전단층(separated shear layer)의 역류 유동 영역 두께가 증가하다가 천이 시작 지점부터 증가하지 않는 특징을 볼 수 있다. 박리 기포가 형성된 경우, Fig. 10에서도 확인한 것과 같이 역류 유동 영역의 두께가 천이 시작 지점 근방에서 최대가 되며 그 이후로 감소하게 됨을 알 수 있다. 또한 천이 시작 지점 이전까지는 위아래로 진동하는 층류 박리 유동에 의해 RMS 속도 크기가 평균 속도 프로파일의 변곡점 높이 근방에 집중되어 나타나지만, 천이 시작 지점 이후로는 전단층 두께 방향 전체에 걸쳐 빠르게 증가하는 천이 과정의 특징이 모든 받음각에서 공통적으로 관찰된다. 박리 기포가 형성되는 받음각 조건에서는 재부착 지점 근방에서 RMS 속도의 최대값이 나타난다. 재부착 이후에는 하류 방향을 따라 RMS 속도의 최대 크기는 감소하면서 전단층 두께 전체에 걸쳐 자유류 속도의 약 20% 내외 수준으로 균일해지는 경향이 관찰된다. 특정 받음각 이상부터는 박리 기포가 형성되며, 받음각이 증가할수록 박리 기포의 길이가 짧아지면서 위치가 상류로 이동하는 경향을 확인할 수 있다.
Table 6에 받음각 별 시간 평균 공력계수를 정리하였고, Fig. 21에는 이를 그래프로 나타내었다. 양력계수는 받음각에 따라 증가하나 높은 레이놀즈수 조건과는 달리 비선형적 증가 특성을 일부 나타낸다. 받음각 3도와 4도 사이에서의 양력 계수 기울기가 다른 구간에 비해 국소적으로 약간 크게 나타남을 볼 수 있다. 이는 받음각 4도 이상 조건들에서는 익형 윗면에서 재부착이 발생하며 박리 기포가 형성됨에 따른 결과로 분석된다. 항력계수와 피칭모멘트 계수의 경향에서도 박리 기포의 형성 여부에 따른 차이를 확인할 수 있다. 재부착이 되지 않는 받음각 3도 이하 조건에서는 받음각 증가에 따라 항력계수가 증가하고 피칭모멘트 계수가 감소하는 경향을 보인다. 반면 받음각 4도부터는 받음각 증가에 따라 항력계수가 감소하고 피칭모멘트가 증가하는 반대 경향으로 전환됨을 알 수 있다. 박리 기포가 형성되기 시작하는 받음각 4도부터는 받음각 증가에 따라 박리기포의 길이가 감소하면서 압력 항력이 빠르게 감소하여 전체 항력계수가 감소하는 경향을 보인다. 박리기포의 위치 또한 상류 방향으로 이동하면서 익형 윗면의 박리 기포 영역에 형성되는 pressure plateau의 저압부 구간 길이가 감소함과 동시에 상류로 이동하면서 익형 피칭 다운 모멘트에 대한 기여가 빠르게 감소함에 따라 피칭 모멘트가 회복되는 경향을 보이게 된다. 받음각 4도 이상부터 받음각 증가에 따라 항력계수가 감소하는 경향으로 인해 양항비 증가율이 크게 상승함을 알 수 있다. 종합적으로 박리 기포의 형성 여부에 따라 받음각에 따른 공력계수의 특성과 변화 경향이 크게 달라짐을 확인하였다.
Table 6.
Time-averaged aerodynamic coefficients at various angles of attack
Fig. 22에는 drag polar를 비교 목적으로 수행한 RANS 해석 결과들과 함께 나타내었다. RANS 해석의 경우 2차원 해석을 수행하였으며, 정렬 형태의 C-H 타입 격자 구성으로 약 16만 8천개의 격자를 사용하였다. 익형 윗면과 아랫면의 표면 격자는 각각 300개를 사용하였고 y+는 0.5 이하 수준이 되도록 하였다. 난류모델은 항공 분야에서 많이 활용되는 1-, 2-, 4-방정식 모델의 대표 모델로써 각각 S-A, k-ω SST, transition SST(γ-Reθt)을 고려하였다. 압력 기반 해석자로 정상 유동 해석을 수행하였으며, 수치기법으로는 SIMPLE 알고리즘을 사용하고, 공간 차분에는 압력에 대해 standard, 나머지 유동 변수에 대해 2차 정확도의 차분법을 적용하였다. 경계조건으로는 일반적인 경계조건의 적용 예로 자유류 난류강도 0.1%를 기본값으로 적용하였으며, 비교/평가 목적으로 k-ω SST 모델 해석의 경우 선행 연구[20]를 참고하여 수치적 천이와 박리 발생이 확인된 바 있는 매우 낮은 자유류 난류강도 난류점성비(viscosity ratio) 경계조건을 각각 0.0001%과 10-9 수준의 값을 적용하여 추가 해석하고 이 케이스를 low Tu & VR 케이스로 명명하였다. LES 해석 결과로부터 획득한 drag polar는 높은 레이놀즈수 영역에서 일반적으로 관찰되는 전형적인 포물선 형태와는 매우 다른 형태를 보임을 알 수 있다. 받음각에 따라 복잡한 비선형적인 변화 경향을 보이며, 익형은 다르지만 Fig. 2에서 볼 수 있는 레이놀즈수 105 조건에서의 복잡한 변화 경향과 유사함을 알 수 있다. 반면 완전 난류 유동을 가정하는 S-A와 k-ω SST 모델을 적용한 RANS 해석 결과의 경우 전형적인 포물선 형태의 drag polar를 보인다.
대표 케이스로 받음각 4도 조건을 선정하여 LES와 RANS 해석으로부터 획득되는 표면 압력계수 및 마찰 항력 계수 분포를 비교하여 Fig. 23에 나타내었다. S-A와 k-ω SST 모델을 적용한 RANS 해석 결과의 경우 pressure plateau 등 층류 박리 기포 형성에 따른 전형적인 표면 압력 분포의 특징이 관찰되지 않는 것을 볼 수 있다. 익형 윗면의 표면 마찰 계수에서도 박리 발생 시의 특징인 부호 변화가 나타나지 않음을 알 수 있으며, 해석을 수행한 다른 받음각 조건결과들에서도 층류 박리 기포 형성이 동일하게 예측되지 않음을 확인하였다. S-A 모델의 경우 익형 표면 전체에서, k-ω SST 모델은 상류에서부터 일찍 경계층을 난류 상태로 예측하며, 이에 따라 층류 경계층의 박리부터 시작하는 일련의 LSB 형성 과정을 모사하지 못하는 것으로 분석할 수 있다. k-ω SST low Tu & VR 모델 결과에서는 마찰 계수가 상류에서는 층류 경계층과 유사한 수준과 경향을 보이다가 상대적으로 하류에서 수치적 천이가 발생하면서 앞서 두 모델 대비 뒤늦게 난류 경계층 수준으로 변화함을 볼 수 있다. 이에 따라 더 높은 일부 받음각에서는 수치적 천이 이전에 박리가 먼저 발생하는 경우도 확인되었으며, 이러한 받음각 조건들의 결과가 Fig. 22에서 확인할 수 있는 높은 양력계수 영역(양력계수 약 1.2 근방)에서 급변하는 drag polar의 특징을 발생시키는 것으로 확인되었다. 하지만 박리, 재부착 발생 여부와 위치 등 주요 유동 현상에 대한 예측이 LES 결과와 차이가 크며, 물리적으로 타당한 유동장을 예측한 것이라기 보다는 수치적 결과인 것으로 분석된다. Transition SST 모델 결과의 경우 박리 지점이 LES 결과와 매우 유사하며, 천이는 LES 대비 다소 상류에서 시작하는 것으로 예측되었음을 알 수 있다. 천이 구간의 마찰계수의 최소값이나 변화 경향 등은 유사하지만 재부착 지점은 뒷전 근방으로 예측하여 이에 따라 긴 LSB를 나타내었다. 하지만 LSB 형성 과정인 일련의 유동 현상들을 예측하고 있으며, 표면 압력계수 분포 또한 RANS 해석 결과들 중 유일하게 익형 윗면에서 LSB 형성 시의 특징을 나타내는 것을 확인할 수 있다. 마찰 계수 결과로부터 k-ω SST low Tu & VR 모델과 transition SST 모델은 익형 아랫면의 경계층을 층류 상태로 예측하며, S-A 모델은 난류 경계층으로 예측한다고 볼 수 있다. k-ω SST 모델의 결과는 익형의 중간 지점 근방에서 수치적 천이가 예측됨에 따라 마찰 계수가 층류 수준에서 난류 수준으로 변화하는 것을 볼 수 있다.
Transition SST 모델의 결과는 박리와 천이 및 재부착 등 필수적인 유동 현상들을 포착하며, 받음각에 따라 재부착 발생 여부 및 박리 기포의 위치와 길이 변화에 따라 공력계수가 변화하고, 그 결과로써 drag polar가 복잡한 형태를 보인다. 하지만 정량적으로는 LES 결과와 상당 수준의 차이를 보이며, 정성적 측면에서도 두 개의 국소적인 최소 항력계수를 갖는 특징은 동일하나, 받음각에 따른 변화 경향이나 형태가 유사하다고 보기에는 제한적이다. 천이 모델을 적용한 RANS 해석은 낮은 레이놀즈수 조건에서의 박리 기포 형성과 변화를 예측하긴 하나 정확한 위치와 거동 예측에는 한계가 있으며 그에 따라 공력계수 또한 불확실성이 높으며 엄밀한 정확도에 측면에서는 신중한 검토와 활용이 필요하다고 판단할 수 있다. 그럼에도 불구하고 완전 난류 모델을 적용한 결과들과 비교하면 박리 기포 형성에 따른 항력계수 증가를 상대적으로 LES 결과에 가까워 지는 방향으로 예측하며, drag polar를 단순 포물선 형태가 아닌 복잡한 변화 경향을 갖는 형태로는 예측하는 측면을 고려할 때 공학적 활용 관점에서는 낮은 레이놀즈수 조건에 대한 익형 유동 해석 시 천이 모델의 적용은 활용 가능한 선택지 중 하나로 고려할 수 있을 것으로 판단된다.
3.4 레이놀즈수 영향
받음각을 4도로 고정하고 Table 1에 제시한 여러 속도 조건들에 대하여 해석을 수행하였다. 레이놀즈수의 범위는 약 51,300부터 87,300까지이다. Fig. 24에는 해석의 마지막 시간에서 순간 유동장의 iso-Q 면을 각 레이놀즈수에 대하여 도시하였다. 레이놀즈수 증가에 따라 천이 발생 지점이 상류로 이동하면서 더 많은 영역을 난류 유동이 차지하는 경향을 확인할 수 있다. 또한 레이놀즈수가 높을수록 익형 위에서 더 작은 유동 구조들이 형성되어 완전 난류 유동에 가까운 상태가 형성되는 것을 볼 수 있다.
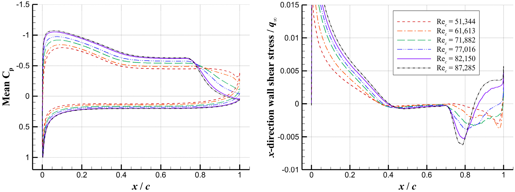
받음각에 따른 변화에서 살펴본 것과 동일하게, 각 레이놀즈수 별 익형 표면 위 평균 압력계수와 윗면에서의 x-방향의 무차원 전단응력 분포를 Fig. 25에 비교하여 나타내었다. 평균 표면 압력계수와 전단 응력 분포로부터 박리, 천이 시작, 재부착 지점들을 식별하였으며 Table 7에 값들을 제시하고 레이놀즈수에 따른 그래프로 Fig. 26에 나타내었다. 레이놀즈수 약 72,000 이하에서는 박리 유동이 재부착되지 않는 것으로 확인되었다. 해석한 조건 내 재부착이 발생하지 않는 조건에서는 박리가 시위의 36% 지점 근방에서 발생하며 레이놀즈수에 따라 큰 변화가 없는 것으로 나타났으며, 박리 지점은 거의 동일하지만 레이놀즈수 증가에 따라 천이 시작 지점은 조금씩 상류 지점으로 이동하는 경향을 알 수 있다. 레이놀즈수 약 77,000 이상에서는 재부착이 발생하여 박리 기포가 형성됨을 알 수 있다. 레이놀즈수 증가에 따라 박리 지점은 하류로, 재부착 지점은 상류로 이동하면서 박리 기포의 길이가 감소하는 경향을 확인할 수 있다. 선정한 몇 가지 레이놀즈수에 대해 x-y 평면상에서의 시간 평균 속도 크기 및 RMS 속도 크기 분포를 나타낸 Fig. 27를 통해서도 해당 경향과 특징을 확인할 수 있다. 해석 범위 내의 모든 레이놀즈수에 대하여 2.1절에서 분석하고 제시한 유동 기본 특징들이 동일하게 나타나며, RMS 속도 크기 분포 및 박리 전단층의 변화와 천이 시작 및 재부착 지점과의 연관성과 특성들도 받음각 영향에 대한 분석에서와 동일하게 확인되었다.
Table 7.
Separation, transition onset, and reattachment points at several Reynolds numbers
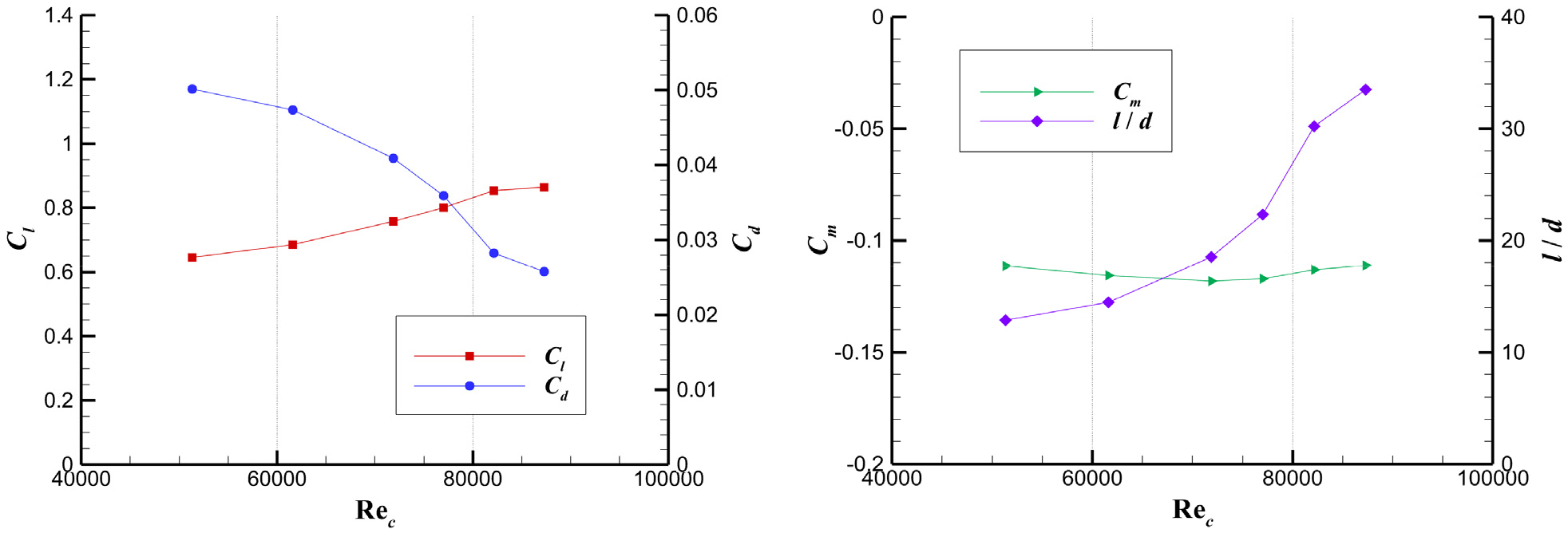
시간 평균 공력계수를 Table 8에 제시하고 레이놀즈수에 따른 변화 그래프를 Fig. 28에 도시하였다. 레이놀즈수 증가에 따라 양력계수는 증가하고 항력계수는 감소하는 경향을 확인할 수 있다. 이에 따라 레이놀즈수 증가에 따라 양향비가 빠르게 증가한다. 받음각에 따른 변화 경향에서 관찰한 것과 같이 레이놀즈수에 따른 피칭모멘트의 변화 경향도 박리 기포 생성 여부에 따라 증감 경향이 반대로 나타나긴 하나 변화의 정도는 상대적으로 미미한 것으로 나타난다. 공학적 관점에서는 레이놀즈수가 105 이하 일 때 레이놀즈수가 감소함에 따라 익형의 공력 성능인 양항비가 빠르게 저하됨을 주목할 수 있으며, 레이놀즈수 약 50,000 근처에서 양항비가 10 수준으로 감소할 수 있음을 시사한다. 따라서 초소형 MAV나 고고도 성층권 드론 등 비전통적 운용 조건의 비행체나 초저밀도 조건인 화성 대기에서 비행하는 비행체 개발에서는 날개 및 로터/프로펠러의 공력 설계 및 성능해석에 있어 낮은 레이놀즈수 조건에서의 해석 기법의 정확도와 신뢰도를 신중하게 검토하고 적용할 필요가 있을 것으로 판단할 수 있다.
Table 8.
Time-averaged aerodynamic coefficients at several Reynolds numbers(α = 4°)
4. 결 론
본 연구에서는 5×104 ~ 1×105 범위 수준의 저 레이놀즈수 조건에서의 익형 유동 특성과 공력 성능을 분석하기 위해 LES 해석을 수행하였다. 고정밀 수치 모사를 이용한 선행 해석 사례가 없는 DAE-51 익형을 대상 형상으로 선정하였다. 레이놀즈수 약 81,900, 받음각 4도 조건을 기본 조건으로 선정하고 해석 결과로부터 유동장을 분석하였다. 익형 표면 위 압력 계수와 마찰 계수 분포로부터 익형 윗면에서 전형적인 층류 박리 기포 유동장의 특징을 확인하였으며, 전단 응력 분포로부터 층류 박리, 천이 시작, 재부착 지점을 식별하기 위한 기준을 결정하였다. 평균속도 크기와 RMS 속도 크기 장으로부터 박리 기포의 생성과 천이 시작 지점 근방에서의 특징을 확인하였다. 전단층 평균 속도 프로파일로부터 박리 이후 하류 방향으로 역류 영역의 범위와 변화 특성을 확인하였다. 또한 평균 속도와 RMS 속도 프로파일의 특징으로부터 박리 이후 천이 시작 지점 이전까지는 진동하는 층류 박리 유동 상태이며, 천이 지점 이후에는 난류 유동의 특징으로 빠르게 변화하여 천이 발생을 확인하였다. 또한 변곡점과 역류 속도 영역을 갖는 박리 전단층의 속도 프로파일에 따라 천이를 유발하는 1차 불안정성이 Rayleigh 불안정성과 Kelvin-Helmholtz 불안정성임 을 파악하였다. 순간 유동장의 iso-Q 면과 레이놀즈 응력 등을 종합적으로 분석하였으며, 마찰 계수로부터 식별한 천이 지점이 유동장 및 유동 구조와 잘 일치하고 적절함을 재확인하였다.
격자 의존성 평가로부터 LES 해석 결과에 격자 조밀도가 미치는 영향을 파악하였으며, 일정 수준 이하의 격자 조밀도에서는 필수 유동 현상들을 포함하여 박리 기포의 형성을 포착할 수 없음을 확인하였다. 필수 유동 현상을 포착가능한 수준 이상에서는 격자 조밀도가 증가할수록 결과 변화량이 감소해 가면서 특정 결과로 근접해 가는 경향을 확인하였다. 향후 유사한 연구 또는 해석을 수행할 경우 LES 해석 결과의 신뢰도 확보를 위해서는 적절한 격자 수준의 설정이 필요함을 알 수 있었으며, 본 연구에서 평가하고 분석한 격자 의존 결과들을 유용하게 참고 가능할 것으로 판단된다.
고려한 받음각 범위(0 °~ 8° )에서는 박리, 천이 시작, 재부착 지점이 받음각에 따라 크게 달라지고 그에 따라 박리 기포의 위치와 길이가 상당히 변화하였다. 박리 기포의 형성 여부, 박리 기포의 위치와 길이에 따라 익형 표면의 압력 계수와 마찰 계수 분포도 크게 달라졌다. 낮은 받음각 조건에서는 재부착이 발생하지 않아 박리기포가 생성되지 않았고, 받음각 4도부터는 재부착 및 박리 기포가 생성되며 받음각 증가에 따라 박리 기포가 상류가 이동하고 길이가 짧아지는 경향을 보였다. 또한 박리 기포 생성 여부와 거동은 공력 계수에도 직접적인 영향 미치는 것을 확인하였다. 재부착이 발생하지 않는 조건에서는 긴 박리 구간에서 발생하는 높은 압력 항력에 의해 양항비가 상당히 저하되어 나타나며, 박리 기포 생성 시 양항비가 개선되며 받음각 증가에 따라 빠르게 증가하였다. 피칭 모멘트는 재부착 발생 조건을 기준으로 받음각에 대한 변화 경향이 반대로 나타났다. 받음각에 따라 민감하게 변화하는 유동장 특성과 그에 따른 공력계수의 변화는 저 레이놀즈수 조건에서 drag polar가 복잡한 형태로 변화하는 주된 원인임을 확인하였다. 난류 모델 또는 천이 모델을 적용한 RANS 해석은 저레이놀즈수 조건에서의 유동장 및 공력 성능의 변화와 특징을 제대로 포착하는데 한계가 있음을 확인하였다. 이에 따라 이러한 레이놀즈수 영역에서의 공력 성능 분석과 예측에는 보편적 공학 도구로 사용되는 RANS CFD의 한계를 인지하고 결과의 정확도에 대한 신중한 검토를 바탕으로 활용할 필요가 있음을 알 수 있다.
레이놀즈수 감소 효과의 경우, 일정한 레이놀즈수에서의 받음각 감소 효과와 경향이 유사하게 확인되었다. 레이놀즈수가 감소할수록 박리 기포의 길이 또는 박리 구간이 길어지거나 재부착이 발생하지 않아 압력항력에 의해 항력이 크게 증가하고, 양력이 감소하며 그에 따라 양항비가 크게 저하됨을 확인하였다. 이는 레이놀즈수가 낮을수록 비행체 성능 해석과 설계에 있어 저 레이놀즈수 공력 특성에 대한 이해를 바탕으로 신중한 접근이 필수적임을 시사한다.
또한 상용 CFD 코드를 활용한 고정밀 유동 해석의 타당성을 확인하였으며, 기존에 수행되지 않은 형상에 대한 해석 데이터를 확보함으로써 저 레이놀즈수 익형 유동에 대한 물리적 이해를 제고하고 영역을 확장하였도 평가할 수 있다. 획득한 유동 해석 데이터는 향후 낮은 충실도 해석 기법들의 저레이놀즈수 공력 특성을 반영한 예측 모델 개발에 활용 가능한 데이터 축적에도 기여하였다고 사료된다. 결과로부터 파악한 변화 경향과 특성은 저 레이놀즈수 익형 및 비행체의 성능 분석, 공력 설계, 최적화 등을 위한 기초 자료로도 활용될 수 있을 것으로 보인다.






























