1. 서 론
2. 전산해석 기법
2.1 유동 해석(Air Solver)
2.2 액적 충돌 해석 기법(Droplet Solver)
2.3 결빙 증식 해석 기법(Ice Solver)
3. 전산해석 격자 생성 및 조건
3.1 형상 및 경계조건
3.2 해석 조건
4. 전산해석 결과
4.1 액적장 해석 결과
4.2 결빙 증식 해석 결과
4.3 공력 영향성 분석
4.4 Non-SLD 조건과 SLD 조건 비교 분석
5. 결 론
1. 서 론
최근 무인 항공기(Unmanned Aerial Vehicle; UAV)의 활용이 증가하고 있으며, 그에 따라 군용 UAV 이외의 상업용 UAV 또한 급속히 성장하고 있다[1,2]. UAV는 사람이 직접 탑승하지 않기 때문에, 고립된 열악한 환경에서도 운용하기에 적합하다. 하지만 이러한 극한 환경에서 비교적 느린 속도로 장시간 임무를 수행하는 무인기는 결빙 환경에 노출될 가능성이 높다. 항공기 결빙은 항공기가 운항 중 또는 지상에서 비 또는 구름 속의 과냉각된 액적(Supercooled Droplet)과 충돌하여 항공기 표면에 액적이 부착되어 형성된다. 결빙은 액적량(Liquid Water Contents; LWC), 액적의 크기(Mean Volume Diameter; MVD), 운항 속도(Velocity), 온도(Temperature), 결빙 환경에 노출된 시간(Exposure Time) 등에 의해 다른 형성 양상을 보인다. 결빙은 대표적으로 Glaze Ice, Rime Ice, Mixed Ice로 분류할 수 있다. Glaze Ice는 주로 비교적 높은 LWC, MVD, 속도, 온도에서 나타나며, 빙점 근처의 온도와 높은 LWC, MVD로 인해 결빙 증식이 느리게 진행된다. 이러한 특성 때문에 액적이 표면 위를 흐르며 결빙이 발생하고 단단하고 투명한 형태를 띠며 매우 불규칙한 형상을 가진다. Rime Ice는 주로 –15°C 이하의 온도, 비교적 낮은 LWC, MVD, 속도에서 나타난다. Rime Ice는 과냉각된 액적이 항공기에 충돌함과 동시에 급속히 형성되어 항공기 표면을 따라 유선형으로 형성되며 얼음 사이의 공기 방울로 인해 불투명한 형상을 띤다[3]. Mixed Ice는 중간 정도의 온도, LWC, MVD, 속도에서 형성되고, Glaze Ice와 Rime Ice가 섞인 형상을 띤다. 다양한 형태로 항공기에 부착된 결빙은 항공기의 형상을 변형시켜 공력 성능 감소, 조종 안정성 저하 등의 부정적인 영향을 미친다[4,5,6]. 결빙 현상의 영향으로 항공기가 추락한 사고 사례가 있으며, 지상에서 항공기 결빙 현상이 발생하여 이륙이 지연될 수 있다.
실제 결빙 현상으로 인한 사고 사례로 1990년대 UAV 착빙으로 인한 충돌 사례가 보고된 바 있다[7]. 또한, 1997년 Comair Flight 3272편은 고도 7,000 ft에서 4,000 ft로 하강하던 중 Leading Edge에 서서히 결빙이 증식하였고, 요구되는 최소 속도로 비행하지 못해 조종력을 잃고 추락하여 승객 26명과 승무원 3원이 전원 사망하였다[8]. 이러한 결빙으로 인한 항공기 사고를 예방하기 위해 Federal Aviation Regulations(FAR) Appendix C 등을 통해 결빙 감항 인증을 실시하고 있다. 하지만 Appendix C에 명시되지 않은 결빙 조건으로 인한 사고 사례 또한 존재한다. 한 가지 예로, 1994년 인다애나폴리스에서 시카고로 향하던 ATR 72-212 여객기는 갑작스러운 심각한 Roll Upset으로 인해 조종성을 잃고 지상으로 추락하여 항공기가 완파되고 탑승자 68명이 전원 사망하였다[9]. 조사 결과 과냉각된 대형 액적(Supercooled Large Droplet) 환경에서 결빙으로 인한 사고로 밝혀졌다. 이를 계기로 미국 연방항공청(FAA)는 Fig. 1과 같이 2014년 FAR에 Appendix O를 추가하여 SLD에 대한 감항 인증을 실시하고 있다[10]. Appendix O는 SLD 조건에 대하여 Freezing Drizzle Environments와 Freezing Rain Environments로 나누었으며, MVD의 크기에 따라 영역을 세분화하였다.

Fig. 1.
FAR Appendix O[10], freezing drizzle environments(right), freezing rain environments(left), LWC
SLD는 일반적인 액적에 비해 크기가 크기 때문에 일반적인 결빙 환경의 액적과 다른 물리적 특성을 보인다[11]. 먼저, 액적이 벽면에 충돌할 때 Stick, Rebound, Spread, Splash와 같은 충돌 특성들이 나타나는데, 특히 Rebound와 Splash의 특성이 잘 드러나며 이로 인한 질량 손실률을 고려해야 한다. 따라서 Wall-Droplet Interaction을 적절히 반영하여야 한다. 두 번째로 액적의 변형을 고려해야 한다. 작은 액적들과 달리 전단력으로 인해 액적에 변형이 일어나며, 이에 따라 구형이 아닌 타원 형태의 형상을 갖는다. 따라서 액적의 항력을 계산할 때 타원 평면의 항력과 구의 항력으로 나누어 고려하게 된다. 세 번째로 큰 크기로 인해 액적이 분해됨을 고려해야 한다. 액적이 비행할 때 압력과 전단력에 의해 액적이 여러 가지 크기의 작은 액적들로 분해된다. 마지막으로 중력에 의한 속도 효과를 고려할 필요가 있다. 작은 크기의 액적은 중력의 영향을 무시할 수 있지만, SLD의 경우 중력의 영향을 고려해야 한다. 이에 따라 액적에 중력 방향의 속도가 발생하고, 이는 액적장 해석에서 LWC 분포와 Collection Efficiency 등에 영향을 미친다. 따라서 SLD 조건의 물리적 특성을 반영하여 해석을 진행해야 한다.
SLD의 영향을 적용하기 위해 여러 가지 연구가 진행된 바 있다. Honsek과 Habashi 등[12]은 Papadakis 등[13]이 NASA Glenn’s Icing Research Tunnel에서 수행한 액적 충돌 시험에 대해 Eulerian 기반의 프레임에서 SLD의 질량 손실률을 포함한 축적률을 분석하였다. 해당 연구에서 7가지 서로 다른 MVD에 대해 FENSAP-ICE의 DROP3D 모듈의 검증을 진행하였으며, 액적-벽 상호작용이 충분히 유효한 결과를 보였다. 또한, Iuliano 등[14]은 Eulerian 기반 액적장 해석기법 내에 SLD의 물리적 특성을 구현하고 통합하고자 하였다. 액적의 항력, 액적-벽 충돌 모델, Splashing and Rebounding Model을 모델링하여 SLD의 물리적 특성을 구현하였으며, 풍동시험을 통해 개발된 해석 기법을 검증하였다. 해외에서 Raj[15] 등은 SLD 조건과 Non-SLD 조건에서 Multi-element Airfoil의 결빙 증식과 공력 특성을 연구하였다. 연구 결과 SLD와 Non-SLD 조건에서 얼음 축적과 공력 저하 사이에 반직관적 결과가 나타났으며, Runback Ice가 항공기 설계 시 결빙 보호 시스템 설계에 필수적임을 보여주었다. 또한, 본 연구의 선행 연구로 무인기 전기체에 대해 결빙해석을 진행한 연구가 진행된 바 있다. Lee 등[16]은 FAR Part 25 Appendix C의 Continuous Maximum(CM) 조건에서 순항 조건(받음각 4°)에 대하여 두 조건(-4°C, LWC 0.31 g/m3와 –20°C, LWC 0.11 g/m3)에서 결빙이 정찰용 무인기의 공력 특성에 미치는 영향을 전기체 단위로 분석하였다. 그 결과 최대 양력계수가 각각 65%, 26% 감소하였으며, 항력은 290%, 209% 증가하였고, Endurance Factor는 70%, 51% 감소하였다.
SLD 조건과 Non-SLD 조건에서의 결빙 특성을 비교하는 것은 각 조건의 액적 크기가 항공기 결빙 방지 시스템 설계 및 감항 인증에 미치는 영향이 상이하기 때문에 중요한 연구이다. 또한, SLD 조건과 Non-SLD 조건을 비교함으로써 각 조건에서의 결빙 특성을 명확히 이해하고 이에 효과적으로 대처할 필요가 있다. 따라서 본 연구는 앞서 수행했던 연구[16]의 후속 연구로서, 무인기(MQ-1 Predator)와 유사한 형상에 대하여 전기체 영역에서 SLD 조건 에서의 항공기의 결빙 현상을 전산모사하였고, 이에 따른 결빙의 공력 영향성을 Non-SLD조건과 비교 연구하였다. SLD 조건은 Appendix O Freezing Rain 조건에 따라 온도와 LWC, MVD 조건을 결정하였으며, 항공기 상승 조건을 고려하여 해석을 진행하였다. Non-SLD와 비교 분석하기 위해 온도, 받음각, 결빙 환경 노출 시간은 동일하게 유지면서 LWC와 MVD를 Appendix C의 결빙 조건으로 변경하여 비교군을 생성하였다. 각 Case에 대하여 유동장 해석, 액적장 해석, 결빙 증식 해석 순서로 전산해석을 진행하였다. 결빙 증식 해석 후 결빙이 부착된 항공기 형상에 대하여 유동장 해석을 진행하고 공력계수를 산출하여 공력 영향석을 분석하였다.
2. 전산해석 기법
2.1 유동 해석(Air Solver)
본 연구에서는 ANSYS FLUENT 2023 R1 소프트웨어를 활용하여 유체 흐름의 정밀한 해석을 수행했다. 결빙 연구를 위한 첫 단계로, 액적이 포함되지 않은 기본 유동장의 시뮬레이션을 진행했으며, 이는 결빙 분석의 기초 데이터로 사용됐다. 추가적으로, 액적의 분포 및 결빙 현상에 대한 상세한 해석을 위해 열 유속과 열전달 계수의 정확한 예측이 필요했다. 이를 위해, 본 연구에서는 압축성 및 점성 효과를 고려한 3차원 압축성 Reynolds-Averaged Navier-Stokes(RANS) 방정식을 적용했다. 관련 지배방정식은 다음과 같이 표현된다.
사용된 수식 중 , , 𝜌 는 속도, 압력, 밀도를 나타내며, ,, , , , 는 열전도도, 온도, 난류에 의한 열전도도, 엔탈피, 점성 응력, 난류 항을 나타낸다.
수치 해석 기법으로는 정상 유동 상태의 해석, 압력 기반 접근법, 2차 풍상차분법 그리고 내재적 시간 전진법을 적용하였다. 플럭스 계산에는 Riemann 근사해법 중 Roe FDS를 사용하였고, 난류 모델링에는 시뮬레이션 효율이 높아 계산 시간이 짧은 Spalart-Allmaras 모델을 사용하였다.
2.2 액적 충돌 해석 기법(Droplet Solver)
액적 충돌 해석 기법에는 ANSYS FENSAP-ICE의 DROP3D를 사용하였다[17]. DROP3D에 의해 사용된 액적 충돌 과정의 특정 Eulerian 공식은 Bourgault 등에 의해 제시된 것처럼, 분산된 액적 상의 연속 및 운동량 방정식을 나타내는 편미분 방정식으로 산출된다[18]. 본 연구에서는 SLD 상태에서 액적 충돌 거동을 시뮬레이션하기 위해 Honsek에 의해 제시된 것처럼, 종단 액적 속도, 액적 변형 및 붕괴, 액적-벽 상호작용을 반영한 조건으로 해석을 진행하였다[19].
여기서 𝛼는 액적의 체적비이며, , 는 액적 속도와 공기의 속도, , , 는 공기와 물의 밀도 및 Collision Contact Time, , , 는 Froude Number, 항력계수, 액적 관성 매개변수를 의미한다. 운동량 방정식의 우변 첫 번째 항은 액적에 작용하는 항력을 나타낸다. 이는 상대적인 액적 속도, 항력 계수, 그리고 레이놀즈수에 비례하며 액적 관성 매개변수에 반비례한다. SLD 조건에서는 공기역학적 전단력의 영향으로 변형되기 쉽기에 구형으로 유지되지 않는다. 따라서 Clift 등에 의해 제시된 SLD 조건에서 공기역학적 항력 증가를 설명하기 위해 확장된 항력 모델을 제안하였다[20].
함수 는 액적 붕괴 Weber Number로 정의된다.
매개변수인 와 는 각각 평판형 액적과 구형 액자의 항력 계수를 나타낸다. 식 (6)에 정의된 항력 계수는 낮은 Weber Number에서는 구형 입자의 항력 계수를 향하며, 높은 Weber Number에서는 평판형 액적의 항력 계수를 향하게 된다. 또한 레이놀즈수와 K, Froude Number는 아래와 같이 정의된다.
위 식에서 는 액적 지름, 𝜇는 공기 동점성(Dynamic Viscosity)이다. 운동 방정식의 두 번째 항은 중력에 의한 부력과 세 번째 항은 액적의 부피를 차지하는 공기 입자에 가해지는 힘이며, 액적-벽 상호작용을 고려하였다. Bai와 Gosman은 비행 중 결빙이 형성될 때, 액적-벽 상호작용은 Stick, Rebound, Spread, Splash와 같이 네 가지의 메커니즘이 발생할 것으로 정의하였다[21]. SLD 조건을 고려하지 않은 DROP3D는 Stick 및 Spread 메커니즘만 고려되어, Rebound 및 Splash를 고려하기 위해 준 경험식을 적용하였다. 본 연구에서는 Trujillo와 Lee에 의해 제시된 준경험식을 토대로 해석하였다[22]. 이는 Mundo에 의해 보고된 실험 데이터를 바탕으로 한 누적 확률 밀도 함수를 기반으로 2차 액적의 속도의 법선 및 접선 성분에 대한 경험식을 결정하였다[23]. 함수 와 는 다음과 같이 정의된다.
여기서 는 Splashing 매개변수이며, 은 Bouncing, 은 Splashing 상태 간의 구분을 뜻한다. 액적이 표면에 축적되는 비율을 나타내는 축적률(Collection Efficiency)은 다음 식과 같다.
FENSAP-ICE DROP3D 모듈의 SLD 모델은 Papadakis 등[13]이 NASA Glenn’s Icing Research Tunnel에서 수행한 액적 충돌 시험을 바탕으로 Honsek 등[12]에 의해 검증되었다. Honsek 등은 MS317 Airfoil에서 7개의 서로 다른 MVD에 대한 실험값과 전산해석 결과의 축적률 비교를 통해 SLD 모델이 유효함을 입증하였다.
2.3 결빙 증식 해석 기법(Ice Solver)
본 연구에서는 FENSAP-ICE의 ICE3D를 사용하여 결빙 증식을 모사한다. 이러한 방법론은 Messinger 모델을 기반으로 하며, 3차원 편미분 방정식인 결빙 증식 방정식을 토대로 액적이 물체 표면에 부착되어 착빙되는 과정을 모사할 수 있게 한다[17].
여기서 는 공기 중의 전단응력이며 는 물의 동적 점도를 의미한다. 액적이 물체 표면에 부딪힌 후 얼음으로 변하는 과정은 수막(Water Film) 두께에 대한 질량 보존과 에너지 보존의 원리를 사용하여 설명된다. 이러한 과정은 다음과 같이 기술된다[24].
공기의 전단응력 과 대류 Heat Flux 를 Air Solver을 통해 얻었으며 DROP3D을 사용하여 액적의 축적률과 액적 충돌 속도가 제공되었다. , , 는 증발 잠열, 0도에서의 융해 잠열, 승화 잠열로 물의 물리적 성질을 나타내며, , , 는 물의 밀도, 물의 비열, 얼음의 비열을 나타낸다. 온도는 , 고체 방사율은 𝜀, 볼츠만 상수는 𝜎(), 자유류의 속도는 , 증발 Mass Flux는 , 착빙 Mass Flux는 이다. 식 (16)의 우변 세 번째 항은 액적의 충돌로 인한 질량 전달, 증발과 착빙 과정에서의 물질 이동을 나타낸다. 또한, 식 (17)에서 우변의 첫 세 항은 각각 과냉각 액적의 열전달, 증발에 의한 열 손실, 그리고 착빙 때 발생하는 열전달을 설명한다. 추가적으로, 마지막 두 항은 각각 복사와 대류에 의한 열전달을 표현하며, 대류 열전달은 결빙 방지 시스템과 같은 열원에서 비롯된 것으로 간주하여 0으로 설정하였다.
FENSAP-ICE는 본 연구팀의 선행 연구[25]에서 사용된 바 있으며, 해당 연구에서 NASA Lewis Research Center에서 실시한 결빙 풍동시험 데이터와 FENSAP-ICE를 사용한 전산 해석 결과를 비교하여 검증하였다. 그 결과 최대 Ice Thickness와 Ice Horn의 높이 측면에서 결빙 풍동시험 데이터와 일치하는 경향을 보였으며, 이를 통해 FENSAP-ICE의 유효성을 입증하였다.
3. 전산해석 격자 생성 및 조건
3.1 형상 및 경계조건
본 연구에서 사용된 MQ-1 Predator 기체를 단순화하여 모델링한 CATIA 형상은 높이 2.1m, 길이 8.01m, 날개폭 14.8m, Taper Ratio 0.48, Anhedral Angle 8도의 MQ-1 Predator 기체 모델을 Fig. 2에 나타내었다. 전산 해석을 위한 격자는 Fig. 3과 같이 비정렬 격자로 구성하였으며, 격자 크기는 Mean Chord Length의 30배로 설정하였다. 격자 수는 약 3,500만 개로, 첫 번째 격자의 높이는 y+ ~ 1을 만족하도록 구성하였고, Boundary Layer 격자 층은 40층으로 설정하였다. 격자의 경계조건으로는 Velocity Inlet과 Pressure Outlet을 사용하였고, 항공기 표면에는 Wall Condition을 적용하였다. 좌우 대칭형인 MQ-1 Predator 단순화 기체를 해석 시간을 절감하기 위해 중심 축방향을 기준으로 형상을 절반으로 나눈 단면에 Symmetry Condition을 적용하였다.
3.2 해석 조건
미국 연방항공청(FAA)의 Federal Aviation Regulations(FAR) Part 25 Appendix O는 SLD 조건에 대한 감항 인증 규정이다. 해당 규정은 SLD 조건에 대하여 Freezing Drizzle Environments와 Freezing Rain Environments로 나누었으며, 세부적으로는 MVD 40 μm 보다 큰 조건과 작은 조건으로 나누어 규정하고 있다.
MQ-1 Predator 무인기가 이륙 후 20분 동안 적운형 구름에서 상승비행 한다고 가정하여 결빙 해석을 진행하였다. 이륙 후 고도 1,000 m인 상황을 가정하여 결빙해석을 진행하였다. Appendix O의 규정 조건 범위 내에서 총 2가지 Case를 선정하였다. SLD 조건에서 Freezing Rain Environments를 적용하여 Case를 Table 1과 같이 선정하였다.
Table 1.
Input variables for MQ-1 Predator icing simulation condition
Glaze Ice 형성 조건에 근접한 결빙 시뮬레이션을 수행하기 위해 기준 온도를 –4°C로 선정하였다. Glaze Ice는 일반적으로 0°C 근처에서 형성되며, -4°C는 이러한 조건을 재현하기에 적절한 온도로 판단하였다. 기준 온도보다 낮은 온도로 설정하면 결빙 형태가 Glaze Ice에서 Rime Ice로 변할 가능성이 있는데, 본 연구에서는 Glaze Ice 비교를 중점으로 두었고, 향후 연구에는 다양한 온도별 Case를 설정하여 Rime Ice 결빙 형상 비교 분석을 진행할 예정이다.
Non-SLD 조건과 SLD 조건을 비교하기 위해 Appendix C의 Continuous Maximum(CM) 범위의 Condition을 적용한 Case 1을 선정하였다. 액적 충돌 해석을 위해 Case 2는 Freezing Rain < 40 ㎛ Droplet Distribution을 적용하였고, Case 3는 Freezing Rain > 40 ㎛ Droplet Distribution으로 적용하였으며 각 분포의 평균 MVD는 각각 186 ㎛ , 533 ㎛ 이다. Appendix C 규정 조건을 적용한 Case 1은 Langmuir D 분포를 적용하였으며 MVD는 20 ㎛ 로 설정하였다. 실제 항공기 표면에 이물질과 액적 등이 부착될 수 있음을 가정하여 Surface Roughness를 0.0005 m로 해석을 수행하였다. 비행 조건은 무인기가 이륙하는 상황을 가정한 마하수 약 0.11, 속도 36 m/s, 고도 1000 m, 압력 89,874 Pa, 이륙 시 받음각 8도 조건에서 해석을 수행하였다.
또한 날개의 Span 방향에 따른 결빙 형상과 공력 특성을 비교 분석 하기 위해 Fig. 4와 같이 Section A, B를 정하였다. Section A는 동체의 중심축으로부터 3 m지점의 단면이고, Section B는 7 m 지점의 단면이다.
4. 전산해석 결과
4.1 액적장 해석 결과
항공기의 상승 조건을 고려하여 받음각 8°에서 유동장 해석 후 액적 충돌 해석을 진행하였다. 액적장 해석결과는 Collection Efficiency와 LWC 분포를 중심으로 비교하였다. Fig. 5은 각 Case에서 항공기의 LWC 분포를 나타낸 것이다. 모든 Case에서, 항공기의 Nose와 각 Wing Leading Edge 부분에서 항공기 동체에 비해 상대적으로 높은 LWC 분포가 관찰되었다. Non-SLD 조건인 Case 1은 SLD 조건인 Case 2, 3에 비해 LWC 분포범위가 좁게 형성된 것을 확인하였다. 또한 Case 1의 LWC가 상대적으로 높은 것을 확인하였는데 이는 Appendix C 조건의 LWC가 SLD 조건들에 비해 높게 설정된 이유로 판단된다. SLD 조건인 Case 2, 3은 LWC가 비교적 넓은 범위에 분포 되어있는 것을 확인하였다. MVD가 가장 큰 Case 3에서 LWC 분포가 가장 넓은 것을 확인하였는데 이는 MVD가 커짐으로써 SLD 효과가 더 크게 발생한 결과로 판단된다. MVD의 크기 증가는 액적이 공기역학적 전단력의 영향을 받아 변형되거나 분해되기 쉬워, 액적-벽 상호작용 시 Rebound 및 Splash 현상을 증가시킨다. 이러한 현상은 액적이 항공기 표면에 충돌한 후 고체로 얼어붙기 전에 튕겨 나가는 결과를 초래하여, 비교적 넓은 영역으로 액적이 분포가 되는 것으로 확인되었지만, 일부 영역에서는 액적이 상대적으로 적게 분포하는 경우도 있는 것을 확인하였다.
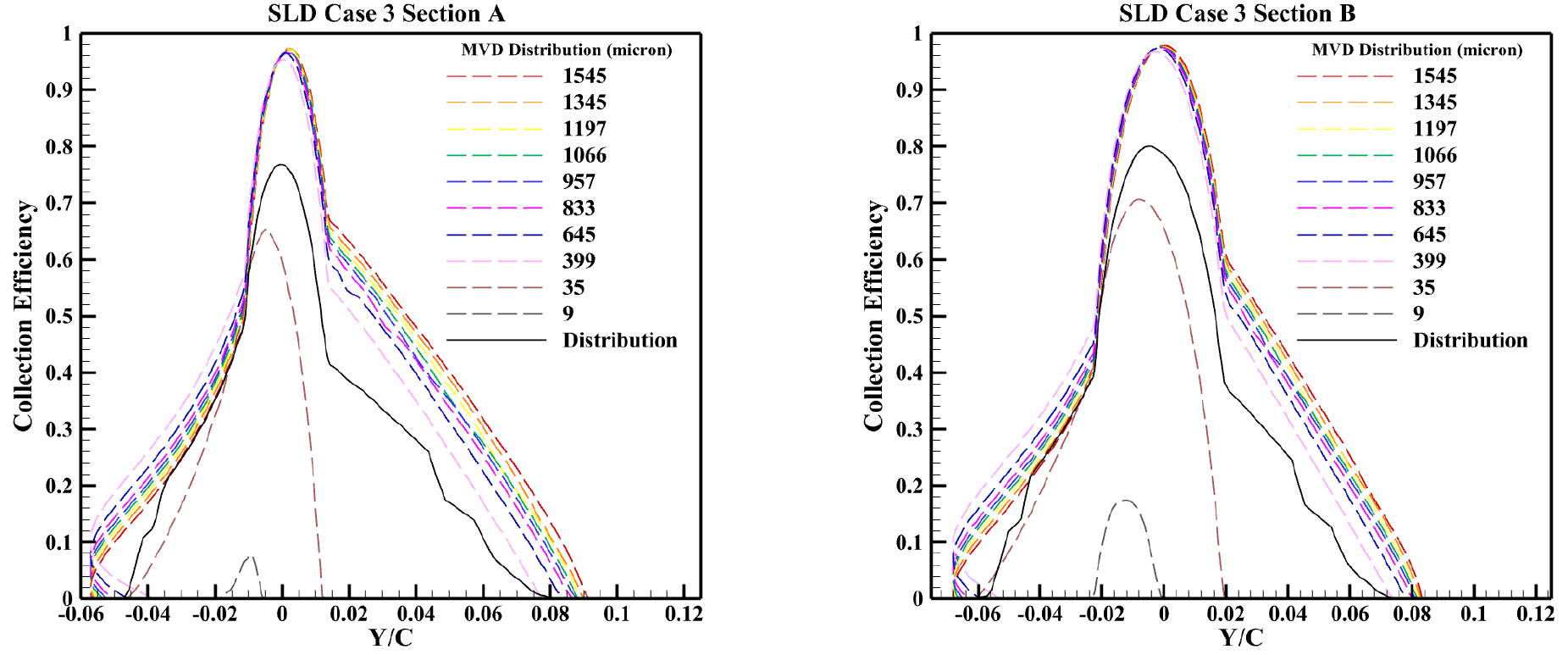
Fig. 6는 각 Case에서 Total Collection Efficiency를 나타낸다. MVD 분포에 따라 Collection Efficiency의 차이가 명확했으며, MVD가 가장 큰 Case 3에서 모든 위치에서 가장 높은 Collection Efficiency가 나타났다. 이는 축적률이 MVD 분포에 지배적인 영향을 받기 때문으로 판단된다. MVD < 40 ㎛과 Langmuir D 분포에서는 최대 Collection Efficiency가 비슷하게 나타났으나, Upper Surface에서 더 넓은 영역에 Collection Efficiency가 분포함을 확인하였다. MVD가 커질수록 중력의 영향에 의해 액적의 Terminal Velocity가 발생하여 아래 방향으로 속도가 형성되며, Upper Surface에서 Trailing Edge 방향으로의 영향이 증가함을 알 수 있다. 또한, Section A보다 Section B에서 더 높은 Collection Efficiency를 확인할 수 있는데, 이는 Taper Ratio에 의해 Wingtip에서 Wing Root보다 더 얇은 형상으로 인해 곡률이 커지기 때문으로 판단된다.
Fig. 7, 8은 각각 SLD Case 2와 SLD Case 3에서 MVD의 크기에 따른 Collection Efficiency를 나타낸다. 모든 Case에서 MVD가 클수록 Collection Efficiency가 크게 나타나며 Section B는 Section A와 유사한 경향을 보인다. 그러나, Total Collection Efficiency에서는 큰 차이를 보였는데, 이는 MVD 분포 비율이 다르기 때문으로 판단된다. MVD > 40 ㎛인 분포를 가지는 SLD Case 3에서 SLD Case 2보다 더 높은 Collection Efficiency가 나타나는 것으로 나타났다. 이에 따라 MVD가 Collection Efficiency에 큰 영향을 미치며, MVD가 큰 액적이 많이 분포할수록 Collection Efficiency가 높게 나타나는 것을 확인하였다.
4.2 결빙 증식 해석 결과
Fig. 9은 상승 조건인 받음각 8도 기준 각 Case 별 항공기 표면과 주익 끝단에 생성된 결빙 증식 결과를 나타낸다. 이전에 수행된 액적장 해석 결과를 기반으로, 항공기의 Nose, Wing Leading Edge에 결빙이 형성된 것을 확인하였다. Non-SLD 조건인 Case 2의 경우 Wing Leading Edge 부근에 SLD Case 2, 3 보다 큰 Ice Horn이 생성된 것을 확인할 수 있다. 또한 Non-SLD 조건인 Case 1의 Ice Limit는 SLD 조건인 다른 Case 들보다 작게 나타남을 확인하였다. Case 2와 Case 3 모두 Wing Leading Edge에 불규칙한 형태의 Ice Horn이 생성되었다. Case 3에서 Case 2보다 높은 Ice Limit를 가지며 Horn 형상의 결빙이 생성되는 것을 확인하였다. 특히 Case 3에서는 다른 Case보다 Nose 부분에 더 넓은 면적으로 결빙이 생성된 것을 확인할 수 있다.
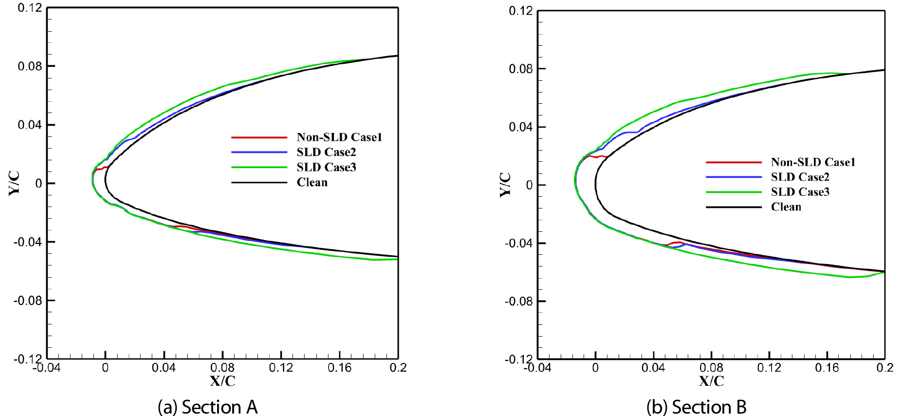
Fig. 10은 Non-SLD 조건인 Case 1와 SLD 조건인 Case 2, 3의 Section B에서 발생한 결빙 형상을 나타낸다. Stagnation Point의 Ice Thickness는 비슷한 것을 확인하였다. 하지만 Ice Limit는 SLD 조건인 Case 3에서 매우 높게 나타나는 것을 확인하였다. 이는 MVD가 커질수록 중력의 영향에 의해 액적의 Terminal Velocity가 발생하여 아래 방향으로 속도가 형성되며, Trailing Edge 방향으로의 액적의 영향이 증가함의 이유로 판단된다. 그리고 Wingtip 방향으로 갈수록 모든 Case에서 Ice Thickness가 커지는 경향성을 확인하였는데, 이는 Chord Length가 Wingtip 방향으로 갈수록 짧아짐에 따라 Leading Edge의 곡률이 증가하면서, 공기 흐름이 급격히 변화하여 액적이 표면에 집중되고, 관성 효과로 인해 더 많은 액적이 표면에 충돌함으로써 Collection Efficiency가 증가했기 때문이다.
Fig. 11은 각 Case 별 Total Ice Mass를 나타낸다. SLD 조건인 Case 2, 3의 경우가 Non-SLD 조건인 Case 1보다 Total Ice Mass가 매우 높게 나타나는 것을 확인할 수 있다. Freezing Rain > 40 ㎛ Droplet Distribution인 Case 3의 경우 Freezing Rain < 40 ㎛ Droplet Distribution을 적용한 Case 2보다 Total Ice Mass가 약 2배 이상 높게 형성되는 것을 확인하였다. 이는 액적의 크기가 커질수록 넓은 영역에 Collection Efficiency가 분포하여 Ice Limit가 높아져 많은 얼음이 생성되는 것으로 판단된다. 이를 통해 SLD 조건에서 결빙 보호 장치(Ice Protection System, IPS)를 설계할 때 많은 에너지가 필요할 것으로 판단된다.
4.3 공력 영향성 분석
Fig. 12는 Section A와 Section B에서의 결빙이 없는 형상인 Clean Case와 Non-SLD Case 1과 액적의 크기가 가장 큰 SLD Case 3의 Mach Number Contour를 나타낸다. Non-SLD 조건인 Case 1의 경우, Section A, B 모두 Wing Leading Edge에 짧은 Ice Limit을 가지는 Ice Horn의 영향으로 날개 윗면에 Flow Separation이 발생하였다. SLD 조건인 Case 3의 Section A에서는 날개 윗면의 결빙 형상이 유선형이기 때문에 Clean Case와 유동이 비슷한 경향을 나타내는 것을 확인하였다. 하지만 날개의 아랫면에서는 불규칙적인 결빙 형상으로 인해 Stagnation Point가 Clean Case보다 뒤쪽으로 형성된 것을 확인하였다. Section B에서는 날개 표면에 따라 다소 불규칙한 결빙 형상을 확인할 수 있지만 전체적으로 유선형의 결빙이 생성되어 속도 분포 및 Mach Number Contour에 미치는 영향이 크지 않은 것을 확인하였다.
Fig. 13은 Non-SLD Case 1과 MVD가 가장 큰 SLD Case 3에 대하여 Section A와 Section B에서의 Velocity Contour를 나타낸다. Case 1에서 날개 윗면의 Horn 형상의 Glaze Ice의 형태로 인해 Case 3보다 큰 Flow Separation이 발생하는 것을 확인하였다. Case 3의 Section A에서는 날개 윗면에 유선형이지만 다소 불규칙한 형태의 결빙을 확인할 수 있으며 이로 인한 Flow Separation이 작게 발생하는 것을 확인하였다. 날개 아랫면에도 작게나마 불규칙한 형태의 결빙을 확인하였지만, 받음각 8도에서는 Flow Separation이 아랫면에서는 발생하지 않는 것을 확인하였다. Wingtip에 가까운 Case 3의 Section B의 경우 날개 윗면에서는 Flow Separation이 발생하였지만, 아랫면에서는 유선형 형태의 결빙이 생성되어 Clean Case와 유동 흐름이 비슷한 형태를 나타내는 것을 확인하였다.
Fig. 14는 받음각 8도에서 Clean Case와 결빙이 생성된 Non-SLD 조건인 Case 1와, SLD 조건인 Case 3의 Pressure Coefficient를 나타낸다. Case 1의 경우, SLD 조건인 Case들 보다 큰 Horn 형상으로 인해 압력계수가 급격히 낮아졌다가 회복하는 모습을 보인다. Case 3의 경우, Section A에서는 전체적으로 Clean Case와 압력 분포가 유사한 경향성을 가진다. 하지만 날개에 생성된 결빙의 두께로 인하여 날개 윗면의 최소 압력을 나타내는 부분에서 차이점이 있는 것으로 확인된다.
Fig. 15는 받음각 0도에서 16도까지 4도 간격으로 MQ-1의 전기체와 Main Wing에 대한 양력계수 및 항력계수를 각 Case별로 나타내었다. Case 1, 2, 3과 Clean Case에 대하여 양력계수와 항력 계수를 비교하였는데 Non-SLD 조건인 Case 1의 양력계수는 Clean Case에 비해 최대 26.04% 감소하였고, 항력계수는 Clean Case에 비해 최대 13.69% 증가하였다. SLD 조건인 Case 2, 3은 전체적으로 Clean Case와 비슷한 양력 및 항력 계수를 나타내는 것을 확인할 수 있다. 최대양력계수는 Case 2와 Case 3 각각 전기체에 대해서 6.3%, 5.3% 감소하였고, Main Wing에서는 3.6%, 0.9% 감소하였다. 항력계수는 Main Wing에서 최대 2.8%, 3.8% 증가하였으며, 전기체에서는 최대 10%, 9.1% 증가하였다. 양력계수는 결빙 여부에 따라 Main Wing 해석 결과보다 전기체 해석 결과가 비교적 크게 감소하였으며, 항력계수도 전기체의 해석 결과가 Main Wing 해석 결과보다 더 큰 폭으로 증가하는 것을 확인하였다. Non-SLD 조건인 Case 1의 경우가 양력이 SLD 조건보다 큰 폭으로 감소하는 것을 확인하였고 Clean Case보다 실속 받음각이 8도와 12도 사이로 낮아진 것을 확인하였다. 반면 SLD 조건인 Case 2, 3는 양력 감소 폭이 비교적 작은 것을 확인하였는데 이는 날개 표면에 따라 넓은 범위를 가지는 유선형 형태의 결빙이 형성된 이유로 판단된다. 이를 통해 IPS가 작동하지 않는 환경에서 SLD 조건에서는 비교적 공력 특성 변화가 적지만, 만약 IPS를 작동하는 환경에서는 얼음이 녹게 되며 많은 공력 특성의 변화가 있을 것으로 예측된다.
4.4 Non-SLD 조건과 SLD 조건 비교 분석
Non-SLD 조건인 Case 1과 SLD 조건인 Case 2, 3을 축적률, 결빙 형상, 결빙의 양, 결빙의 공력 영향성에 따라 종합적으로 비교 요약하여 Table 2에 정리하였다. 축적률은 SLD 조건이 Non-SLD 조건보다 넓은 범위로 분포하며, 최대 축적률이 높은 것을 Fig. 6를 통해 확인하였다. Non-SLD 조건의 결빙 형상은 Leading Edge에 불규칙한 큰 Ice Horn 형태를 가지며, Ice Limit가 낮다. SLD 조건은 전체적으로 유선형인 결빙 형상을 확인하였고 Non-SLD 조건보다 Ice Limit가 높은 것을 Fig. 10을 통해 확인하였다. 무인기의 생긴 결빙의 양은 Non-SLD 조건보다 SLD 조건이 최소 2배 이상 차이가 났으며, MVD가 커질수록 결빙의 양이 증가하는 경향을 Fig. 11을 통해 확인하였다. Non-SLD 조건은 Ice Horn 으로 인해 Flow Separation으로 인한 공력 성능 감소가 SLD 조건 보다 크게 나타났고, SLD 조건은 유선형인 결빙 형상으로 Clean Case와 유동이 비슷하여 공력 성능 감소가 Non-SLD 조건 보다 적은 것을 Fig. 12, 13, 14, 15을 통해 확인하였다. 이러한 경향은 결빙 증식의 양이 성능감소를 초래하는 회전익기 공기흡입구[26] 결과와 대조가 된다.
Table 2.
Comparison of non-SLD condition and SLD condition for MQ-1 Predator icing simulation
| Non-SLD Condition | SLD Condition | |
| Collection efficiency |
⦁Distributed over a narrow range (Fig. 6) ⦁Lower collection efficiency due to smaller droplet size compared to SLD condition |
⦁Distributed over a relatively wide range (Fig. 6) ⦁Higher accretion rate at all locations compared to non-SLD condition |
| Ice shape |
⦁Irregular ice horn on the leading edge ⦁Low ice limit (Fig. 10) |
⦁Streamlined ice shape along the surface ⦁Higher ice limit than non-SLD condition (Fig. 10) |
| Total ice mass |
⦁Case 1: 3.764 kg (Fig. 11) ⦁Less ice formation compared to SLD condition |
⦁Case 2: 7.729 kg (Fig. 11) ⦁Case 3: 17.61 kg (Fig. 11) ⦁More than twice the total ice mass than non-SLD condition ⦁As the MVD becomes larger, ice mass increases. |
| Aerodynamic effects of ice accretion |
⦁Flow separation occurs on the wing upper surface (Fig. 13). ⦁Maximum lift coefficient decreases by 26.04% (Fig. 15). ⦁Drag coefficient increases by up to 13.69%. |
⦁Flow is similar to that of the clean case because of the streamlined ice shape (Fig. 13). ⦁Lift coefficient decreases by 6.3% (Fig. 15). ⦁Drag coefficient increases by up to 10%. ⦁Decrease in the lift coefficient is less than non-SLD condition. |
5. 결 론
본 연구에서는 무인기의 상승 조건에서 Appendix O에 제시된 SLD 조건과 Non-SLD 조건 아래 무인기 전기체에 대하여 결빙 증식에 관한 전산 해석을 수행하고 무인기 전기체 및 Main Wing의 결빙 형상에 따른 공력 특성 변화에 대해서 분석하였다. 각 Case에 대하여 유동장 해석, 액적장 해석, 결빙 증식 해석 순서로 전산해석을 진행하였다. 유동 해석은 무인기가 상승 비행을 한다고 가정하여 마하수 약 0.11, 속도 36 m/s, 고도 1000 m, 압력 89,874 Pa, 받음각 8도 조건에서 해석을 수행하였다. Non-SLD 조건인 Case 1은 Appendix C 규정 조건을 적용하였고 MVD는 20 ㎛ , 액적 충돌 해석은 Langmuir D 분포를 적용하여 액적장 해석을 수행하였다. 비교군 형성을 위해 온도, 받음각, 결빙 환경 노출 시간을 유지한 채 Appendix O Freezing Rain 조건에 따라 Case 2는 Freezing Rain < 40 μm Droplet Distribution을 적용하였고, Case 3는 Freezing Rain > 40 μm Droplet Distribution으로 설정하여 액적장 해석을 수행하였다. 결빙 증식 해석은 상승 조건인 받음각 8도 조건에서 20분 동안 상승 비행한다고 가정하였다.
결빙 증식 해석 결과 SLD 조건의 Ice Limit가 높아 무인기 표면에 결빙이 생성된 면적이 Non-SLD 조건보다 넓게 분포하는 것을 확인하였다. Non-SLD Case 1의 경우 불규칙한 Horn 형상의 결빙을 확인하였지만, SLD 조건인 Case 2, 3의 경우 전체적으로 표면에 따라 유선형 형상의 결빙이 생성됨을 확인하였다. 하지만 이는 SLD 조건에서 Ice Horn과 같은 불규칙한 얼음 형상이 전혀 발생하지 않는다는 것을 의미하지 않는다. 본 연구에서는 -4°C에서 Glaze Ice 형성을 중점적으로 다루었으나, 온도가 더 낮아지면 결빙 형태가 변할 가능성이 있어 SLD 조건에서도 Ice Horn이 형성될 수 있어 향후 낮은 온도 조건에서 연구를 진행할 예정이다.
모든 Case에서 Main Wing에서 발생한 결빙은 Wingtip 방향으로 갈수록 Ice Thickness가 높아지는 경향성을 확인하였는데, 이는 Chord Length가 Wingtip 방향으로 갈수록 짧아짐에 따라 Collection Efficiency가 증가한 이유로 판단된다. 또한 SLD 조건인 경우가 Non-SLD 조건보다 Total Ice Mass가 매우 높게 나타나는 것을 확인하였는데, 이는 액적의 크기가 커질수록 넓은 영역에 Collection Efficiency가 분포하여 Ice Limit가 높아져 많은 얼음이 생성되는 것으로 판단된다. 이를 통해 SLD 조건에서 결빙 보호 장치를 설계할 때 많은 에너지가 필요할 것으로 판단된다.
무인기 표면에 생성된 결빙 증식으로 인하여 유동의 변화가 발생한다. Non-SLD 조건의 경우, 표면에 생성된 Horn 형상의 결빙으로 인해 Flow Separation이 발생하여 결빙이 생성되지 않은 Clean Case에 비해 양력계수는 최대 26.04% 감소하였고, 항력계수는 최대 13.69% 증가하였다. SLD 조건의 경우, 양력계수는 최대 6.3% 감소하였고, 항력계수는 최대 10% 증가하였다. 결과적으로 본 연구의 해석 조건에서는 SLD 조건이 Non-SLD 조건보다 비교적 공력 성능 저하가 적은 것을 확인하였다. 이는 SLD 조건의 결빙 형상이 무인기 표면에 따라 넓은 범위를 가지는 유선 형태를 나타내는 이유로 판단된다. 이를 통해 IPS가 작동하지 않는 환경에서 SLD 조건에서는 비교적 공력 특성 변화가 적지만 IPS를 작동하는 환경에서는 얼음이 녹게 되며 많은 공력 특성의 변화가 있을 것으로 예측된다.
본 연구에서는 Non-SLD 조건과 SLD 조건에서 생성되는 결빙이 무인기의 공력 특성에 미치는 영향을 분석하였다. 상승 비행에서 SLD 조건이 Non-SLD 조건보다 Total Ice Mass가 매우 높게 형성되었지만, 무인기 공력 특성에는 Non-SLD 조건보다 부정적인 영향이 미미함을 확인하였다. 그러나 이는 특정 조건에 한정된 결과이며, 모든 SLD 조건에서 공력적으로 덜 위험하다고 일반화하기에는 한계가 있다. 따라서 다양한 주변 대기 온도와 결빙 조건에서의 추가 연구를 통해 SLD 조건의 공력 특성 영향성을 분석할 예정이다. 이러한 연구 결과를 바탕으로 차후 무인기 개발을 위한 IPS의 설계, SLD 조건인 Appendix O에서의 결빙 감항성 인증 등에 활용될 수 있을 것이다.
















