1. 서 론
1.1 양자 정보와 양자 컴퓨팅
1.2 양자 알고리즘
2. 본 론
2.1 Classical algorithm
2.2 Variational quantum linear solver
2.3 Variational ansatz의 형태에 따른 VQLS의 성능 분석
2.4 Numerical setup
3. 결 과
3.1 Quantum emulation - Noiseless
3.2 Quantum emulation - Noisy
3.3 Quantum hardware
4. 결 론
1. 서 론
양자 컴퓨팅은 지금의 컴퓨터로는 처리 시간이 길거나 해결이 어려운 문제를 효과적으로 다룰 수 있는 새로운 대안으로 주목받고 있다. 대표적으로 정수의 소인수분해를 위한 Shor’s algorithm[1-2]과 정렬되지 않은 데이터베이스의 빠른 검색을 위한 Gover’s algorithm[3]과 같이 특정 문제에 대해 양자 알고리즘이 탁월한 성능을 발휘할 수 있음이 알려져 있다. 또한 전산 유체 역학(CFD)에서 빈번히 등장하는 선형 시스템을 풀기 위한 양자 알고리즘[4-5]은 이론적으로 기존의 컴퓨팅에 비해 지수 배 적은 단계의 연산으로 해를 구할 수 있다. 이러한 기술적 진보는 전산 유체 역학 분야에서 더욱 정밀하고 효과적인 모델링 및 시뮬레이션을 가능하게 할 것으로 기대된다.
1.1 양자 정보와 양자 컴퓨팅
양자 정보의 기본 단위는 양자비트 또는 큐비트(qubit)이다. 트랜지스터로 구현되는 비트가 0과 1 두 상태 중 하나만을 나타낼 수 있는 것에 반해 큐비트는 0과 1의 상태가 중첩(superposition)이 가능하다. 이를 Dirac 표기법[6]으로 표현하면 하나의 중첩된 큐비트는 로 나타낼 수 있다. 이는 복소수 공간의 행벡터 𝜓를 나타낸다. 𝛼와 𝛽는 상태의 확률 진폭을 나타내며 을 만족하는 임의의 복소수이다. 이 경우 과 의 상태가 각각 와 의 확률로 관측된다. 큐비트의 상태는 𝜃와 𝜑의 각도를 사용하여 Fig. 1처럼 Bloch sphere 위에 나타낼 수 있고, 이는 의 형태로 표현된다.
중첩과 더불어서 양자 컴퓨팅의 고유한 특징으로는 얽힘(entanglement)이 있다. 양자 회로 내에서 위치와 상관없이 고전 물리학으로 설명 불가능한 큐비트 간의 상호작용을 가능하게 만든다. 중첩과 얽힘이라는 양자 현상을 활용하면 큐비트가 하나 늘어날 때마다 계산 공간은 2배씩 증가시킬 수 있다. 또한 적합한 알고리즘을 사용한다면 기존의 알고리즘에 비해 지수 배 빠른 가속을 기대할 수 있다.
양자 컴퓨팅 하드웨어의 종류에는 초전도, 포획 이온, 중성 원자를 활용하는 방법 등이 있다. 어느 방법이 가장 범용 양자 컴퓨팅 하드웨어에 사용될 수 있을지 아직은 확실하지 않지만, IBM, Google, Microsoft, Rigetti를 비롯한 기업 대다수가 초전도 기반으로 양자 컴퓨팅 하드웨어를 개발하고 있다. 특히 IBM은 양자 소프트웨어 개발 키트인 Qiskit과 함께 최대 156큐비트 양자 컴퓨팅 자원에 대한 접속을 제공한다[7].
양자 결어긋남, 외부 환경의 간섭, 큐비트 간의 상호작용, 제어 과정에서의 의도치 않은 간섭 등으로 인하여 큐비트에는 노이즈가 발생한다. 큐비트의 신뢰도가 앞으로 개선된다고 하더라도 하나의 물리적 큐비트가 양자 알고리즘을 실행시키기 위한 논리적 큐비트가 되기는 어려울 것으로 보인다. 양자 정보를 노이즈로부터 보호하기 위해서 수십에서 백여 개의 물리적인 큐비트로 하나의 논리 큐비트를 구성하여 오류가 있더라도 다른 큐비트로부터 양자 정보를 복원하는 양자 오류 보정(QEC) 방식이 고안되었다[8]. 오류 보정이 가능한 논리 큐비트를 기반으로 한 양자 컴퓨팅을 결함허용(fault- tolerant) 양자 컴퓨팅이라고 한다. 다만 현재까지 개발된 물리적 큐비트는 아직 양자 오류 수정을 적용할 정도의 오류율(~0.1%)을 가지지 못한다. Fig. 2에 나타낸 것과 같이 양자 오류 수정 없이 노이즈가 있는 양자 하드웨어를 직접 활용하는 Noisy intermediate-scale quantum(NISQ) 컴퓨팅의 개념이 Preskill에 의해 제시되었고[9], 가까운 시일 내에 variational quantum algorithm[10]을 비롯한 다양한 기법을 활용할 수 있을 것으로 예측된다.
1.2 양자 알고리즘
양자 알고리즘이 기존 컴퓨터의 가장 최적화된 알고리즘의 성능을 뛰어넘는 양자 우월성(quatnum superemacy)의 개념이 Preskill[11]에 의해 제시되었다. 2019년 Google의 연구팀은 양자 우월성을 달성하였다고 주장하였으나[12], 검증 단계에서는 기존 컴퓨팅 시스템을 이용한 더 우수한 성능의 알고리즘이 존재함이 밝혀졌다. 양자 우월성을 입증하지는 못하였지만, 양자 우월성을 실험적으로 입증하기 위한 시도는 이어지고 있다.
2009년 Harrow, Hassidim, Lloyd에 의해 선형 시스템을 풀기 위한 양자 알고리즘(HHL)이 발표되었다[4]. 기존의 컴퓨팅 알고리즘으로는 의 크기를 가지는 선형 시스템의 해를 구하는 데 걸리는 시간이 에 대한 다항식에 비례한다. 하지만 HHL 알고리즘은 에 대한 다항식에 비례함을 밝혀졌다. 하지만 HHL 알고리즘은 선형 시스템의 행렬 자체의 특성에 크게 영향을 받으며, 알고리즘의 복잡도로 인해 오류 수정이 가능한 양자 컴퓨팅 하드웨어가 요구되어 현재로서는 구현이 어렵다.
이에 대한 대안으로 NISQ에서도 구동이 가능한 Variational quantum algorithm의 일종으로 Variational quantum linear solver(VQLS)이 Bravo-Prieto 등[5]에 의해 발표되었다. VQLS는 크게 양자 컴퓨팅으로 계산되는 비용 함수 부분과 기존 컴퓨팅으로 계산되는 최적화 부분으로 나뉜다. 알고리즘의 일부만 양자 컴퓨팅을 활용함으로써, 결함허용 양자 컴퓨팅 개발 전 근시일 내로 사용될 수 있을 것으로 기대된다.
VQLS와 같은 variational quantum 알고리즘을 활용하여 편미분 방정식을 해결하기 위한 다양한 연구들이 진행되고 있다. Liu 등은 열 방정식을 노이즈 없는 양자 에뮬레이션으로 구현하여 시간 복잡도를 검증하였으나[13], 실제 양자 하드웨어에서의 실행에는 이르지 못했다. Sarma 등은 Black-Scholes 방정식을 풀기 위한 cost function 계산 일부만을 양자 하드웨어에서 구현하였으며[14], Pool 등은 양자 에뮬레이션을 통해 얻은 Burger’s 방정식의 해를 양자 하드웨어에서 재현하는 연구를 수행하는 등[15], 양자 하드웨어를 부분적으로 활용한 연구들이 진행되고 있다.
이어지는 본론과 결과 부분에서는 VQLS의 구조와 원리를 소개하고, 최적의 성능을 내는 양자 회로의 형태를 결정하였다. 또한, VQLS를 노이즈 없는 에뮬레이션, 노이즈 있는 에뮬레이션, 양자 하드웨어라는 세 가지 다른 환경에서 2차원 정상 상태 열 방정식에 적용하여 얻은 결과를 비교 분석하였다. 특히, 본 연구는 variational quantum 알고리즘에서 양자 하드웨어 실행 부분을 모두 양자 하드웨어에서 수행하였다는 점에서 기존 연구와 차별성을 가진다. 이를 통해 현재 양자 하드웨어의 기술적 수준에서 variational quantum 알고리즘의 실질적인 활용 가능성과 한계를 평가하고자 하였다.
2. 본 론
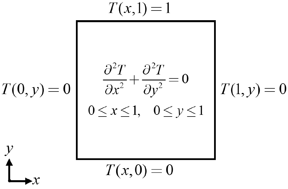
VQLS로 정상 상태의 2차원 열전도 방정식의 해를 구하기 위한 지배 방정식과 경계 조건은 Fig. 3에 표기되어 있다. 해당 지배 방정식을 중앙 차분법을 사용하여 식 (1)과 같이 이산화하면 penta-diagonal 형태를 가지는 계수 행렬 와 우변 벡터 를 얻을 수 있다. 해당 경계 조건 문제의 해석 해는 식 (2)와 같이 알려져 있다[16]. 본 연구에서는 식 (2)으로부터 구한 (i) analytic solution, (ii) Thomas 알고리즘으로 구한 classical computing solution, 그리고 (iii) VQLS를 통해 구한 quantum solution을 비교하였다.
2.1 Classical algorithm
선형 시스템의 해를 구하기 위한 classical 알고리즘으로는 tridiagonal matrix algorithm(TDMA)[17]이 사용되었다. TDMA는 삼중 대각 행렬을 해결하기 위한 알고리즘으로, forward substitution 과정을 통해 행렬의 sub-diagonal 성분을 제거하고, backward substitution 과정을 통해 super-diagonal 성분을 제거하여 대각 행렬을 형성하고 해를 구한다.
2차원 열 방정식을 선형 시스템으로 구성할 경우, 식 (1)과 같이 자신과 인접한 4개의 격자점을 포함하여 총 5개의 격자점이 식에 포함되므로, 행렬 는 오중 대각 행렬이 된다. TDMA를 적용하기 위해 alternating direction implicit(ADI) 방식을 적용하였다. ADI는 축 방향과 축 방향을 교대로 계산하여 2차원 문제를 1차원 문제로 분리한다. 축 방향 계산 시에는 방향 변동 항을 상수로 간주하며, 마찬가지로 방향 계산 시에는 방향 변동 항을 상수로 간주하여 삼중 대각 행렬을 Fig. 4와 같이 형성한다. 계산 영역 전체에 대해서 위의 과정을 수행하는 것이 한 번의 반복이 된다. TDMA와 ADI를 함께 사용했을 때 개의 미지수를 가지는 선형 시스템의 해를 구하는 데 소요 되는 시간이 에 비례함이 알려져 있다.
2.2 Variational quantum linear solver
Fig. 5는 VQLS 알고리즘의 개략적인 구조를 나타낸다. 입력 단계에서는 의 선형 시스템을 양자 정보의 형태로 양자 하드웨어에 전달한다. 행렬 는 식 (3)과 같이 unitary 행렬들과 복소수의 선형 결합으로 분해되는데, 이는 행렬 A를 양자 하드웨어에서 연산할 수 있는 형태로 변환하기 위함이다. 또한 을 입력하였을 때 를 출력하는 unitary operation()이 준비된다. 는 초기 상태 로부터 주어진 벡터 에 해당하는 양자 상태를 생성한다.
로 표현되는 variational ansatz는 variational quantum algorithm의 특징적인 양자 회로로, 주어진 선형 시스템의 해 의 추정값을 구하기 위해 사용된다. ‘Variational’이라는 용어는 양자 회로상의 회전 게이트에 입력되는 매개변수 𝛼가 조절 가능하다는 점에서 비롯한다. 초기 상태 를 입력하였을 때 가 출력되도록 만들기 위해 매개변수 𝛼를 최적화 알고리즘을 사용하여 업데이트하여 가 점점 가까워지도록 만든다. 이때, variational ansatz의 형태가 얼마나 적은 시도로 에 가까운 값을 얻을 수 있는지에 영향을 주게 된다.
최적화 알고리즘에는 가 얼마나 에 가까워졌는지 평가하기 위한 비용 함수가 필요하다. 비용 함수는 식 (4)로 주어진다. 가 에 가까워질수록 비용 함수의 값은 0에 가까워지고 멀어질수록 1에 가까워진다.
비용 함수의 계산은 양자 하드웨어 내에서 두 단계에 걸쳐 이루어진다. 먼저 Hadamard test를 통해 분모에 있는 이 계산되고, Hadamard overlap test를 통해 분자에 있는 이 계산된다. 양자 상태 를 직접 활용하지 않는 이유는 양자 정보인 를 알기 위해 관측하게 되면 양자 상태가 붕괴하여 관측값은 정규화된 값인 가 되고, 추가적인 활용이 어려워지기 때문이다. 이를 피하고자 추가적인 큐비트 하나와 Hadamard 게이트를 활용하는 Hadamard test와 Hadamard overlap test를 통해 비용 함수의 분모와 분자의 값을 관측하고 비용 함수의 값을 계산할 수 있다. 결론적으로 VQLS의 양자 컴퓨팅 부분은 입력된 매개변수 𝛼에 해당하는 비용 함수의 값을 출력한다.
다음 단계는 최적화 알고리즘으로, 양자 컴퓨터에서 계산된 비용 함수의 값을 바탕으로 매개변수 𝛼를 업데이트한다. 허용값 이하로 비용 함수가 감소하거나 지정한 반복 횟수를 반복하고 나면 그때의 매개변수가 최적화된 매개변수 를 variational ansatz에 넣고 계산한 값은 가 된다. 최적화 알고리즘의 선정에 있어서 Pellow-Jarman 등의 연구에 따르면 노이즈가 있는 양자 환경에서 구배 기반 최적화(Gradient based optimizer) 알고리즘의 효율이 크게 감소하였다[18]. 해당 연구에서 노이즈 환경에서 가장 우수한 성능을 보여준 최적화 알고리즘은 Simultaneous Perturbation Stochastic Approximation(SPSA)[19] 이다.
SPSA는 비용 함수의 모든 변수를 무작위로 변형시켜 전통적인 유한 차분법에 비해 훨씬 적은 측정 횟수로 기울기를 구하는 것이 가능하다. 또한 비용 함수의 기울기를 직접 구하지 않기 때문에 노이즈에 강한 특성을 보인다. 따라서 SPSA는 NISQ 환경에 알맞은 최적화 알고리즘으로 판단되어 노이즈 있는 환경에서의 양자 에뮬레이션과 양자 컴퓨팅 환경에서의 최적화 알고리즘으로 선정하였다. 단, 노이즈가 없는 환경에서의 에뮬레이션에서는 빠른 수렴 결과를 위해 conjugate gradient 알고리즘을 사용하였다.
VQLS 알고리즘의 최종 출력값은 로, 양자 상태이기 때문에 을 항상 만족한다. 이 양자 상태를 측정하여 얻어진 값은 원래 구하고자 했던 선형 시스템의 해인 벡터에 비례하는 벡터인 로 측정된다. 따라서 선형 시스템의 해인 벡터를 복원하기 위해서는 값을 추정해야 한다. 본 연구에서는 값의 추정 과정에서 오는 오류를 배제하고, VQLS 알고리즘의 성능을 classical computing과 비교하기 위해 해석해로부터 구한 를 사용하였다.
본 연구에서는 Qiskit 라이브러리를 활용하여 Python으로 작성된 오픈 소스 VQLS 코드[20]를 사용하여 기존 컴퓨터에서 노이즈가 없는 환경과 있는 환경에서의 에뮬레이션을 수행하였고, IBM의 양자 컴퓨팅 환경에서 VQLS 코드를 실행하였다.
2.3 Variational ansatz의 형태에 따른 VQLS의 성능 분석
최적의 variational ansatz 형태를 결정하기 위하여 노이즈가 없는 에뮬레이션을 수행하였다. 구배 기반의 conjugate gradient 최적화 알고리즘과 gradient-free 최적화 알고리즘인 SPSA에서 각각 10회의 반복 실행 후 안정적으로 낮은 오차율을 보이는 variational ansatz의 형태를 선별하였다.
2.3.1 Entanglement configuration
Variational ansatz를 구성하는 큐비트들을 어떤 구조로 얽힘을 만드는지에 따라 양자 알고리즘의 성능에 차이가 발생한다. Qiskit 라이브러리의 TwoLocal 함수는 variational ansatz를 효율적으로 생성할 수 있는 기능을 제공한다. 해당 함수에서 설정할 수 있는 6종류의 entanglement configuration은 Fig. 6과 같다.

Fig. 6.
Illustration of various quantum entanglement configurations utilized by TwoLocal function: (a) full, (b) linear, (c) reverse linear, (d) pairwise, (e) circular, and (f) shifted-circular-alternating(sca)[21] setups
구배 기반 최적화 알고리즘인 conjugate gradient와 gradient-free 최적화 알고리즘인 SPSA를 사용하여 variational ansatz에 따른 계산 결과의 오차율 평균과 표본 표준 편차를 비교한 결과를 Table 1에 나타내었다. 이를 통해 entanglement configuration에 따른 성능을 분석하였다. Conjugate gradient의 경우 25회의 최적화 루프를 반복한 후 오차율을 계산하였고, SPSA의 경우 상대적으로 수렴 속도가 느린 점을 고려하여 50회의 최적화 루프를 반복 수행하였다.
Table 1.
Sample means and standard deviations of the mean error after 25 conjugate gradient optimizer iteration steps and 50 SPSA iteration steps with respect to various entanglement configurations: (i) full, (ii) circular, (iii) pairwise, (iv) sca, (v) linear, and (vi) reverse linear
Fig. 7의 막대그래프 부분은 conjugate gradient와 SPSA 최적화 알고리즘을 사용하여 계산된 결과의 평균 오차율을 나타내고 오차 막대는 표본 표준 편차를 나타낸다. 두 최적화 알고리즘 모두 reverse linear 형태의 entanglement configuration에서 낮은 평균 오차율과 표본 표준 편차를 보였다. 이러한 결과를 바탕으로, 최적화 알고리즘의 종류와 관계없이 낮은 오차율과 안정적인 결과를 제공하는 reverse linear 형태의 variational ansatz를 선정하였다.
2.3.2 Controlled gate type
Controlled gate는 양자 회로에서 큐비트들을 양자 얽힘 상태로 만드는 역할을 한다. Controlled gate의 이름은 한 큐비트의 상태에 따라서 다른 큐비트의 상태가 결정되는 성질에서 유래하였다. 예를 들어 CNOT 게이트 또는 CX 게이트의 경우 큐비트 의 값이 일 경우에만 이 에서 로, 에서 로 바뀌게 된다. CZ 게이트의 경우에는 큐비트 의 값이 일 경우 의 부호를 반대로 바꾼다. 해당 게이트들의 역할을 행렬 형태로 나타내면 각각 식 (5), (6)과 같다.
두 종류의 양자 회로에 대해서 10회의 VQLS 알고리즘 실행 결과 Table 2와 같이 오차율의 표본 평균과 표본 표준 편차가 CZ 게이트에서 더 낮은 결과를 보였다. 따라서 variational ansatz는 CZ 게이트가 reverse linear 구조로 얽힌 형태로 결정하였으며, 이어지는 연구에서는 해당 형태의 variational ansatz를 사용하여 VQLS 알고리즘을 구성하였다.
Table 2.
Sample mean and standard deviation of mean error after 25 optimizer iteration steps with respect to the type of controlled gate
| CX gate | CZ gate | |
| Sample mean | 6.74% | 6.19% |
| Sample stdev | 1.82% | 1.71% |
2.4 Numerical setup
VQLS 알고리즘은 총 세 가지 환경에서 실행됐다. 첫 번째는 노이즈가 없는 에뮬레이션으로, 알고리즘이 이상 없이 작동하는지 검증하는 데 사용됐다. 두 번째는 노이즈가 있는 에뮬레이션으로, 실제 양자 컴퓨팅 환경의 노이즈 영향 아래서 VQLS 알고리즘의 성능 변화를 관찰하기 위해 진행됐다. 마지막으로, IBM Quantum Platform을 통한 실제 양자 컴퓨팅 환경에서 VQLS 알고리즘을 실행하여 양자 컴퓨팅에서의 실행 가능 여부에 대해 검증하고자 했다.
최적화 알고리즘의 반복 횟수는 50회로 통일하여 설정하였으며, 이는 노이즈 있는 양자 에뮬레이션과 양자 하드웨어에서 VQLS 알고리즘을 실행하는 데 소요 되는 시간 제약을 고려한 수치이다. 50회의 반복에 대한 residual은 classical computing 알고리즘과 노이즈 없는 양자 에뮬레이션을 통해 계산되었으며, 결과는 Fig. 8에 나타내었다. 분석 결과, classical computing 알고리즘의 경우 N4와 N10에서 50회의 반복 이전에 10-16에 수렴하였다. 이는 double 자료형의 부동소수점 정밀도 한계로 인해 발생한 현상이다.
노이즈 없는 양자 에뮬레이션의 경우 N4에서 residual이 10-16 미만으로 감소하여 50회 이전에 최적화 알고리즘이 종료되었다. N4를 제외한 나머지 세 경우(N16, N64, N256)에서는 50회의 반복 이후 residual이 10-3과 10-4 사이에 위치하였다. 또한 iteration 횟수에 따른 residual의 수렴 속도가 N4에서 N256으로 갈수록 저하되는 경향은 classical computing과 노이즈 없는 양자 에뮬레이션 모두에서 관찰되었으나, 노이즈 없는 양자 에뮬레이션에서는 이러한 영향이 상대적으로 적게 나타났다.
양자 하드웨어에서 VQLS를 실행하기 위해 작성된 양자 회로는 해당 하드웨어의 구성에 맞게 재구성되어야 한다. 이를 위해 Quantum Processing Unit(QPU)에서 native로 지원하는 게이트 연산으로 분해하고 최적화하는 transpile 과정이 필수적이다. IBM의 QPU는 종류에 따라 지원하는 native 게이트의 구성에 차이가 있으며, 현재 접근 가능한 최신 QPU인 Heron 프로세서는 CZ 게이트를 native 게이트로 포함하고 있다[22]. 이러한 특성을 고려하여 CZ 게이트가 reverse linear 형태로 배치된 variational ansatz를 포함하는 VQLS 코드를 Heron 프로세서에서 실행하기에 적합하다고 판단하였다. 본 연구에서는 Heron QPU를 사용함으로써 transpile 과정을 통해 얻어지는 양자 회로의 길이를 단축할 수 있었으며, 이를 통해 양자 하드웨어에서 VQLS 코드를 실행할 수 있었다.
열 방정식을 풀기 위한 격자 개수는 큐비트의 개수에 맞춰 설정되었다. 정방형의 공간에 대해 격자를 나누어 VQLS 알고리즘으로 해를 구하기 위해서는 짝수개의 큐비트가 필요하다. 개의 큐비트에는 총 개의 격자 정보를 담을 수 있다. 경계 조건을 제외한 내부 격자가 한 변에 개일 때 이 조건을 충족한다. Table 3과 같이 큐비트 개수가 2, 4, 6, 8개인 경우를 각각 내부 격자점 개수에 따라 N4, N16, N64, N256으로 명명하였다. 큐비트의 수가 10개 이상 증가할 경우, 양자 현상을 기존의 컴퓨팅으로 묘사하는 데 필요한 계산 자원이 급격하게 증가하여 8개의 큐비트까지 에뮬레이션을 수행하였다.
Table 3.
Variational ansatz configurations and corresponding grid points for cases: N4, N16, N64, and N256
| N4 | N16 | N64 | N256 | |
| Qubits in variational ansatz | 2 | 4 | 6 | 8 |
| Total grid points to solve(N) | 4 | 16 | 64 | 256 |
Table 4는 VQLS가 실행된 세 가지 환경에 대한 세부 조건을 설명한다. 노이즈가 없는 에뮬레이션에서는 구배 기반 최적화 알고리즘인 conjugate gradient를 사용하였고, 노이즈가 있는 에뮬레이션과 양자 하드웨어 환경에서는 SPSA가 사용되었다. 각 환경에서 50회의 최적화 알고리즘 반복을 수행한 후 결과를 비교하였다. 에뮬레이션은 기존의 컴퓨터에서 실행되었으며, 양자 하드웨어는 IBM quantum platform을 통해 제공되는 양자 컴퓨팅 환경을 사용하였다. 노이즈 없는 에뮬레이션은 별도의 backend 없이 수행되었으나, 노이즈 있는 에뮬레이션에서는 노이즈를 포함한 고성능 양자 컴퓨팅 시뮬레이션을 위한 AerSimulator를 backend로 사용하였다. 양자 하드웨어의 경우 IBM quantum platform에 접속하기 위한 QiskitRuntimeService를 backend로 사용하였다.
Table 4.
Comparison of absolute error rates of solutions achieved by different methods
3. 결 과
3.1 Quantum emulation - Noiseless
노이즈가 없는 에뮬레이션을 통해 VQLS 알고리즘의 작동 여부를 검증하였다. 이 경우, 빠른 결과를 보여주는 conjugate gradient 알고리즘을 사용하여 양자 에뮬레이션을 수행하였다. 50회의 최적화 알고리즘 반복 후 얻어진 해는 Fig. 9와 같이 격자점들을 왼쪽에서 오른쪽, 위에서 아래 순서로 x축 상에 배치하여 해당 좌표의 해석 해, 기존 컴퓨팅, 그리고 노이즈 없는 에뮬레이션의 결과를 비교하였다. 또한 Fig. 10과 같이 등고선으로 나타내었다.
Classical solution의 경우에는 N4에서 256으로 갈수록 오차율이 감소함을 Table 5에서 확인할 수 있는데, 이는 격자가 점점 조밀해져 이산화에 의한 numerical error가 감소하여 해석 해와의 절대오차가 감소하였기 때문이다.
노이즈 없는 에뮬레이션은 두 가지 방법으로 수행되었다. 첫 번째 방법은 식 (4)를 사용하여 Bravo-Prieto 등이 제시한 비용 함수를 기반으로 cost function을 최소화하는 방식이다. 이 방법은 N64 및 N256 케이스에서 계산을 수행할 때 계산 시간이 지나치게 증가하는 문제가 있었다. 이에 따라, 정확도 향상과 계산 시간 단축을 위해 기존 비용 함수 대신 값과 그 제곱의 평균 제곱근(RMS)을 사용하는 에뮬레이션이 수행되었다. 전자의 경우 비용 함수 계산에 양자 알고리즘을 사용하였지만, 후자의 경우 비용 함수인 RMS 값 계산은 양자 알고리즘 대신 기존 컴퓨팅 알고리즘으로 대체되었다.
Table 5.
Comparison of absolute error rates of solutions achieved by different methods
에뮬레이션 결과, 격자 수가 적은 N4와 N16에서는 50회의 최적화 반복만으로도 오차율 10% 미만의 해를 얻을 수 있었다. 그러나 N64와 N256의 경우 최적화 파라미터의 증가로 인해 필요한 최적화 루프 횟수가 늘어나 50회 반복으로는 충분한 수렴 결과를 얻지 못하였다. 또한, RMS를 비용 함수로 사용할 경우, Table 5에서와 같이 N256 케이스에서 약 36%까지 정확도가 개선됨을 확인하였다. 이를 통해 VQLS 알고리즘의 정확도가 비용 함수의 형태에 크게 영향을 받음을 알 수 있었다.
Classical computing과 quantum emulation에 걸리는 시간을 비교하였다. 주어진 에 대해 루프 1회 반복에 드는 시간을 50번 측정하였고, 최소제곱법을 통해 에 대해 증가하는 차수를 비교하였다. Fig. 11에서 classical computing 알고리즘 루프에 걸리는 시간의 경우 의 증가를 하지만 양자 에뮬레이션은 의 증가세를 보였다. 양자 에뮬레이션은 classical computing 알고리즘에 비해 이점을 보이지 못함을 확인하였다.
3.2 Quantum emulation - Noisy
양자 컴퓨팅에서 노이즈는 여러 원인으로 인해 발생하지만 AerSimulator는 그중에서 실제 양자 하드웨어 구성에서 나타나는 depolarization error, thermal relaxation error, 그리고 readout error를 구현할 수 있다. Depolarizing error는 입력된 양자 정보가 게이트 연산 중에 양자 얽힘을 유지하지 못하고 바닥 상태로 되돌아가면서 발생하는 오류이다. Thermal relaxation error는 초전도 큐비트가 주변 환경과의 상호작용을 최소화하기 위해 수 mK 수준의 극저온에서 운용되지만, 완전히 상호작용을 차단할 수 없기 때문에 발생하는 오류이다. Readout error는 양자 정보를 측정하는 과정에서 발생하는 오류를 나타낸다. AerSimulator는 IBM의 실제 양자 하드웨어를 모방하면서 각 큐비트마다 측정된 이 세 가지 주요 오류를 추가함으로써 노이즈가 포함된 에뮬레이션을 실행한다.
앞서 서술한 AerSimulator의 기능을 활용하여 노이즈 있는 환경에서 양자 에뮬레이션을 N4, N16, 그리고 N64에 대하여 수행하였다. N256의 경우 실행에 필요한 시간이 급격하게 증가하여 제외되었다. 먼저 노이즈가 없는 환경에서 SPSA 최적화 알고리즘의 learning rate와 perturbation을 튜닝하였고, 해당 하이퍼 파라미터들을 사용하여 노이즈 있는 환경에 적용하였다. 반복에 따른 비용 함수의 값을 나타낸 Fig. 12에서 SPSA 최적화 알고리즘의 성능이 크게 저하되어 비용 함수가 감소하지 않음을 확인할 수 있다. 이러한 현상은 후술할 양자 컴퓨팅 환경에서도 동일하게 나타났다.
3.3 Quantum hardware
양자 하드웨어에서 실행할 수 있는 회로의 길이는 양자 결맞음(coherence)을 유지할 수 있는 시간에 의해 제약을 받는다. 이러한 제약 때문에, N4의 경우에만 양자 하드웨어에서 작동이 가능했으며, N16의 경우에는 25회의 반복에 대한 소요 시간 측정까지만 실행할 수 있었다.
Fig. 13은 25회의 최적화 알고리즘을 반복하는 동안 Hadamard test와 Hadamard overlap test에 소요된 시간을 측정하여 평균낸 결과를 보여준다. N4와 N16을 비교했을 때, 격자점의 개수가 4배 증가하는 동안 Hadamard test에 소요되는 시간은 약 1.9배 증가했으며, Hadamard overlap test에 소요되는 시간은 약 4.5배 증가했다. 이 두 시간을 합한 비용 함수 측정 시간은 약 3.9배 증가하였다. 이 결과는 Unitary operation들로 표현되는 를 포함한 연산에 걸리는 시간이 크게 증가함을 보여준다.
Fig. 9의 N4 그래프를 보면, 노이즈 있는 시뮬레이션에서 예측된 대로 충분한 수렴을 보이지 못한 결과를 얻었다. 한편, Fig. 9에서 N4 해의 값을 비교한 결과 특정 좌표 에서는 정확한 결과를 얻었으나 다른 지점에서의 값들은 해석 해와 큰 차이를 보였다. 이는 노이즈의 영향으로 인해 충분한 정확성을 가지지 못하고 국소 해에 머물게 된 결과로 판단된다.
선형 시스템 해법을 평가할 때, 시간과 정확도뿐만 아니라 컴퓨팅 비용도 중요한 평가 요소로 작용한다. Fig. 14는 Amazon Web Services와 IBM 양자 플랫폼을 통한 컴퓨팅 자원의 시간당 요금을 비교한 것이다. 이 데이터는 양자 에뮬레이션에 사용된 컴퓨팅 파워와 유사한 사양의 AWS 자원의 시간당 사용료가 0.4030달러[23]인 반면, IBM 양자 플랫폼을 통한 양자 컴퓨팅의 시간당 사용료는 5760달러[24]로, 약 14,000배의 차이가 나타난다. 서비스 초기 단계임에도 불구하고 기존 컴퓨팅 자원과 비교했을 때 비용 면에서 상당한 차이가 있음을 보여준다. 양자 컴퓨팅 기술의 상용화를 위해서는 기술적인 발전과 함께 비용 절감이 필수적일 것이다.
4. 결 론
본 연구에서는 NISQ 하드웨어를 활용하여 비용 함수를 계산하고, 기존의 컴퓨팅 방법을 이용한 최적화 알고리즘을 반복하는 하이브리드 방식의 VQLS 알고리즘을 적용하여 2차원 정상 상태 열 방정식을 해결하고자 하였다. 적은 반복으로도 비용함수가 빠르게 수렴할 수 있는 최적의 variational ansatz를 결정하기 위한 에뮬레이션이 수행되었다. 이 과정에서, 노이즈 없는 환경에서 CZ 게이트를 이용한 reverse linear 형태의 양자 회로가 지속적으로 낮은 오차율을 보이는 것으로 관찰되어 이어지는 에뮬레이션과 양자 하드웨어에서의 VQLS를 실행할 때 해당 형태의 variational ansatz를 사용하였다.
노이즈 없는 에뮬레이션을 통해 2차원 열방정식의 해를 구하는 것이 가능함을 확인하였으나, 격자의 개수가 증가함에 따라 정확한 해를 얻기 위해 필요한 반복 횟수가 증가하였다. 또한, 격자 개수에 따른 반복에 걸리는 시간을 측정한 결과, TDMA 방식과 비교했을 때 양자 알고리즘을 classical computer에서 구현하는 에뮬레이션은 시간적인 이점을 보이지 못하는 것으로 나타났다.
노이즈 있는 에뮬레이션에 앞서 양자 컴퓨팅 환경의 노이즈가 발생하는 다양한 원인을 간략히 소개하였고, 에뮬레이션을 통해 노이즈가 최적화 알고리즘의 성능을 크게 저하시키며 비용 함수의 감소를 방해하는 주된 요인임을 관찰할 수 있었다.
양자 하드웨어에서의 실험을 통해 VQLS를 이용한 선형 시스템의 해결 가능성을 탐구했으나, 실제 실험에서는 N4와 N16과 같은 제한된 크기의 시스템에 대해서만 반복 실행 시간을 측정할 수 있었다. 이 결과는 양자 하드웨어의 현재 기술적 한계로 인해, 기대했던 지수함수적으로 빠른 속도로 선형 시스템의 해를 구할 수 있음을 실험적으로 보이기 어렵다는 것을 보여준다. N4의 경우 해를 얻을 수 있었으나, 노이즈 있는 환경에서의 에뮬레이션 예측대로 비용 함수가 충분히 감소하지 않아 부정확한 해를 얻었다. 비용 면에서도 기존의 컴퓨팅에 비해 큰 차이를 보여 추후 경쟁력 확보를 위해서는 비용 절감이 필수적일 것으로 보인다.
이 연구는 양자 컴퓨팅을 이용한 선형 시스템 해결법의 실제적인 적용 가능성과 한계를 탐구하였다. VQLS의 실질적인 활용을 위해서는 양자 하드웨어의 발전 등 기술적 진보뿐만 아니라 비용 면에서도 상당한 수준의 절감이 필요할 것으로 보인다. 이러한 개선을 통해 VQLS와 같은 양자 알고리즘이 특정 분야에서 두각을 보일 수 있을 것이며, 더 나가 범용적인 용도의 결함허용 양자 컴퓨팅(Fault-tolerant quantum computing)의 시대를 맞을 수 있을 것이다.















