1. 서 론
PWR 대형파단사고시 고압의 원자로 냉각수가 임계유동 현상을 거쳐 기화되면서 대기압의 격납건물로 분사된다. 이렇게 PWR 원자로 안전해석에서는 복잡한 현상에 대한 해석 능력을 요구하는데, CUPID/SPACE 열수력 기기/계통 연계 해석 코드[1,2]가 이러한 현상을 적절히 계산할 수 있는지 확인 계산이 필요하다. 본 연구에서는 CUPID/SPACE가 PWR 대형파단사고시 고압의 원자로 냉각수가 임계유동 현상을 거쳐 기화되면서 대기압의 격납건물로 분사하는 계산을 수행할 수 있는지 확인계산을 수행하였다. 임계유동과 대기압으로 수증기 분사 현상의 적용성을 확인하는데 주안점을 두었기 때문에 가능한 한 간단한 기하학적 조건을 사용하여 계산을 수행하였다. 임계유동 계산과 같이 복잡한 상관식을 사용한 열수력적 계산은 SPACE와 같은 1차원 계통코드가 강점이 있고 3차원적 거동 분석과 같은 계산은 CUPID와 같은 3차원 기기스케일 코드에 강점이 있기 때문에 이러한 각 코드의 강점을 활용할 수 있도록 계산 영역을 나누었다. SPACE 코드는 원자로 냉각재 계통과 파단전후의 임계유동을 담당하고 CUPID코드는 취출된 냉각수가 기화된 수증기가 격납건물 대기로 분사되어 혼합되는 현상을 계산하도록 하였다.
2. 임계유동 개념문제 정의
제2장에는 CUPID/SPACE 연계 코드의 대형파단 사고시 원자로 안전 해석 적용성을 확인하기 위한 개념 문제에 대한 입력을 제시하였다. 여기서 원자로 냉각재 계통은 SPACE 코드가 담당하고 격납건물은 CUPID 코드가 담당한다. SPACE 코드와 CUPID 코드는 대표적인 2상 유동의 현상에 대해서는 검증이 된 상태이기 때문에 주로 대형파단 사고로 인해 생성된 수증기가 격납건물로 주입되어 분포되는 현상을 물리적으로 합당하게 계산하는 지를 확인할 수 있는 정도의 간단한 기하학적 형상을 사용하였다. 즉, 냉각재 계통은 4개의 1차원 격자를 사용하고 격납건물은 90개의 3차원 격자를 사용하였다. 이때 대형파단 사고의 파단 부위는 냉각재 계통의 3번과 4번 격자 사이로 하여 임계유동과 기화현상은 SPACE 코드가 담당하도록 설계하였다. 냉각재 계통의 4번에서 기화된 수증기는 격납건물로 주입이 되는데 주입되는 지점은 격납건물의 좌측 끝단과 중앙의 두 가지를 상정하였다.
Fig. 1과 같이 냉각재 계통은 4개의 격자로 구성하였는데 1번 격자는 부피가 2.5 이고 나머지 2, 3, 4번 격자는 부피가 각각 0.02 이다. 이때 노드의 면적은 0.04 이다. 냉각재 계통의 1, 2, 3번 격자에는 최초 15.0 , 450 의 냉각수가 채워져 있고 4번 격자에는 0.1 의 공기가 채워져 있다. 1~3번 격자의 격자면은 면적이 0.04 이지만 대형파단 사고를 모의하기 위하여 냉각재 계통의 3번과 4번 격자 사이의 격자면의 면적은 0.001 로 하였다. 격납건물은 총 90개의 격자로 구성되어 있고 총 부피 0.36 에 0.1 의 공기가 채워져 있다. 격납건물의 격자는 제원의 부피가 3.6 인 파이프 형태의 공간을 단면은 방향으로 9개 그리고 길이 방향으로 10개 총 90 개의 격자로 나누었다.
냉각재 계통의 4번 격자와 격납건물 중앙의 1개 격자는 냉각재 계통과 격납건물 사이의 유동이 연결될 수 있는 연계 격자이며 이때 연계 격자의 격자면의 면적은 0.04 이다. 계산이 시작되면 냉각재 계통의 3 번과 4 번 사이의 격자면을 통해 냉각재 계통의 1~3번에 있던 냉각수가 4번 격자로 빠져나가게 되는데 압력차로 인해 고압의 냉각수가 수증기로 플래싱되면서 부피가 팽창하며 임계유동 현상을 보이게 된다. 파단이 발생한 후 20 초부터 50 초 사이에는 비상냉각수를 모의하는 450 의 냉각수를 0.5 로 주입하고 50 초가 되면 비상냉각수 주입을 중단한다. 이때 냉각재 계통에서 격납건물로 주입되는 수증기의 거동과 격납건물 대기를 구성했던 공기(비응축성 기체)의 거동을 분석하는 것이 이 연구의 주요 내용이다.
파단부위의 유량은 임계유동 형태가 나타나는데, 임계유동 계산을 위하여 Ransom-Trapp 모델[3]을 사용하였다. Ransom-Trapp 모델은 유체의 질량, 운동량, 에너지 보존방정식을 기반으로 특성 분석(characteristic analysis)을 통하여 개발된 모델로 이상유동의 임계유량을 매우 정확하게 예측하는 것으로 알려져 있다. 본 계산에서는 액체, 혼합유체, 기체에 대한 배출계수(discharge coefficient)로 모두 1.0을 사용하였다.
3. 계산 결과
3.1 비응축성 기체 거동
Fig. 2에는 격납건물 내부의 기체 속도 벡터 및 비응축성 기체의 질량비율을 각각 10 초, 20 초, 30 초에 대해서 제시하였다. 10 초의 기체 속도 벡터를 보면 냉각재 계통에서 발생한 수증기가 유로 중앙의 연계격자로 들어와서 단면 중심선을 따라 오른쪽 끝단까지 주입되었다가 가장자리 유로를 따라 좌측 끝단까지 갔다가 유로 중앙부로 되돌아오는 것을 알 수 있다. 이러한 현상은 20 초에도 뚜렷이 나타나지만 20 초 이후에 냉각재 계통과 격납건물과의 압력이 평형상태로 도달하기 때문에 이러한 양상은 유지되지 않는다.
10 초의 비응축성 기체의 질량비율 분포를 보면 수증기가 주입되는 중앙부터 우측끝단까지 가운데를 따라 비응축성 기체의 비율이 낮아지고 특히 수증기가 쌓이기 시작하는 우측 끝단에서의 비응축성 기체의 비율은 현저히 낮아짐을 알수 있다. 20 초에는 비응축성기체는 오히려 격납건물 좌측으로 집중이 되지만 20초 이후 압력평형이 이루어진 상태에서 비응축성기체는 좌측보다는 우측 끝단으로 모이게 된다.
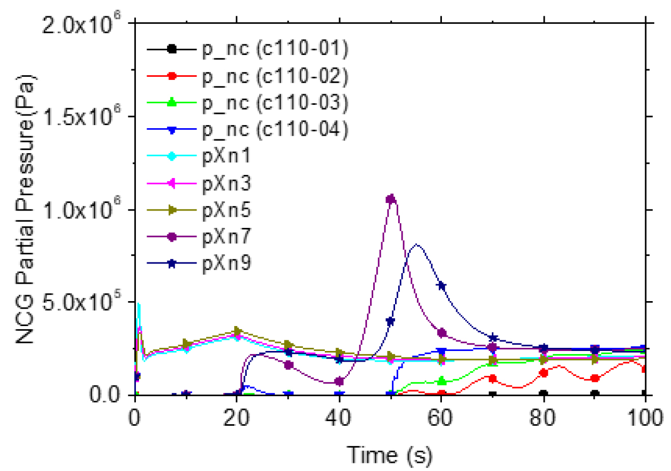
Fig. 3에는 냉각재 계통과 격납건물에서 비응축성기체의 분압을 제시하였다. 격납건물의 경우에는 단면의 9개 격자중에서 가운데 1 개를 좌측에서 우측까지 1 번부터 10 번으로 표시하였다. 냉각재 계통의 레전드는 p_nc(c110-01)과 같이 표시하는데 마지막 01이 냉각재 계통의 격자번호를 의미한다. 격납건물에 대한 레전드는 pXn1과 같이 표시하는데 여기서 1은 격납건물의 좌측부터 우측으로의 격자번호를 나타낸다.
계산이 시작된 0초에 냉각재 계통에서 파단이 시작되면 비응축성기체(공기)로 채워져있던 냉각재 계통 4 번과 격납건물 6 번~10 번의 중앙을 따라 수증기가 주입되어 이격자에서 비응축성기체가 급격하게 낮아진다. 격납건물 1 번~5 번 격자는 수증기가 주입되는 반대쪽에 위치하고 있어서 비응축성기체가 급격하게 낮아지지 않는다. 냉각재 계통의 1 번의 냉각수 저량이 고갈되면 더 이상 수증기 주입은 없어지고 이에 따라 비응축성기체의 분압도 급격히 올라가게 된다. 20 초에 이르면 냉각재 계통의 4 번에 다시 비응축성기체 분압이 올라가는데 이것은 20초에 이르면 냉각재 계통과 격납건물의 압력이 평형을 이루면서 한쪽에 쏠려있던 격납건물의 비응축성기체가 다시 골고루 분포하기 때문이다.
20 초~50 초 사이에 비상냉각수의 주입이 되면서 냉각재 계통 4 번과 바로 연결되는 격납건물 7 번과 9 번의 비응축성기체 분압은 잠시 낮아지지만 전체적으로는 비응축성기체 분압은 올라간다. 50 초에 비상냉각수 주입이 중단되면서 냉각재 계통에서 격납건물로의 수증기 유입이 중단되어 격납건물의 비응축성기체가 냉각재 계통으로 이동하기 때문에 비응축성기체의 분압도 동일한 경향을 보이게 된다. 즉, 격납건물의 비응축성기체 분압은 낮아지고 냉각재 계통의 분압은 높아진다.
3.2 압력과 온도 거동
Fig. 4와 Fig. 5에 냉각재 계통과 격납건물에서 전체 압력 및 기체 온도를 제시하였다. 격납건물의 경우에는 단면의 9 개 격자중에서 가운데 1 개를 좌측에서 우측까지 1 번부터 10 번으로 표시하였다. 냉각재 계통의 레전드는 press(c110-01)나 t_vap(c110-01)와 같이 표시하는데 마지막 01이 냉각재 계통의 격자번호를 의미한다. 격납건물에 대한 레전드는 P1이나 Tg1과 같이 표시하는데 여기서 1은 격납건물의 좌측부터 우측으로의 격자번호를 나타낸다.
계산이 시작되기전 냉각재 계통의 1번 ~ 3번 격자는 15 , 450 의 냉각수로 채워져 있고 냉각재 계통의 4 번과 격납건물은 0.1 , 400 의 공기로 채워져 있다. 계산이 시작된 0 초에 냉각재 계통에서 파단이 시작되면 냉각재 계통의 냉각수가 수증기로 플래싱하면서 격납건물로 주입이 된다. 따라서, 냉각재 계통의 1 번 ~3 번 격자는 압력이 급격하게 낮아지고 냉각재 계통 4 번 격자와 격납건물의 압력은 급격하게 올라가게 된다. 또한, 냉각재 계통의 1 번 ~3 번 격자의 기체 온도는 급격하게 낮아지고 냉각재 계통의 4 번 격자와 격납건물의 기체 온도는 급격하게 올라가게 된다.
계산후 20초에 이르면 냉각재 계통가 격납건물의 압력은 1.0 , 570 에서 평형상태에 도달하게 된다. 20 초~50 초 사이에 비상냉각수의 주입이 되면서 계속된 수증기의 공급으로 냉각재 계통과 격납건물의 압력과 기체온도는 동시에 올라가게 되지만 50 초에 비상냉각수 주입이 중단되면서 냉각재 계통과 격납건물의 압력과 기체온도의 증가는 더 이상 없다.
4. 결 론
본 연구에서는 CUPID/SPACE 열수력 기기/계통 연계 해석 코드의 대형파단사고시 PWR 원자로 안전해석 적용성을 확인하기 위한 계산을 수행하였다. 임계유동 계산과 같이 복잡한 상관식을 사용한 열수력적 계산은 SPACE와 같은 1차원 계통코드가 강점이 있고 3차원적 거동 분석과 같은 계산은 CUPID와 같은 3차원 기기스케일 코드에 강점이 있기 때문에 이러한 각 코드의 강점을 활용할 수 있도록 계산영역을 나누었다. 즉, SPACE 코드에서 원자로 냉각재 계통과 파단전후의 임계유동을 담당하고 CUPID코드는 취출된 냉각수가 기화된 수증기가 격납건물 대기와 혼합되는 현상을 계산하도록 하였다.
원자로 냉각재 계통 대형파단 사고에서 수증기는 저온관에서 격납건물 중앙부로 분사되기 때문에 이러한 방식의 계산이 가능한지 확인하기 위하여 냉각재 계통의 우측 끝단과 격납건물의 중앙부로 연계하는 방식을 적용하였다. CUPID/ SPACE는 냉각재 계통 파단으로 인해여 생성된 수증기가 격납건물로 분사되면서 분포되는 현상을 온도, 압력, 비응축성 기체 거동에 있어서 물리적으로 합당하게 해석할 수 있는 능력을 가진 것으로 판단된다. 향후 Fig. 6과 같은 ATLAS- CUBE 냉각재 계통과 격납건물 연계 실험을 사용한 검증 계산을 수행하고 원자로 안전해석에 적용계산을 수행할 수 있을 것으로 판단된다.








