1. 서 론
2. Numerical methodology
2.1 Flow solver
2.2 k-w SST turbulence model
2.3 Ristorcelli’s compressibility correction
2.4 Menter’s rotation and curvature correction
3. Simulation setup
3.1 Target problems
3.2 Simulation grid and boundary conditions
4. Results
5. Conclusion
1. 서 론
미사일 혹은 발사체의 성능해석 및 설계에 있어 기저부(Base Region)에서 발생하는 유동현상에 대한 정확한 예측은 매우 중요하다. 특히 기저 유동 예측에 있어 가장 중요하게 고려해야 할 공력특성 중 하나는 기저 항력(Base Drag)이다. 기저부에서 발생한 재순환(Recirculation) 영역에 접하는 기저면 압력은 일반적으로 교란되지 않은 자유류의 압력보다 상당히 낮다. 기저부에 작용하는 낮은 압력과 자유류 압력과의 차이에서 발생하는 항력을 기저 항력이라고 한다. 기저 항력은 임계적 공력특성을 보이는 천음속 영역에서 가장 높으며, 동력 비행하는 고전적인 미사일의 경우 아음속 및 천음속 영역에서 전체 항력의 30%를, 초음속 영역에서는 25%를 차지한다. 또한, 동력 비행하지 않는 로켓 혹은 포탄의 경우 천음속 영역에서 기저 항력이 전체 항력의 50% 까지도 차지할 수 있다[1]. 즉, 미사일 혹은 발사체의 기저부에 작용하는 낮은 압력으로 인한 기저항력은 공기역학적 항력의 주요 원인으로 작용하며 이에 대한 정확한 예측이 필수적이다.
기저유동은 마하수와 관계없이 공통적으로 기저면 이후에 유동 박리와 자유 전단층이 재순환 영역(Recirculation Region)을 걸쳐 형성된다. 천음속과 초음속 영역에서는 강한 비정상성(Unsteadiness)을 동반하는 팽창파와 충격파가 존재한다. 이를 통해 기저 유동은 압축성 난류 유동의 정확히 예측하기 어려운 대표적인 문제로서 매우 복잡한 유동 현상을 포함하고 있음을 알 수 있다[2]. 기저 유동에 대한 풍동실험은 Sting으로 인한 간섭의 영향으로 전산유체 해석은 RANS (Reynolds Averaged Navier Stokes) 난류 모델의 부정확성으로 기저항력의 측정과 예측에 큰 어려움이 존재한다. RANS 난류모델 보다 높은 수준의 충실도를 가지는 LES(Large Eddy Simulation), DES(Detached Eddy Simulation) 혹은 DNS(Direct Numerical Simulation)와 같은 고 충실도 비정상 난류 수치해석 방법을 이용한 기저 유동 예측을 시도하는 다양한 연구들이 존재한다. 하지만 이러한 고충실도 난류 수치해석 방법에는 RANS 난류모델을 이용한 수치해석 대비 매우 높은 수준의 밀집도를 가지는 해석격자와 비정상 수치해석이 요구된다. 따라서 공학적인 문제해결 방법에는 여전히 RANS 난류모델을 이용한 수치모사가 널리 활용되고 있으며, RANS 난류모델의 기저유동 예측정확도를 향상시키는 시도는 충분히 가치가 있다.
RANS 난류모델은 복잡한 유동 및 물리현상을 정확히 반영할 수 없는 한계가 있다. 따라서 난류모델에 반영되지 않은 물리 현상들을 보정항을 추가하여 난류모델을 보정하기도 한다. 그 대표적인 예로. 유동의 압축성 효과가 있다. RANS 난류모델은 유동의 비압축성 운동량전달 방정식으로부터 유도 된다. 따라서 압축성 효과와 관련된 물리현상이 반영되지 못한 상태로 난류모델식이 구성된다. 압축성 효과를 난류모델에 구현하기 위해 난류 운동에너지 의 전달 방정식에 팽창-소산항(Dillatation-Dissipation)항과 압력-팽창(Pressure-Dillatation)항을 추가하여 난류 운동에너지 전달방정식에 압축성 보정을 적용하는 방법[4, 5]이 알려져 있다. 또한. RANS 난류모델에서는 유동의 회전이 고려되지 않았다. 2-방정식 RANS 난류모델은 레이놀즈 응력 전달방정식(Reynolds Stress Transport Equation)에서부터 모델링 되어진다. 회전 좌표계에 대한 레이놀즈 응력 전달방정식을 구성할 때, 유동의 회전 효과로 인해 회전생성항(Rotation Production Term)이 추가된다. 하지만 난류 운동에너지(Turbulent Kinetic Energy, )의 정의방정식을 구하기 위해 레이놀즈 응력전달 방정식을 축약(Contraction)하면 회전생성항이 소거된다. 따라서 RANS 난류모델 중 난류 운동에너지 를 이용하여 난류를 수치모사하는 난류모델들은 축회전과 관련된 유동해석에 큰 오차를 보인다. 유선의 곡률이 큰 유동과 회전하는 유동과 난류생성의 기전이 같기 때문에 RANS 난류모델은 유선의 곡률이 큰 유동에서 부정확한 결과를 제공한다. 이러한 문제를 완화하기 위해 여러 가지 회전 및 곡률보정(Rotation and Curvature Correction)이 제안되어 사용되고 있다[3]. 이처럼 RANS 난류모델에 고려되지 않은 물리현상을 보정(Correction)을 통해 추가하여 결과의 개선을 시도해왔다.
본 연구에서는 RANS 난류모델을 이용하여 다양한 유동조건에서 축대칭 기저유동을 수치모사 하였다. 또한 RANS 난류모델에 압축성 보정과 회전 및 곡률 보정을 각각 적용하여 난류모델의 보정 여부, 각 난류모델 보정에 따른 결과를 비교하였다. 수치해석의 대상문제는 Merz 등이 수행한 풍동 실험[6], Herrin and Dutton이 수행한 실험[7] 과 Kawai 등이 수행한 수치모사[8, 9]를 이용하였다. 본 연구진의 선행연구[10, 11, 12]에서는 이미 Merz 등이 수행한 실험, Herrin and Dutton이 수행한 실험, Kawai의 수치적 연구 등을 대상문제로 하여 RANS 난류모델을 이용한 기저부 유동해석을 수행한 이력이 있다. 해당 선행연구에서는 SST 난류모델의 기저유동에 대한 예측성능 향상을 위한 연구로써 난류모델에 압축성 보정을 적용한 연구[10], 모델상수(Closure Coefficient)를 최적화한 연구[11], Ristorcelli의 압축성보정을 최적화한 연구[12]를 수행하였다. 따라서 본 연구진이 수행하였던 선행연구의 연장선으로써 앞으로의 연구에서 난류모델의 압축성 보정과 회전 및 곡률 보정을 같이 적용하여, 보정항에 포함되어있는 모델 상수를 최적화하여 추가적인 결과 개선을 시도할 계획이다. 이러한 연구의 선행 연구로써 본 연구에서는 SST 난류모델에 회전 및 곡률 보정 혹은 압축성 보정을 적용하였을 때, 기저유동 예측정확도 향상 가능성에 대해서 확인하고, 자세한 유동구조를 비교 분석 하였다.
2. Numerical methodology
2.1 Flow solver
본 연구에서는 압축성 난류유동을 해석하기 위해 RANS 방정식 기반 해석자인 MSAPv[13]를 이용하여 수치모사를 수행하였다. 기존의 MSAPv은 3차원 RANS 방정식 기반의 해석자이지만, 이를 확장하여 축대칭 유동을 수치모사 할 수 있도록 하였다.
위 수식 (1)에서 는 보존형 유동 변수 벡터(Conservative Flow Variable Vector)이며, 와 는 각각 유동방향과 반경방향 비점성 유속 벡터(Inviscid Flux Vector)이다. 와 는 유동방향과 반경방향의 점성 유속 벡터(Viscous Flux Vector)이다. 는 난류모델에 의한 원천항이다. 비점성 유속벡터와 점성 유속 벡터는 각각 Roe의 근사 리만해법[14]을 이용하여 공산이산화를 하였고, MUSCL 외삽법[15]을 이용하여 2차 공간이산화 정확도를 구현하였다. 정상(Steady) 유동해석을 위한 시간적분은 AF-ADI[16]를 이용하였다.
2.2 SST turbulence model
기저유동 수치모사는 Menter가 제안한 SST(Shear Stress Transport) 난류모델[17]을 기반으로 하여 시뮬레이션을 수행하였다. SST 난류모델은 모델과 모델의 장점을 결합한 하이브리드 모델이다. 난류 모델 식은 아래와 같다.
위 수식 (2)는 난류운동에너지 의 전달방정식이고, 아래 수식 (3)은 𝜔는 비 소산율(Specific Dissipation Rate)의 전달방정식이다.
2.3 Ristorcelli’s compressibility correction
압축성 보정은 천음속/초음속 유동에서 난류 거동이 비압축성 난류 구조 특성을 따른다는 가설(Morkovin’s Hypothesis)로 중요시 되지 않았다[2]. 하지만 비압축성 난류 모델이 압축성 혼합층 유동의 성장률 감소를 정확히 예측하지 못한다는 사실이 밝혀지면서 압축성 보정에 대한 연구가 진행되기 시작하였다. 난류모델의 압축성 보정 연구는 난류 운동에너지 방정식에 팽창-소산항과 압력-팽창항으로 압축성 효과를 구현하여 압축성 효과 증가에 따라 난류 운동 에너지의 소산이 증가 되도록 구성된다. 아래 수식은 Ristorcelli의 압축성 보정항인 팽창-소산항()과 압력-팽창항()이다.
이때, 난류마하수 는 와 같이 정의 되며 난류 레이놀즈수 는 와 같이 정의된다. 위에서 언급한 와 이외의 모델계수들은 Ristorcelli가 작성한 압축성 보정 논문[5]에 자세히 기술되어있다. 위의 팽창-소산항과 압력-팽창항을 SST 난류모델에 적용하면 아래와 같다.
위 수식 (6)과 (7)은 Ristorcellis의 압축성 보정[5]이 적용된 SST 난류모델식이다. 이미 수행한 선행연구[10, 12]를 통해 검증된 바 있다.
2.4 Menter’s rotation and curvature correction
Menter가 제안한 유동의 회전 및 곡률보정[4]은 Spalart, P. R.과 Shur, M. L.[18]이 고안한 SA난류모델의 회전 및 곡률을 보정하기 위한 방법을 SST 난류모델에 적용한 것이다. 회전 및 곡률 보정은 아래의 수식(8) 의 을 SST 난류모델식의 생성항에 곱하는 형태로 보정한다. SA난류모델의 회전 및 곡률보정에서는 수식 (8)의 과 같이 난류 생성의 제한을 두지 않았으나, SST 난류모델에서는 이러한 제한을 둔 이유는, SA 난류모델을 기반으로 만들어진 이 과도한 난류생성 혹은 감소를 야기하여 수치적 불안정의 원인이 될 수 있기 때문이다. 에서 사용된 , , 는 각 각 =1.0, =2.0, =1.0의 값을 갖는 모델 상수들이다.
위 수식 (8)을 이용하여 최종적으로 SST 난류모델의 회전 및 곡률보정이 적용된 난류모델은 아래의 수식과 같다.
3. Simulation setup
3.1 Target problems
본 연구에서는 수치모사 대상문제로 위 Fig. 1에서 보여지는 풍동모델을 이용한 풍동실험 및 고충실도 난류 수치해석 연구를 시뮬레이션 하였다. 각 선행연구자에 의해 수행된 기저부 유동의 유동조건은 아래 Table 1에 정리하였다. 이때 유동조건에서 사용한 레이놀즈 수()는 기저부 직경을 기준으로 무차원 한 값이다.
Table 1.
Simulation target problems and flow conditions
| Mach number | Reynolds number() | |
| Merz et al.[6] | 0.11 – 0.94 | 0.19-5.89×105 |
| Herrin and Dutton[7] | 2.46 | 3.3×106 |
| Kawai et al.[8] | 1.05 – 1.50 | 1.0×1063.3×106 |
위 Fig. 1는 nose가 없는 기저부 형상만 있는 풍동모델을 이용하여 기저유동에 대하여 Merz 등과 Herrin and Dutton은 풍동시험을 통해 기저유동을 계측하였고, Kawai 등은 고충실도 난류 시뮬레이션을 수행하여 기저유동을 예측하였다. 따라서 본 연구에서는 위의 Table 1에 정리되어있는 선행연구자의 풍동시험 및 시뮬레이션 결과를 이용하여 같은 문제를 SST 난류모델을 기반으로 하여 각 난류모델을 보정을 적용하여 결과를 산출 한다.
3.2 Simulation grid and boundary conditions
Fig. 1에서 보이는 풍동시험 모델을 Fig. 2와 같이 축대칭 격자계를 이용하여 구성하였다. 또한 Fig. 2에는 격자계의 구성 뿐만 아니라 수치해석에 필요한 경계조건 또한 포함되어있다. 본 연구진은 기저유동과 관련된 다수의 선행연구들[10, 11, 12]을 수행한 경험이 존재한다. 따라서 앞선 선행연구들에서 수행된 연구에서 사용한 축대칭 기저유동의 격자를 이용하여 시뮬레이션을 수행하였다. 해당 선행연구에서는 같은 대상문제에 대하여 3차원 유동 시뮬레이션과 축대칭 시뮬레이션이 동일함을 검증하였으며 SST 난류모델을 기반으로 하는 기저유동 전산해석에서 이미 격자 의존성 검사를 통해 격자에 대한 해석결과의 의존성을 충분히 배제할 수 있는 충분한 밀집도를 가지는 격자를 생성하여 연구한 바 있다. Fig. 3은 선행연구에서 사용한 축대칭 기저부 유동의 전산해석 격자이며 해당 격자를 이용하여 기저 유동 수치 해석을 수행하였다.
Table 2는 위 Fig. 3에 나타나있는 격자의 구성 및 각 격자수를 나타낸 표이다. 격자는 총 3개의 블록으로 구성하였으며, 유동방향으로 263개의 격자점, block1과 2의 유동의 수직 방향으로는 101개의 격자점, block 3의 유동의 수직방향으로는 121개의 격자점을 이용하였다. 총 격자수는 83,000여개의 격자로 시뮬레이션을 수행하였다. 시뮬레이션에서 이용한 유입(Inflow), 출구(Exit) 및 원방(Far Field) 경계 조건은 특성치 변수와 특성치의 방향, 자유류의 마하수에 따라 아음속 및 초음속 유입, 출구 경계조건을 설정하였다. 또한 해석 유동장에서 발생하는 팽창파(Expansion wave)와 재압축파(Recompression wave)에 영향을 받지 않도록 충분히 큰 격자를 이용하여 시뮬레이션을 수행하였다.
4. Results
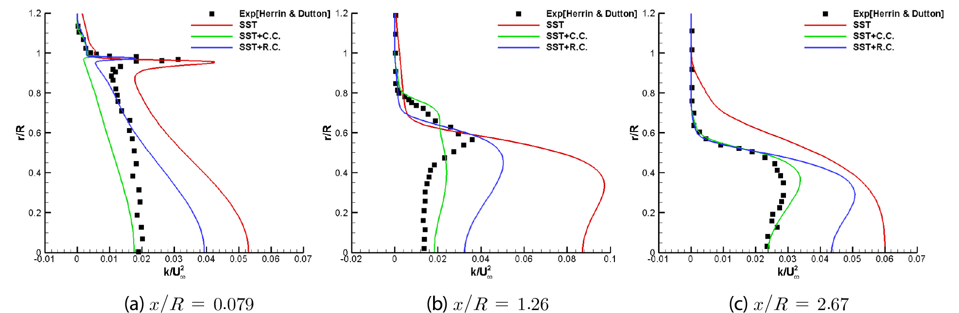
우선 Herrin과 Dutton이 마하수 2.46에서 수행한 풍동실험 결과와 본 연구진이 수행한 RANS 난류모델을 이용한 수치모사 결과를 비교하였다. Fig. 4는 기저항력에 직접적으로 영향을 미치는 기저면의 반경방향 압력분포이다. 적색 선은 보정이 적용되지 않은 SST 난류모델을 이용한 결과, 녹색 선이 SST 난류모델에 Ristorcelli의 압축성 보정을 적용한 결과, 청색 선이 SST 난류모델에 Menter의 회전 및 곡률 보정을 적용하여 시뮬레이션한 결과이다. 난류모델의 보정을 통하여 기저 항력에 큰 영향을 미치는 기저 압력 분포의 예측 정확도가 개선되는 것을 확인할 수 있다. 일반적으로 RANS 난류모델을 이용하여 기저면 압력분포를 예측하면 Fig. 4의 적색 선에서 확인할 수 있는 특징과 같이, 반경(Radial) 방향으로 압력 구배가 큰 것을 확인할 수 있다. 이는 청색 선인 회전 및 곡률 보정을 적용한 난류모델의 결과에서도 확인할 수 있다. 반면 압축성 보정이 적용된 결과는 실험결과처럼 평탄한 반경방향 압력 구배를 가지며, 각 지점에서의 압력 또한 풍동실험 결과와 유사하다. Fig. 5는 기저유동의 중심선을 따라 축 방향 속도분포를 나타낸 그래프이다. 기저면 이후에 발생하는 재순환 영역에서는 강한 유동박리가 발생한다. 따라서 이 영역에서 RANS 난류모델을 통한 유동 예측은 굉장히 부정확하다고 알려져 있다. 앞서 언급한 내용처럼 보정을 적용하지 않은 난류모델의 결과가 나머지 결과들에 비해서 선행연구자의 풍동실험 결과 대비 상당히 작은 재순환 영역의 크기를 예측하며, 가장 부정확한 결과를 나타내는 것을 확인할 수 있다. 위 Fig. 4 결과와 마찬가지로 중심선 축 방향 속도분포 역시 난류모델에 각각의 보정을 적용하였을 때, 유동 박리 영역에서의 속도 분포를 보다 정확하게 예측하는 것을 확인할 수 있다. Figs. 6과 7은 기저면 이후 중심선 위의 에서 반경 방향 속도분포와 난류 운동에너지 분포를 도시한 그래프이다. 보정을 수행한 난류모델이 보정하지 않은 난류모델보다 각 지점에서 속도분포(Velocity Profile) 및 난류운동에너지 분포에서 실험값과 유사한 결과를 보여주는 것을 확인할 수 있다.
Fig. 8은 축대칭 유동장의 대칭면에서 등 난류 운동에너지 선도를 그린 그림이다. Fig. 8(a)는 풍동 실험을 통해 계측한 선행연구의 결과이며 (b)는 보정을 적용하지 않은 수치해석 결과, (c) 는 Ristorcelli의 압축성 보정을 이용한 수치해석 결과, (d)는 Menter의 회전 및 곡률 보정을 이용한 수치해석 결과이다. 등고선의 수위(Contour Level)는 Fig. 8(a)와 동일하게 하여 등고선의 경계선이 보이도록 설정하였다. Fig. 8(b)에서 보정을 적용하지 않은 SST 난류모델 결과가 실험 결과대비 난류운동에너지를 지나치게 크게 예측하는 것을 확인할 수 있다. Figs. 8(c), (d)에서 확인할 수 있듯이 난류모델의 보정을 통하여 난류 운동에너지의 예측을 보다 실험값에 가깝게 줄여주는것을 확인할 수 있다. 이는 앞의 난류운동에너지 분포를 도시한 Fig. 7에서 이미 확인한 바와 같다.
Fig. 9에는 등 레이놀즈 전단응력(Reynolds Shear Stress)선도를 도시하였다. RANS 난류모델을 이용한 레이놀즈 전단 응력은 다음 식 (11)과 같이 Boussinesq hypothesis를 통하여 계산된다. 식 (11)서에서은 평균유동장의 반경방향 속도이고 는 평균유동장의 축 방향 속도를 의미한다.
위 Fig. 8에서처럼 난류모델의 보정 효과는 과도하게 예측하는 레이놀즈 전단 응력를 적절하게 줄여 주도록 하는 것을 확인할 수 있다. 또한 Fig. 9(a)의 실험결과와 보정을 적용한 수치해석결과 Fig. 9(c), (d)의 등고선의 형태, 그리고 레이놀즈 전단응력의 크기가 유사한 것을 확인할 수 있다.
Figs. 4, 5, 6, 7, 8, 9까지의 결과는 마하수 2.46의 초음속 기저유동에 대하여 난류모델의 각각의 보정이 예측 결과의 개선이 가능하다는 것을 비교 검증하였다. 따라서 다른 유동조건인 경우에 대해서 기저면 근처의 유동 예측 특성을 확인해 볼 필요가 있다. Figs. 10과 11의 마하수 0.66인 선행연구자의 풍동실험[6] 결과를 이용하여 난류모델의 압축성 보정, 회전 및 곡률보정을 이용한 결과가 개선되는지 확인하였다. Fig. 10에서는 기저면 이후 중심선을 따라서 마하수 분포를 나타낸 그래프이다. 보정이 적용되지 않은 빨간색 선의 결과가 가장 재부착점의 위치가 짧으며, Ristorcelli의 압축성 보정을 적용한 결과인 녹색선이 재부착 지점과 기저면 사이의 거리가 가장 긴 것을 확인할 수 있다. Fig. 11은 Fig. 10과 같은 중심선 상에서 압력 계수분포를 선행 연구자의 풍동실험 결과와 같이 나타낸 그래프이다. Fig. 11에서 확인할 수 있는 것과 같이 보정된 난류모델을 이용한 결과가 SST 난류모델의 결과에 비해 기저면 중심부의 압력을 높게 예측하는 것을 확인할 수 있다. 또한, Fig. 10의 마하수 분포, Fig. 11의 중심선 압력분포에서 실험결과와 가장 유사한 결과는 Menter의 회전 및 곡률 보정을 적용한 난류모델을 이용한 수치해석 결과이다.
Fig. 12는 선행연구자의 풍동실험 및 고충실도 비정상 난류 수치해석을 이용하여 획득한 마하수에 따른 평균 기저압력을 표시한 그래프이다. 흑색으로 채워진 부호는 풍동실험 결과를 나타내며, 빈 부호는 고충실도 비정상 난류 시뮬레이션 결과를 나타낸다. 평균 기저압력은 기저항력을 의미하는 값이다. Fig. 12에서도 확인 할 수 있듯이 녹색 부호로 표시되어있는 SST 난류모델에 압축성 보정을 적용한 결과에서 아음속 및 초음속 유동조건일 때 기저압력의 예측성능 개선폭이 매우 큰 것을 확인할 수 있다. 반면 파란색 부호로 표시된 회전 및 곡률보정이 적용된 난류모델을 이용한 결과에서는 압축성 보정이 적용된 난류모델의 결과에 비해서는 다소 미약한 수준의 기저압력 예측성능 향상을 확인할 수 있다. 또한, 마하수 1근처의 천음속 영역에서는 이러한 난류모델 보정을 통한 결과 개선을 확인할 수 없고, 압축성 보정이 적용된 난류모델 결과에서는 오히려 기저압력의 예측이 부정확해 지는 것을 볼 수 있다.
5. Conclusion
본 연구에서는 RANS 난류모델을 이용한 축대칭 형상의 항력예측 정확성을 향상시키기 위한 연구로 SST난류모델에 Ristorcelli가 제안한 압축성 보정과 Menter가 제안한 유동의 회전 및 곡률 보정을 적용하였다. 이후 이렇게 보정된 난류 모델을 다양한 유동조건의 축대칭 기저유동에 적용하여 수치해석을 수행하였다. 보정이 적용되지 않은 SST 난류모델을 이용한 수치해석 결과가 대체로 가장 부정확한 결과를 나타냈으며, 기저면 이후 난류효과를 과도하게 예측하는 것을 확인할 수 있다. 반면 보정이 적용된 난류모델을 이용한 수치해석 결과는 과도하게 예측하는 난류효과를 억제하는 것을 확인할 수 있으며, 결과적으로 기저면 이후의 재순환영역의 크기를 다소 크게 예측하는 경향이 있는 것을 확인하였다. 또한, 평균 기저면 압력의 경우는 보정된 난류모델을 이용한 수치해석 결과가 보정이 없는 난류모델을 이용한 결과보다 아음속 및 초음속 유동영역에서 좋은 결과를 나타내는 것을 확인하였다. 유동 구조적인 측면, Figs. 8에서부터 11까지의 순서대로, 마하수 2.46에서 난류운동에너지, 레이놀즈 전단응력, 마하수 0.66에서 기저면 중심선을 따라 하류방향으로 마하수 분포 및 분포에서는 Menter의 회전 및 곡률보정이 다른 결과와 비교하여, 선행연구자의 실험결과와 유사한 결과를 나타내는 것을 확인하였다. 반면 기저면 압력예측 개선의 관점에서는 Ristorcelli의 난류모델 압축성 보정의 결과가 다른 결과에 비해 아음속 및 초음속 영역에서 두드러지는 예측결과의 개선을 확인하였다.














