1. 서 론
드릴쉽은 심해 유정개발을 위한 고부가가치 부유식 해양구조물로 위치유지를 위한 스러스트(Thruster), 시추작업을 위한 데릭(Derrick)과 문풀(Moonpool) 등의 특징적인 구성요소들을 포함하고 있다. 이중 문풀은 드릴링 작업을 위해 라이저(Riser)가 설치되고 그 외 유정 폭발방지기(Bolwout Preventer, BOP), 유정 크리스마스 트리(Christmas Tree)등 해저시스템 설치작업을 위한 주요장비들의 이동 통로로 이용된다. 문풀은 해상 작업을 위해 필수적으로 존재하고 있어야 할 구조부분이지만 선체 중앙부에 일정한 크기의 공간이 비워져 있는 공동(Cavity) 상태이기 때문에 이로인한 공진현상이 발생하게 된다. 이러한 공진현상을 문풀공진(Moonpool Resonance)라고 부르며 피스톤 모드(Piston Mode)와 슬로싱 모드(Sloshing Mode)의 두 가지 공진모드가 있다. 과거 문풀내부의 특이한 유동현상에 대해 관심을 가졌던 Fukuda[1]의 실험적연구를 필두로 근래에 와서 Molin)[2]의 이론적 연구를 통해 문풀공진현상 규명의 초석이 마련되었다.
한편, 문풀내부에는 통상 리세스 데크(Recess Deck) 혹은 코퍼댐(Cofferdam)이라고 부르는 작업단이 있다. 드릴쉽의 흘수에 따라 작업단은 수면 위쪽에 있기도 하고 수면아래쪽에 잠기기도 하며 해저시스템 설치 작업을 준비하기 위해 작업단 상부에서 일부 작업이 이루어지기도 한다. 이러한 작업단은 문풀내부 형상변화에 의해 공진주파수가 변화하게 되며 작업단의 크기변화로 인해 문풀내부 유동현상도 변화하게 된다. Yang & Kwon[3]은 문풀내부 유동현상을 좀 더 체계적으로 연구하고 공진으로 인한 격렬한 유동을 줄이기 위해 다양한 형태의 문풀내부 형상변화를 통한 실험적연구를 수행하였다. 이를 통해 작업단의 존재로 인한 피스톤 모드 공진현상이 슬로싱 모드 공진으로 바뀌면서 내부유동이 저감되는 특징적인 현상을 규명하였고 작업단의 최적크기가 문풀내부유동 저감에 효과적임을 제시하였다. 또한, Yoo et al.[4]은 실적선을 대상으로 문풀내부 형상변화와 부가물 설치를 통해 문풀 내부유동을 최대한으로 줄이기 위한 실험적, 수치해석적 연구를 수행하였다.
이상과 같이 문풀 내부 작업단의 형상변화에 따른 공진주파수의 변화양상을 살펴보고 최적의 문풀형상을 제시하는 것이 해상작업 중의 문풀내부 격렬한 유동으로 인한 작업중지시간(Downtime)을 줄이고 궁극적으로는 드릴쉽의 작업효율성을 최대로 할 수 있는 방안임은 자명한 일이다. 그러나, 현재까지 많은 연구들이 수행되었고 현재도 진행되고 있음에도 불구하고 작업단 최적화를 위한 방안은 제공되지 못하고 있는 실정이다. 이에 본 연구에서는 이러한 문제점들을 극복하고 최적의 작업단 크기를 제시하기 위해 작업단 높이에 따른 문풀내부 유동현상을 CFD를 이용한 수치해석적 방법을 통해 규명해보고자 한다.
2. 해석 방법
2.1 지배방정식
선박 내부 문풀에서의 유동장을 해석하기 위해 질량보존 방정식과 레이놀즈 분해를 통해 시간평균화한 Navier-Stokes 방정식을 사용하였다.
여기서, 아래첨자 은 서로 다른 상이 섞여있는 혼합류를 의미한다. 와 는 시간 평균된 속도벡터이며 𝜌는 밀도를 나타낸다. 는 시간 평균된 압력이며 는 점성 응력 텐서이다. 는 수학적으로 해결되지 않는 비선형항이므로 이를 계산하기 위해 추가적인 난류 모델이 필요하다. 이를 위해 난류 운동 에너지 k와 난류 비소산율 𝜔로 레이놀즈 응력항을 해결할 수 있는 SST k-𝜔 모델을 적용했다.
2.2 VOF 방법
체적비 이송방정식(Volume fraction transport equation)은 2상 유동에서 물과 공기가 차지하는 유체 체적의 부피비를 통해 자유수면의 위치와 움직임을 표현하는 수치기법이다. 체적비 이송방정식은 서로 다른 다수의 상이 간섭하지 않는 유동에 적합하며, 격자 내 차지하는 체적분율(𝛼)를 사용하여 경계면을 표현할 수 있다. 아래의 식 (3)은 체적비 이송방정식이다.
식 (3)에서 혼합류에서의 점성계수()와 밀도()는 아래와 같이 정의된다.
본 연구에선 격자의 셀이 완전히 공기로 채워진 경우 𝛼=0, 셀이 완전히 물로 채워진 경우 𝛼=1, 𝛼=0.5가 되는 영역을 상의 경계면으로 구분한다.
3. 해석조건
3.1 대상선형 및 Recess deck 형상
본 연구는 대상선형으로 드릴쉽을 사용하여야 하나 공개된 선형이 없어서 KCS(KRISO contianer carrier) 선형을 선정하였다. 1/31.6로 축소하여 전산 해석에 사용할 모형선으로 이용하였다. 전산 해석에 사용된 KCS 선형과 문풀의 형상은 Fig. 1에 나타내었고, 주요 제원은 Table 1에 나온 것과 같다. 문풀의 크기는 선행연구(Yoo et al.[5])에 사용되었던 문풀의 크기를 참고하였다. 선행연구의 문풀폭과 선체폭의 비(=0.305)와 문풀길이와 선체길이의 비(=0.181)를 일정하게 유지하여 문풀을 전산 해석에 사용된 좌표계는 Cartesian 좌표계이며 중심은 선박의 FP(Forward Perpendicular)이다. 선박의 FP에서 AP(After Perpendicular)를 바라보는 방향이 +x 방향, 선박의 우현 방향이 +y 방향, 선저면에서 상갑판을 바라보는 방향이 +z이다. 해석 영역은 Fig. 2에 나타내었듯 -1. < x < 3.0, -1 < y < 1, -1 < z < 0.5이다. 전산유체역학을 이용한 수치해석 경계조건은 Fig. 2에 정리되어 있다. 입구 경계면인 Inlet에서는 속도와 난류와 관련된 값을 Dirichlet 조건으로 설정하였고, 압력은 Neumann 조건으로 설정했다. 반대로, 출구 경계면인 Outlet에서는 속도와 난류값을 Neumann 조건으로 설정했고, 압력은 Dirichlet 조건으로 설정했다. 선박의 표면에선 유속이 0이 될 수 있도록 No-slip 조건을 적용했으며, 해저면에 해당하는 측면과 바닥에는 symmetry 조건을 적용했다(이정욱&박선호[6]).
시간 차분법은 2차 정확도 scheme인 CrankNicolson 0.9를 사용했고, 대류 항은 TVD scheme인 vanLeer을 적용했다. 대수방정식인 반복 계산법인 Gauss-Seidel을 적용하였고, 잔차는 10-7이하인 경우 값이 수렴된 것으로 판단하여 계산을 진행하였다.
Table 1.
KCS model principal particulars
| Item | Ship | Model |
| Scale ratio | 1 | 31.6 |
| [] | 230 | 7.278 |
| [] | 232.5 | 7.35 |
| [] | 32.2 | 1.019 |
| Displacement[] | 52030 | 1.649 |
| D[] | 19 | 0.601 |
| T[] | 10.8 | 0.342 |
Recess deck의 형상으로는 4가지 형상을 고려하였다. Recess deck은 문풀에서의 장비 수선, 설치 등 작업공간으로 활용된다. Fig. 3은 본 연구에서 고려된 Recess deck의 차이를 보여준다. Recess deck의 높이를 0.0375 L, 0.238 L, 0.0307 L, 0.0169 L 총 4가지를 고려하였다[5]. Fig. 4는 문풀 내부의 작업성을 비교하기 위한 위치를 나타낸다. Pt1은 (-0.4, 0, 0) 위치를 나타내고 Pt2, Pt3는 각각 (0, 0, 0), (0.4, 0, 0) 위치를 나타낸다. z=0은 초기 자유수면 위치를 나타낸다. 각 위치에서의 파고 변화는 본 논문에서 작업성을 평가하는데 사용하였다.
3.2 격자민감도 해석
격자는 OpenFOAM이 제공하는 자동 격자 생성 유틸리티인 “blockMesh”와 “snappyHexMesh”를 이용하여 각 케에스에 따른 격자를 제작하였다. 생성된 격자는 Fig. 5와 같다. 격자수는 Coarse Mesh에는 9,287,793개, Medium Mesh에는 10,886,258개, Fine Mesh에는 13,761,250개가 사용되었다. 자유수면의 영향을 고려하기 위하여 자유수면 부근의 격자를 조밀하게 제작하였다. 파장에 120의 격자를 생성하여 ITTC 기준(ITTC[7])을 만족하였다. 벽함수를 사용하기 위해 첫 번째 격자점은 =30을 기준으로 생성했고 프리즘 격자를 3단 사용하였다.
드릴쉽에 입사되는 입수파는 선수파를 고려하였다. 파장은 선박의 움직임이 가장 클 것으로 예상되는 선박의 길이와 유사하게 선정하였다. 선수파로는 파장 7 m, 파고는 1 m를 고려하였다[5]. 선수파의 유속은 0.68 m/s이고 주기는 10.29 sec.이다. Case3 과 같은 Recess deck을 가지는 드릴쉽에 대해 선수파를 고려하여 Pt2에서의 자유수면 변화를 계산하였다. 계산결과를 FFT(Fast Fourier Transform) 변환한 결과 Coarse, Medium, Fine Mesh모두 0.55 Hz에서 주된 파고가 보였으며 그 값은 Fig. 6과 같다. Coarse Mesh에서 Medium Mesh, Fine Mesh로 되면서 값이 수렴되는 것을 확인할 수 있다. 본 논문에서는 Medium Mesh를 사용하였다.
4. 해석결과 및 토의
선수파가 드릴쉽으로 입사될 때 드릴쉽에 작용하는 x-방향 힘을 계산하였다. Fig. 7은 드릴쉽에 작용하는 x-방향 힘을 나타낸다. 문풀 내부에서의 파의 요동으로 인해 힘이 규칙적으로 나타나지 않고 일정한 최대 최소 값 사이에서 반복되는 것을 볼 수 있다. x-방향으로 작용하는 힘은 모든 케이스에서 거의 동일하게 계산되는 것을 볼 수 있다. 즉, Recess deck의 높이는 선박의 저항에 영향을 주지 않는 것을 확인하였다.
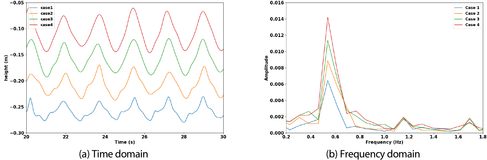
Point 3에서의 자유수면 높이를 관찰하였다. Point 3은 Recess deck 위쪽을 나타낸다. Fig. 8을 보면 Recess deck의 높이가 낮을수록 파고가 높은 것을 볼 수 있다. 이는 낮은 Recess deck 높이로 인해 문풀 내부의 유동이 Recess deck 위로 쉽게 넘어오기 때문으로 판단된다. 주파수 영역에서 파고의 높이를 보아도 주된 파고는 0.55 Hz에서 모두 동일하게 나타나는 것을 볼 수 있다. 즉 Recess deck의 높이가 주파수에는 영향을 주지 않고 최대 파고에만 영향을 주는 것을 볼 수 있다. 주파수 영역에서 높은 파고는 Recess deck의 높이와 반비례 하는 것을 확인할 수 있다.
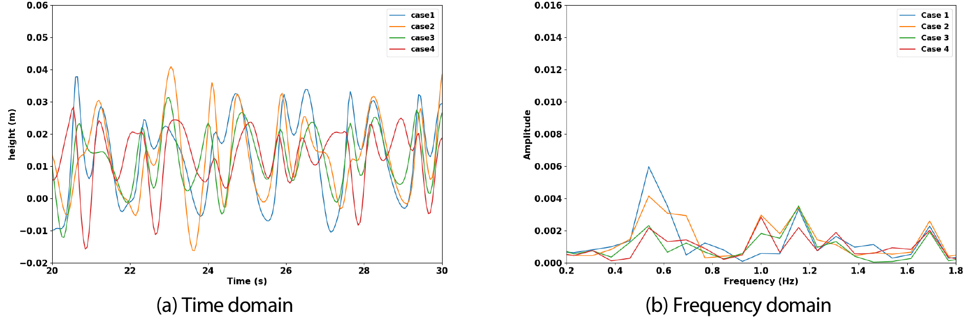
Fig. 9는 Point 2에서의 자유수면 높이를 나타낸다. Point 2는 문풀의 중앙을 나타낸다. 시계열 결과를 보면 파고의 높이는 유사하나 주기가 Point 2과 같이 주기적으로 나타나진 않았다. 주파수 영역에서의 결과를 보면 주된 주파수는 0.55 Hz에서 동일하게 나타나나 파고가 Point 3과는 다르게 나타났다. Recess deck의 높이가 높을수록 Point 3에서 관찰되는 파고는 낮게 관찰되었고 Point 2에서는 Recess deck으로 올라가지 못한 파도가 상대적으로 높게 나타났다. 따라서 Point 3과 Point 2에서는 경향이 반대로 나타났다.
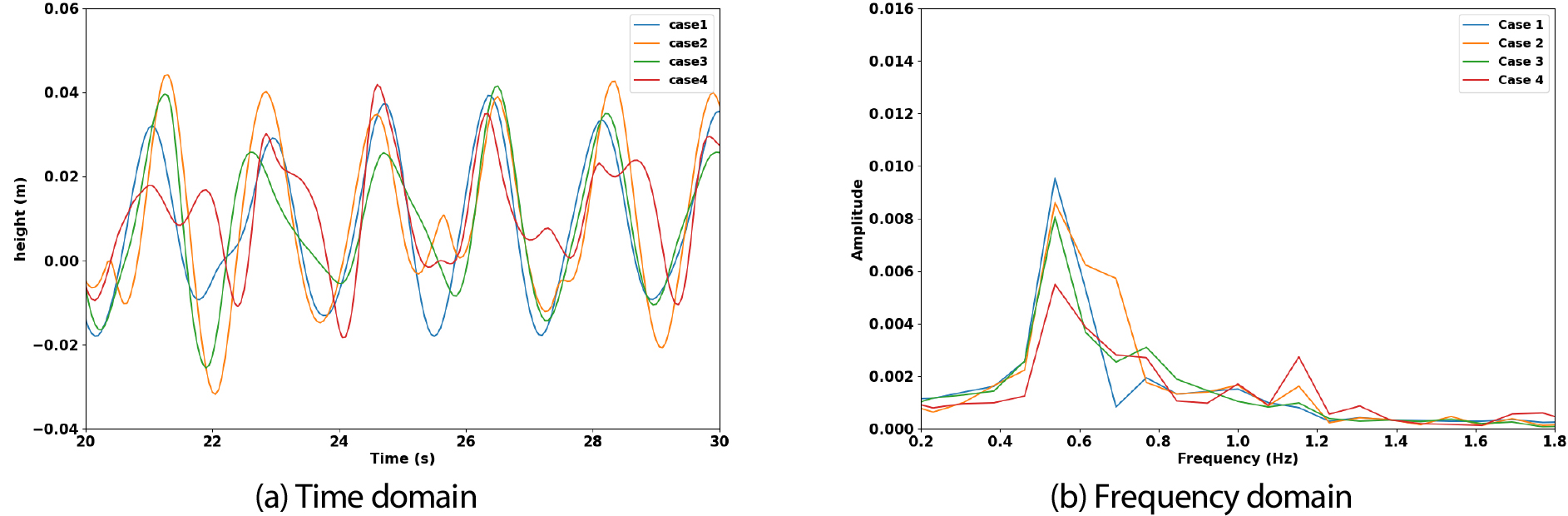
Fig. 10은 Point 1에서의 자유수면 높이를 나타낸다. Point 1은 Recess deck 반대편을 나타낸다. 시계열 결과를 보면 파고의 높이와 주기가 케이스마다 유사하게 나타났다. 주파수 영역에서의 결과를 보면 주된 주파수는 0.55 Hz에서 동일하게 나타나나 파고가 Point 3과는 다르고 Point 2와 유사하게 나타났다. Recess deck의 높이가 높을수록 Point 3에서 관찰되는 파고는 낮게 관찰된 반면 Point 2와 Point 1에서는 Recess deck으로 올라가지 못한 파도가 상대적으로 높게 나타났다. 따라서 Point 3과 Point 1에서는 경향이 반대로 나타났다.
Fig. 11은 문풀 내부의 자유수면 형상을 보여준다. 시간 25초와 27초는 point 1에서 관찰된 높은 파고가 관찰되는 시간과 낮은 파고가 관찰되는 시간을 나타낸다. 점선은 초기 자유수면 높이를 나타낸다. Point 1, Point 2, Point 3에서의 좌표를 그림에 표기하였다. 앞의 결과에서 볼 수 있듯이 Point 3에서의 파고 변화는 Recess deck의 높이와 연관이 있는 것을 볼 수 있다. 반면 Point 1과 Point 2에서는 반사파로 인해 뚜렷한 경향을 보기 어려웠다.
5. 결 론
해상에서 작업중인 드릴쉽에 대해 파의 유입에 따른 문풀 내부의 유동장을 해석하였다. 드릴쉽은 정지된 상태로 계산하였으며 유입파는 선수파를 고려하였다. 선수파의 파장은 선체의 길이와 유사하게 선정하였다. 문풀 내부의 Recess deck에 대해서는 높이를 다르게 하여 높이에 따른 영향을 고려하였다. 계산은 OpenFOAM을 사용하였고 격자는 snapyHexMesh를 사용하여 생성하였다.
문풀 내부의 유동장에 대해 격자 의존도 계산을 진행하였다. 선정된 격자에 대해 Recess deck의 영향을 고려하였다. Recess deck의 높이가 높을수록 문풀 내부의 파도가 적게 올라와서 작업성이 좋게 나타났다. 반면에 Recess deck의 높이가 낮을수록 Recess deck 외의 영역에서는 파도의 변동성이 크게 나타났다. 향후 드릴쉽의 운동과 유입파의 다양한 파향을 고려하여 문풀에의 영향을 고려할 계획이다. 또한 파장에 따른 문풀 내부 힘과 파고에 대한 선형성과 비선형성 영향을 연구할 계획이다.













